化工百科
  • 首页
  • 产品
  • 热点
  • 常用手册
  • 供应商后台
  • 了解会员服务
  • 登陆
  • 免费注册



三(四丁基铵)氢焦磷酸钾盐

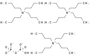
三(四丁基铵)氢焦磷酸钾盐(Tris(tetrabutylammonium) hydrogen pyrophosphate)

CAS: 76947-02-9

化学式: C48H19N3O7P2

  1. 主页
  2. 产品
  3. 化学试剂
  4. 通用试剂
  5. 三(四丁基铵)氢焦磷酸钾盐
中文名 三(四丁基铵)氢焦磷酸钾盐
英文名 Tris(tetrabutylammonium) hydrogen pyrophosphate
别名 焦磷酸三(四丁基氨)盐
焦磷酸三(四丁基铵)盐
三(四丁基铵)焦磷酸盐
三(四丁基铵)氢焦磷酸
三(四丁基铵)焦磷酸氢盐
三(四丁基铵)氢焦磷酸盐
三(四丁基铵)氢焦磷酸钾盐
英文别名 Tris(tetrabutylammonium)pyrophosphate
Tris(tetra-N-butylammonium)diphosphate
Tris(tetra-n-butylamonium)hydrogenpyrophosphate
Tris(tetrabutylammonium) hydrogen pyrophosphate
CAS 76947-02-9
化学式 C48H19N3O7P2
分子量 902.34
存储条件 2-8℃
产品用途 用途 三(四丁基铵)氢焦磷酸钾盐是一种磷酸化试剂。
危险品标志 Xi - 刺激性物品
刺激性物品
风险术语 36/37/38 - 刺激眼睛、呼吸系统和皮肤。
安全术语 26 - 不慎与眼睛接触后,请立即用大量清水冲洗并征求医生意见。
上游原料 四丁基氢氧化铵
下游产品 尿苷5'-二磷酸酯

三(四丁基铵)氢焦磷酸钾盐 - 简介

三(四丁基铵)氢焦磷酸钾盐是一种有机盐。下面是关于这种化合物的一些性质、用途、制法和安全信息的介绍:

性质:
- 三(四丁基铵)氢焦磷酸钾盐是一种固体,常常呈白色结晶。
- 该化合物在常温下可以溶于一些有机溶剂,如醇、酮和醚。
- 它在水中溶解度有限。
- 该化合物是一种弱酸性化合物。

用途:
- 三(四丁基铵)氢焦磷酸钾盐是一种常用的电解质盐,广泛应用于电化学领域。
- 它可用作离子液体的组成部分,用于电池、电容器、传感器等领域。
- 可以作为电沉积材料和催化剂的添加剂。

制法:
- 三(四丁基铵)氢焦磷酸钾盐的制备一般是通过将四丁基溴化铵与氢焦磷酸钾反应得到的。
- 反应通常在常温下进行,并在惰性气体氛围中进行。

安全信息:
- 该化合物在一般使用条件下一般属于低毒物质。
- 制备和处理时需佩戴适当的化学防护措施,如手套、眼镜和防护服。
- 在使用过程中应注意遵循安全操作规程,并保持良好的通风条件。
最后更新:2024-04-10 22:29:15
三(四丁基铵)氢焦磷酸钾盐
供应商列表
上海麦克林生化科技股份有限公司
主打产品现货供应
产品名: 三(四丁基铵)氢焦磷酸 去供应商网站查看 询盘
CAS: 76947-02-9
产地: 上海
包装: 100g,25g,1g,5g
规格: T923424
价格: 100g:8600,25g:2520,1g:144,5g:699
库存: 现货
电话: 13816333479/17821173903
手机: 13816333479/17821173903
电子邮件: wangrui@macklin.cn
QQ: 2881510266 点击这里给我发消息
微信: 19863730987/17821173903
上海阿摩尔生物科技有限公司
现货供应
产品名: 三(四丁基铵)氢焦磷酸盐 询盘
CAS: 76947-02-9
产地: 上海
包装: 1g;250mg;25g;5g
规格: 95%
价格: 电话、微信、QQ、邮件
库存: 现货
电话: 400-968-2212
手机: 18916960931
电子邮件: 3623107365@qq.com
QQ: 3623107365 点击这里给我发消息
微信: 18916960931
产品描述: 三(四丁基铵)氢焦磷酸盐,95%,Amole/阿摩尔
北京索莱宝科技有限公司
现货供应
产品名: 三(四丁基铵)氢焦磷酸盐 去供应商网站查看 询盘
CAS: 76947-02-9
产地: 北京
包装: 瓶
规格: YS154257-1g,YS154257-250mg,YS154257-5g
价格: 电话、微信、QQ、邮件
库存: 一周左右
电话: 010-50973130
手机: 18101056239(微信同号)
电子邮件: 3193328036@qq.com
QQ: 3193328036 点击这里给我发消息
微信: 18101056239
产品描述: 产品覆盖:小分子化合物、分析对照品、染色试剂、生化试剂盒、细胞生物学、分子生物学、抗体、蛋白、多肽、ELISA试剂盒、微生物培养、化学合成、仪器耗材、CRO技术 更多
上海吉至生化科技有限公司
现货供应
产品名: 三(四丁基铵)氢焦磷酸钾盐 去供应商网站查看 询盘
CAS: 76947-02-9
产地: 中国上海
包装: 1g,25g,5g
价格: 面议、电联、微信、QQ
库存: 7个工作日
电话: 400-900-4166
手机: 18017137653
电子邮件: 3007523013@qq.com
QQ: 3007523013 点击这里给我发消息
微信: 18017137653
产品描述: 中文名称:三(四丁基铵)氢焦磷酸钾盐 ,英文名称:Tris(tetrabutylammonium) hydrogen pyrophosphate >=97.0% 更多
上海源叶生物科技有限公司
产品名: Tris(Tetrabutylammonium)Hydrogen Pyrophosphate 去供应商网站查看 询盘
CAS: 76947-02-9
产地: 上海
规格: 97%(NMR)
价格: 1g 1360,5g 4770,25g 19050
电话: 18301782025
手机: 18301782025
电子邮件: 3008007403@qq.com
QQ: 3008007403 点击这里给我发消息
微信: 18301782025
产品描述: Tris(Tetrabutylammonium)Hydrogen Pyrophosphate 97%(NMR) 源叶 货号:T27022
上海麦克林生化科技股份有限公司
主打产品现货供应
产品名: 三(四丁基铵)氢焦磷酸 去供应商网站查看 询盘
CAS: 76947-02-9
产地: 上海
包装: 100g,25g,1g,5g
规格: T923424
价格: 100g:8600,25g:2520,1g:144,5g:699
库存: 现货
电话: 13816333479/17821173903
手机: 13816333479/17821173903
电子邮件: wangrui@macklin.cn
QQ: 2881510266 点击这里给我发消息
微信: 19863730987/17821173903
上海阿摩尔生物科技有限公司
现货供应
产品名: 三(四丁基铵)氢焦磷酸盐 询盘
CAS: 76947-02-9
产地: 上海
包装: 1g;250mg;25g;5g
规格: 95%
价格: 电话、微信、QQ、邮件
库存: 现货
电话: 400-968-2212
手机: 18916960931
电子邮件: 3623107365@qq.com
QQ: 3623107365 点击这里给我发消息
微信: 18916960931
产品描述: 三(四丁基铵)氢焦磷酸盐,95%,Amole/阿摩尔
北京索莱宝科技有限公司
现货供应
产品名: 三(四丁基铵)氢焦磷酸盐 去供应商网站查看 询盘
CAS: 76947-02-9
产地: 北京
包装: 瓶
规格: YS154257-1g,YS154257-250mg,YS154257-5g
价格: 电话、微信、QQ、邮件
库存: 一周左右
电话: 010-50973130
手机: 18101056239(微信同号)
电子邮件: 3193328036@qq.com
QQ: 3193328036 点击这里给我发消息
微信: 18101056239
产品描述: 产品覆盖:小分子化合物、分析对照品、染色试剂、生化试剂盒、细胞生物学、分子生物学、抗体、蛋白、多肽、ELISA试剂盒、微生物培养、化学合成、仪器耗材、CRO技术 更多
上海吉至生化科技有限公司
现货供应
产品名: 三(四丁基铵)氢焦磷酸钾盐 去供应商网站查看 询盘
CAS: 76947-02-9
产地: 中国上海
包装: 1g,25g,5g
价格: 面议、电联、微信、QQ
库存: 7个工作日
电话: 400-900-4166
手机: 18017137653
电子邮件: 3007523013@qq.com
QQ: 3007523013 点击这里给我发消息
微信: 18017137653
产品描述: 中文名称:三(四丁基铵)氢焦磷酸钾盐 ,英文名称:Tris(tetrabutylammonium) hydrogen pyrophosphate >=97.0% 更多
上海源叶生物科技有限公司
产品名: Tris(Tetrabutylammonium)Hydrogen Pyrophosphate 去供应商网站查看 询盘
CAS: 76947-02-9
产地: 上海
规格: 97%(NMR)
价格: 1g 1360,5g 4770,25g 19050
电话: 18301782025
手机: 18301782025
电子邮件: 3008007403@qq.com
QQ: 3008007403 点击这里给我发消息
微信: 18301782025
产品描述: Tris(Tetrabutylammonium)Hydrogen Pyrophosphate 97%(NMR) 源叶 货号:T27022
三(四丁基铵)氢焦磷酸钾盐的上游原料
四丁基氢氧化铵
三(四丁基铵)氢焦磷酸钾盐的下游产品
尿苷5'-二磷酸酯
您刚刚浏览过
三(四丁基铵)氢焦磷酸钾盐
你知道吗?
化工百科小程序

微信搜索化工百科或扫描下方二维码,添加化工百科小程序,随时随地查信息!

  • 使用化工百科前必读

  • 首页
  • 注册
  • 登录
  • 会员介绍
  • 联系方式
  • 化工百科英文站