化工百科
  • 首页
  • 产品
  • 热点
  • 常用手册
  • 供应商后台
  • 了解会员服务
  • 登陆
  • 免费注册



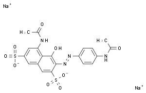
5-乙酰胺基-3-(4-乙酰胺基苯基)偶氮-4-羟基萘-2,7-二磺酸二钠盐

酸性紫7(acid violet 7)

CAS: 4321-69-1

化学式: C20H16N4Na2O9S2

  1. 主页
  2. 产品
  3. 染料与颜料
  4. 颜料
  5. 5-乙酰胺基-3-(4-乙酰胺基苯基)偶氮-4-羟基萘-2,7-二磺酸二钠盐
中文名 酸性紫7
英文名 acid violet 7
别名 酸性紫7
变色素6B
酸性红6B
变色酸6B
酸性品红6B
C.I.酸性紫7
对乙酰氨基苯偶氮变色酸钠盐
5-乙酰胺基-3-(4-乙酰胺基苯基)偶氮-4-羟基萘-2,7-二磺酸二钠盐
英文别名 C.I. 18055
acid violet 7
Acid Violet 7
C.I. Food Red 11
C.I. Acid Violet 7
Acid Violet 7 (C.I.)
C.I. Acid Violet 7, disodium salt
C.I. Acid Violet 7, disodium salt (8CI)
disodium 5-acetamido-3-(4-acetamidophenyl)azo-4-hydroxynaphthalene-2,7-disulphonate
disodium 5-(acetylamino)-3-{(E)-[4-(acetylamino)phenyl]diazenyl}-4-hydroxynaphthalene-2,7-disulfonate
(3E)-5-(acetylamino)-3-{[4-(acetylamino)phenyl]hydrazono}-4-oxo-3,4-dihydronaphthalene-2,7-disulfonic acid
disodium (3Z)-5-(acetylamino)-3-{[4-(acetylamino)phenyl]hydrazono}-4-oxo-3,4-dihydronaphthalene-2,7-disulfonate
CAS 4321-69-1
EINECS 224-352-1
化学式 C20H16N4Na2O9S2
分子量 566.47
InChI InChI=1/C20H18N4O9S2.2Na/c1-10(25)21-13-3-5-14(6-4-13)23-24-19-17(35(31,32)33)8-12-7-15(34(28,29)30)9-16(22-11(2)26)18(12)20(19)27;;/h3-9,27H,1-2H3,(H,21,25)(H,22,26)(H,28,29,30)(H,31,32,33);;/q;2*+1/p-2/b24-23+;
存储条件 Room Temprature
外观 Powder,颜色 Dark-brown
物化性质 化学性质 深红色粉末。能溶于水,水溶液呈蓝光红色至红色,加入浓盐酸呈品红色;加入氢氧化钠溶液呈橙棕色。微溶于乙醇、丙酮和乙二醇乙醚,不溶于其他有机溶剂。于浓硫酸中呈蓝光红色,稀释后呈亮红色;于浓硝酸中呈红色溶液,后转为橙色。染色时遇铜离子色泽微暗蓝,遇铁离子呈略浅暗蓝色;遇铬离子色泽较少受影响。
WGK Germany 2
RTECS QJ6000000
上游原料 土耳其红油 N-乙酰H酸 4-氨基乙酰苯胺 N-乙酰H酸
下游产品 4'-Aminoacetanilide INDUSTRIAL SALT 4-acetamido-5-hydroxynaphthalene-2,7-disulfonic acid 4'-Aminoacetanilide 4-acetamido-5-hydroxynaphthalene-2,7-disulfonic acid

5-乙酰胺基-3-(4-乙酰胺基苯基)偶氮-4-羟基萘-2,7-二磺酸二钠盐 - 性质

酸性紫7(Acid Violet 7)是一种有机化合物,属于酸性染料的一种。其化学名为3-(2-碘萘基)-5-氨基苯磺酸。

酸性紫7具有深紫色的结晶状物质,可溶于水和醇类溶剂。它在酸性条件下呈现艳丽的紫色,但在弱碱性或中性条件下会逐渐变为蓝色或绿色。这是因为酸性紫7是一种酸性染料,它在酸性条件下能够与阴离子化合物发生离子交换反应,使其分子结构发生变化,从而改变了颜色。

酸性紫7被广泛应用于染料工业和纺织工业中,作为着色剂来为纤维提供颜色。它还可以用于染色实验室中的染色试剂,以及在生物技术领域中作为染料用于核酸凝胶电泳分析。
在使用和处理酸性紫7时应遵循安全操作规程,并避免直接接触或吸入。
最后更新:2024-04-10 22:29:15

5-乙酰胺基-3-(4-乙酰胺基苯基)偶氮-4-羟基萘-2,7-二磺酸二钠盐 - 用途与合成方法

酸性紫7,也称作酸性紫外7号、酸性羟基紫外7号,是一种重要的有机合成染料。以下是关于酸性紫7的用途和合成方法的介绍:

用途:
1. 染料方面:酸性紫7是一种深紫色的染料,可广泛应用于纺织、皮革、纸张等行业中,用于染色和印刷。
2. 指示剂方面:酸性紫7在酸性条件下呈现红色,而在碱性条件下呈现绿色,可以作为酸碱指示剂。

合成方法:
酸性紫7的合成方法主要有两类:硫化法和砜化法。

硫化法:
硫化法是通过硫化苯胺和二硝基苯等化合物反应来合成酸性紫7。具体步骤如下:
1. 在适当的条件下将硫化苯胺和二硝基苯反应。反应产物为二硝基苯基硫代苯胺。
2. 将二硝基苯基硫代苯胺与邻苯二甲酸酐反应,生成酸性紫7。

砜化法:
砜化法是通过砜化反应合成酸性紫7。具体步骤如下:
1. 将苯胺与亚硝基甲磺酸反应,生成砜基苯胺磺酸盐。
2. 将砜基苯胺磺酸盐与邻苯二甲酸酸化合物反应,生成酸性紫7。
最后更新:2024-04-10 22:29:15
5-乙酰胺基-3-(4-乙酰胺基苯基)偶氮-4-羟基萘-2,7-二磺酸二钠盐
供应商列表
上海麦克林生化科技股份有限公司
主打产品现货供应
产品名: Acid Violet 7 去供应商网站查看 询盘
CAS: 4321-69-1
产地: 上海
包装: 250g,50g
规格: A922586
价格: 250g:2007,50g:720
库存: 现货
电话: 13816333479/17821173903
手机: 13816333479/17821173903
电子邮件: wangrui@macklin.cn
QQ: 2881510266 点击这里给我发消息
微信: 19863730987/17821173903
上海阿摩尔生物科技有限公司
现货供应
产品名: AcidViolet7 询盘
CAS: 4321-69-1
产地: 上海
包装: 50g;250g;100g
规格: 98%;0
价格: 电话、微信、QQ、邮件
库存: 现货
电话: 400-968-2212
手机: 18916960931
电子邮件: 3623107365@qq.com
QQ: 3623107365 点击这里给我发消息
微信: 18916960931
产品描述: AcidViolet7,98%;0,Amole/阿摩尔
MedChemExpress
现货供应
产品名: Acid Violet 7 去供应商网站查看 询盘
CAS: 4321-69-1
产地: 美国
包装: 询盘
规格: HY-W750458
价格: 询价
库存: 询盘
电话: 021-38924433; 021-58955995
手机: 18019480960
电子邮件: sales@medchemexpress.cn
产品描述: 产品覆盖:8万多种抑制剂,11000+靶点蛋白,数百款试剂盒,200+生物活性化合物库,天然产物,抗体等. 纯度:
上海源叶生物科技有限公司
产品名: 酸性紫7 去供应商网站查看 询盘
CAS: 4321-69-1
产地: 上海
价格: 50g 1120,100g 1470
电话: 18301782025
手机: 18301782025
电子邮件: 3008007403@qq.com
QQ: 3008007403 点击这里给我发消息
微信: 18301782025
产品描述: 酸性紫7 源叶 货号:T34903
上海麦克林生化科技股份有限公司
主打产品现货供应
产品名: Acid Violet 7 去供应商网站查看 询盘
CAS: 4321-69-1
产地: 上海
包装: 250g,50g
规格: A922586
价格: 250g:2007,50g:720
库存: 现货
电话: 13816333479/17821173903
手机: 13816333479/17821173903
电子邮件: wangrui@macklin.cn
QQ: 2881510266 点击这里给我发消息
微信: 19863730987/17821173903
上海阿摩尔生物科技有限公司
现货供应
产品名: AcidViolet7 询盘
CAS: 4321-69-1
产地: 上海
包装: 50g;250g;100g
规格: 98%;0
价格: 电话、微信、QQ、邮件
库存: 现货
电话: 400-968-2212
手机: 18916960931
电子邮件: 3623107365@qq.com
QQ: 3623107365 点击这里给我发消息
微信: 18916960931
产品描述: AcidViolet7,98%;0,Amole/阿摩尔
MedChemExpress
现货供应
产品名: Acid Violet 7 去供应商网站查看 询盘
CAS: 4321-69-1
产地: 美国
包装: 询盘
规格: HY-W750458
价格: 询价
库存: 询盘
电话: 021-38924433; 021-58955995
手机: 18019480960
电子邮件: sales@medchemexpress.cn
产品描述: 产品覆盖:8万多种抑制剂,11000+靶点蛋白,数百款试剂盒,200+生物活性化合物库,天然产物,抗体等. 纯度:
上海源叶生物科技有限公司
产品名: 酸性紫7 去供应商网站查看 询盘
CAS: 4321-69-1
产地: 上海
价格: 50g 1120,100g 1470
电话: 18301782025
手机: 18301782025
电子邮件: 3008007403@qq.com
QQ: 3008007403 点击这里给我发消息
微信: 18301782025
产品描述: 酸性紫7 源叶 货号:T34903
5-乙酰胺基-3-(4-乙酰胺基苯基)偶氮-4-羟基萘-2,7-二磺酸二钠盐的上游原料
4-氨基乙酰苯胺 工业盐
5-乙酰胺基-3-(4-乙酰胺基苯基)偶氮-4-羟基萘-2,7-二磺酸二钠盐的下游产品
Sulfonated castor oil 4'-Aminoacetanilide 4'-Aminoacetanilide 4-acetamido-5-hydroxynaphthalene-2,7-disulfonic acid
您刚刚浏览过
5-乙酰胺基-3-(4-乙酰胺基苯基)偶氮-4-羟基萘-2,7-二磺酸二钠盐
你知道吗?
化工百科小程序

微信搜索化工百科或扫描下方二维码,添加化工百科小程序,随时随地查信息!

  • 使用化工百科前必读

  • 首页
  • 注册
  • 登录
  • 会员介绍
  • 联系方式
  • 化工百科英文站