1. 诱导疾病模型产品 Immunology/Inflammation Vitamin D Related/Nuclear Receptor Autophagy Anti-infection Antibody-drug Conjugate/ADC Related
  2. 内分泌与代谢疾病模型 免疫与炎症疾病模型 神经系统疾病模型 心血管系统疾病模型 Glucocorticoid Receptor SARS-CoV Autophagy Complement System Mitophagy Bacterial Antibiotic ADC Payload
  3. 肌肉萎缩模型 关节炎模型 抑郁症模型 高血压模型
  4. Dexamethasone

Dexamethasone  (Synonyms: 地塞米松; Hexadecadrol; Prednisolone F)

目录号: HY-14648 纯度: 99.86%
COA 产品使用指南 技术支持

Dexamethasone (Hexadecadrol) 是糖皮质激素受体 (glucocorticoid receptor) 激动剂、凋亡诱导剂,和常见的实验动物的疾病诱导剂,可构建肌肉萎缩、高血压和抑郁模型。Dexamethasone 可抑制巨噬细胞中炎性 miRNA-155 外泌体的产生,显著降低中性粒细胞以及单核细胞的炎症因子表达。Dexamethasone 还有潜力用于 COVID-19 的研究。

MCE 的所有产品仅用作科学研究或药证申报,我们不为任何个人用途提供产品和服务

CAS No. : 50-02-2

1.  客户无需承担相应的运输费用。

2.  同一机构(单位)同一产品试用装仅限申领一次,同一机构(单位)一年内

     可免费申领三个不同产品的试用装。

3.  试用装只面向终端客户

规格 价格 是否有货 数量
10 mM * 1 mL in DMSO ¥550
In-stock
100 mg ¥350
In-stock
500 mg ¥500
In-stock
1 g ¥837
In-stock
5 g ¥2046
In-stock
10 g   询价  
50 g   询价  

* Please select Quantity before adding items.

MCE 顾客使用本产品发表的 258 篇科研文献

WB
IF
Proliferation Assay
RT-PCR

    Dexamethasone purchased from MCE. Usage Cited in: Nat Genet. 2024 Apr;56(4):663-674.  [Abstract]

    Dexamethasone (Dex) (2 h) increases MYC expression in BT549 cells.

    Dexamethasone purchased from MCE. Usage Cited in: Cell. 2023 Jun 22;186(13):2823-2838.e20.  [Abstract]

    Whole-mount IF staining for HuC/D, GFAP and pSTAT3 (arrows indicate pSTAT3+ nuclei) (P), and quantification of pSTAT3+ enteric glia cell nuclei normalized to the GFAP+ area (Q) after 7 days of stress or dexamethasone treatment.

    Dexamethasone purchased from MCE. Usage Cited in: Carbohydr Polym. 2023 Jan 1:299:120179.

    Western blotting analysis of Itgb2 levels in Dexamethasone (100 nM; for 1 hour)-treated MODE-K cells.

    Dexamethasone purchased from MCE. Usage Cited in: Carbohydr Polym. 2023 Jan 1:299:120179.

    Immunofluorescence analysis of Itgb2 in Dexamethasone (100 nM; for 1 hour)-treated MODE-K cells.

    Dexamethasone purchased from MCE. Usage Cited in: Carbohydr Polym. 2023 Jan 1:299:120179.

    mRNA levels of Itgb2 in Dexamethasone (100 nM; for 1 hour)-treated MODE-K cells.

    Dexamethasone purchased from MCE. Usage Cited in: J Cachexia Sarcopenia Muscle. 2022 Aug;13(4):2017-2030.  [Abstract]

    Western blotting results show that SYISL overexpression can further promote protein ubiquitination levels in Dexamethasone (DEX; 25 μg/g ; once a day; for 10 days)-induced muscular atrophy. Muscle atrophy is induced by intraperitoneal injection of DEX for 10 days in 3‐month‐old wild‐type and KO mice, respectively.

    Dexamethasone purchased from MCE. Usage Cited in: J Cachexia Sarcopenia Muscle. 2022 Aug;13(4):2017-2030.  [Abstract]

    Representative photographs of H&E and Lamin immunofluorescence staining for WT and KO TA muscles. Quantification of five independent experiments shows that knockout of SYISL alleviates muscle weight loss caused by Dexamethasone (DEX; 25 μg/g ; once a day; for 10 days)-induced muscle atrophy.

    Dexamethasone purchased from MCE. Usage Cited in: J Cachexia Sarcopenia Muscle. 2022 Aug;13(4):2017-2030.  [Abstract]

    qRT‐PCR results show that DEX (DEX; 25 μg/g ; once a day; for 10 days)-induced myotube atrophy can increase the expression levels of MuRF1, Atrogin‐1, FoxO3a, SYISL, and miR‐205‐5p, decrease the expression levels of miR‐23a‐3p and miR‐103‐3p, but does not affect the expression level of SYNPO2.

    Dexamethasone purchased from MCE. Usage Cited in: Br J Pharmacol. 2021 Aug;178(15):2976-2997.  [Abstract]

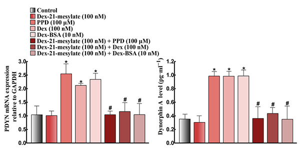
    Primary microglial cells incubated with Protopanaxadiol (100 μM), Dexamethasone (100 nM) or Dexamethasone-BSA (10 nM) show remarkable dynorphin A expression. Pretreatment with Dexamethasone-21-mesylate for 0.5 h completely abolished Protopanaxadiol-, Dexamethasone- or Dexamethasone-BSA-stimulated dynorphin A expression.

    Dexamethasone purchased from MCE. Usage Cited in: Oncogene. 2021 Sep;40(35):5367-5378.  [Abstract]

    The migration assay of 4T1 cells in different condition. 4T1 cells were pretreated with 100 nM Dexamethasone (Dex) for 48 h and then are used for Transwell.

    Dexamethasone purchased from MCE. Usage Cited in: Oncogene. 2021 Sep;40(35):5367-5378.  [Abstract]

    The GR expression of 4T1 cells treated with Dexamethasone (100 nM)/Mifepristone for 48 h.

    Dexamethasone purchased from MCE. Usage Cited in: Oncogene. 2021 Sep;40(35):5367-5378.  [Abstract]

    For in situ treatment in the 4T1 tumor model, Dexamethasone (Dex; 3 mg/kg) is performed every three days by gavage twice/day. The expression of Nedd4l, p-Nedd4l, Smad2 and p-Smad2 after SGK1 knockout.

    Dexamethasone purchased from MCE. Usage Cited in: Oncogene. 2021 Sep;40(35):5367-5378.  [Abstract]

    4T1 cells are treated with Dexamethasone (Dex; 100 nM)/GSK650394 in vitro for 48 h before inoculation via intravenous injection.

    Dexamethasone purchased from MCE. Usage Cited in: Biomaterials. 2020 Feb;232:119730.  [Abstract]

    Western blot analysis of iRhom2, TNF-α, and BAFF expression in Raw264.7 cells treated with various concentrations of blank NPs, free Dexamethasone (Dex), Dex/Oxi-αCD NPs, or Dex/FA-Oxi-αCD NPs for 24 h.

    Dexamethasone purchased from MCE. Usage Cited in: Biomaterials. 2020 Feb;232:119730.  [Abstract]

    Raw264.7 cells are treated with various concentrations of blank NPs, free Dexamethasone (Dex), Dex/Oxi-αCD NPs, or Dex/FA-Oxi-αCD NPs for 24 h, mRNA level of iRhom2 in Raw264.7 cells is detected by quantitative real-time PCR. Data are presented by the relative amount of mRNA normalized by GAPDH.

    Dexamethasone purchased from MCE. Usage Cited in: Biomaterials. 2020 Feb;232:119730.  [Abstract]

    Raw264.7 macrophages induced with LPS (1 μg/mL) for 6 h. Then cellular uptake of Cy5-labeled Dexamethasone (Dex)/OxiαCD NPs or Dex/FA-Oxi-αCD NPs is assessed using confocal laser scanning microscopy at various times.

    Dexamethasone purchased from MCE. Usage Cited in: Biomaterials. 2020 Feb;232:119730.  [Abstract]

    Raw264.7 cells are treated with various concentrations of blank NPs, free Dexamethasone (Dex), Dex/Oxi-αCD NPs, or Dex/FA-Oxi-αCD NPs for 24 h, the optical density values at 450 nm were measured and the cell viability was determined by CCK-8 assay.

    Dexamethasone purchased from MCE. Usage Cited in: Biochem Pharmacol. 2020 Oct;180:114145.  [Abstract]

    Translocation of FoxO3 after treatment with S-Rg3 in DEX-treated C2C12 myotubes was investigated by immunofluorescence staining.

    Dexamethasone purchased from MCE. Usage Cited in: Biochem Pharmacol. 2020 Oct;180:114145.  [Abstract]

    After C2C12 myotubes are incubated with Dexamethasone (DEX) and S-Rg3 for 24 h, myotube levels of MuRF1 and atrogin-1 are detected using Western blot analysis.
    • 生物活性

    • 实验参考方法

    • 纯度 & 产品资料

    • 参考文献

    生物活性

    Dexamethasone (Hexadecadrol) is a glucocorticoid receptor agonist, apoptosis inducer, and common disease inducer in experimental animals, constructing models of muscle atrophy, hypertension, and depression. Dexamethasone can inhibit the production of inflammatory miRNA-155 exosomes in macrophages and significantly reduce the expression of inflammatory factors in neutrophils and monocytes. Dexamethasone also has potential for use in COVID-19 research[1][2][3][4].

    IC50 & Target

    Glucocorticoid receptor[1]

    细胞效力
    (Cellular Effect)
    Cell Line Type Value Description References
    A549 IC50
    > 15 μM
    Compound: Dex
    Anticancer against human A549 cells after 72 hrs by MTT assay
    Anticancer against human A549 cells after 72 hrs by MTT assay
    [PMID: 24992071]
    A549 EC50
    1 nM
    Compound: Dexamethasone
    Activity at glucocorticoid receptor in human A549 cells assessed as effect on GRE promoter response by luciferase reporter assay
    Activity at glucocorticoid receptor in human A549 cells assessed as effect on GRE promoter response by luciferase reporter assay
    [PMID: 16643060]
    A549 EC50
    1.1 nM
    Compound: Dexamethasone
    Transrepression activity at glucocorticoid receptor expressed in human A549 cells assessed as inhibition of IL-1-beta-induced NF-kappaB dependent E-selection promoter activation after 6 hrs by luciferase reporter gene based ELAM assay
    Transrepression activity at glucocorticoid receptor expressed in human A549 cells assessed as inhibition of IL-1-beta-induced NF-kappaB dependent E-selection promoter activation after 6 hrs by luciferase reporter gene based ELAM assay
    [PMID: 20047280]
    A549 EC50
    1.1 nM
    Compound: 1, Dex
    Agonist activity at glucocorticoid receptor in human A549 cells assessed as E-selectin transrepression by luciferase reporter gene assay
    Agonist activity at glucocorticoid receptor in human A549 cells assessed as E-selectin transrepression by luciferase reporter gene assay
    [PMID: 24980053]
    A549 EC50
    1.1 nM
    Compound: 1, Dex
    Agonist activity at glucocorticoid receptor in human A549 cells assessed as inhibition of IL-1beta-induced NF-kappaB dependent E-selectin activation by luciferase reporter gene assay
    Agonist activity at glucocorticoid receptor in human A549 cells assessed as inhibition of IL-1beta-induced NF-kappaB dependent E-selectin activation by luciferase reporter gene assay
    [PMID: 23953070]
    A549 EC50
    1.1 nM
    Compound: Dex
    Transrepression activity at glucocorticoid receptor in human A549 cells assessed as inhibition of IL1beta-stimulated NFkappaB-dependent E-selectin transcription by luciferase reporter gene assay
    Transrepression activity at glucocorticoid receptor in human A549 cells assessed as inhibition of IL1beta-stimulated NFkappaB-dependent E-selectin transcription by luciferase reporter gene assay
    [PMID: 23916594]
    A549 EC50
    1.1 nM
    Compound: 1, dex
    Transrepression activity of glucocorticoid receptor in human A549 cells assessed as inhibition of IL1beta-stimulated NFkappaB-dependent E-selectin transcription by luciferase reporter gene assay
    Transrepression activity of glucocorticoid receptor in human A549 cells assessed as inhibition of IL1beta-stimulated NFkappaB-dependent E-selectin transcription by luciferase reporter gene assay
    [PMID: 21073190]
    A549 EC50
    1.1 nM
    Compound: dex
    Transrepression activity at GR in IL-1-beta-stimulated human A549 cells assessed as inhibition of NF-kappaB-dependent E-selectin transcription by luciferase reporter gene assay
    Transrepression activity at GR in IL-1-beta-stimulated human A549 cells assessed as inhibition of NF-kappaB-dependent E-selectin transcription by luciferase reporter gene assay
    [PMID: 19321341]
    A549 EC50
    2.5 nM
    Compound: Dexamethasone
    Transrepression activity at glucocorticoid receptor expressed in human A549 cells assessed as inhibition of PMA-induced AP1 activity after 6 hrs by luciferase reporter gene assay
    Transrepression activity at glucocorticoid receptor expressed in human A549 cells assessed as inhibition of PMA-induced AP1 activity after 6 hrs by luciferase reporter gene assay
    [PMID: 20047280]
    A549 EC50
    2.5 nM
    Compound: 1, Dex
    Agonist activity at glucocorticoid receptor in human A549 cells assessed as AP-1 transrepression by luciferase reporter gene assay
    Agonist activity at glucocorticoid receptor in human A549 cells assessed as AP-1 transrepression by luciferase reporter gene assay
    [PMID: 24980053]
    A549 EC50
    2.5 nM
    Compound: Dexamethasone
    Transrepression of glucocorticoid receptor in human A549 cells assessed as inhibition of PMA-induced AP-1 activity by luciferase reporter gene assay
    Transrepression of glucocorticoid receptor in human A549 cells assessed as inhibition of PMA-induced AP-1 activity by luciferase reporter gene assay
    [PMID: 24011644]
    A549 EC50
    2.5 nM
    Compound: 1, Dex
    Agonist activity at glucocorticoid receptor in human A549 cells assessed as inhibition of PMA-induced AP-1 activation by luciferase reporter gene assay
    Agonist activity at glucocorticoid receptor in human A549 cells assessed as inhibition of PMA-induced AP-1 activation by luciferase reporter gene assay
    [PMID: 23953070]
    A549 EC50
    2.5 nM
    Compound: Dex
    Transrepression activity at glucocorticoid receptor in human A549 cells assessed as inhibition of PMA-stimulated AP1 response element by luciferase reporter gene assay
    Transrepression activity at glucocorticoid receptor in human A549 cells assessed as inhibition of PMA-stimulated AP1 response element by luciferase reporter gene assay
    [PMID: 23916594]
    A549 EC50
    2.5 nM
    Compound: 1, dex
    Transrepression activity of glucocorticoid receptor in human A549 cells expressing AP-1 assessed as inhibition of PMA-induced AP-1 activity by luciferase reporter gene assay
    Transrepression activity of glucocorticoid receptor in human A549 cells expressing AP-1 assessed as inhibition of PMA-induced AP-1 activity by luciferase reporter gene assay
    [PMID: 21073190]
    B16-F10 IC50
    > 20 μM
    Compound: Dex
    Anticancer against mouse B16F10 cells after 72 hrs by MTT assay
    Anticancer against mouse B16F10 cells after 72 hrs by MTT assay
    [PMID: 24992071]
    B-cell IC50
    0.8 μM
    Compound: Dexamethasone
    Immunosuppressive activity against BALB/C mouse B lymphocytes assessed as reduction in LPS-induced cell proliferation by measuring [3H]-thymidine uptake incubated for 8 hrs by Beta scintillation counting method
    Immunosuppressive activity against BALB/C mouse B lymphocytes assessed as reduction in LPS-induced cell proliferation by measuring [3H]-thymidine uptake incubated for 8 hrs by Beta scintillation counting method
    [PMID: 31961677]
    BV-2 IC50
    2.5 x 10-2 μM
    Compound: Dexamethasone
    Antiinflammatory activity in C57BL6/J mouse BV2 cells assessed as inhibition of LPS-induced nitric oxide production after 24 hrs by Griess assay
    Antiinflammatory activity in C57BL6/J mouse BV2 cells assessed as inhibition of LPS-induced nitric oxide production after 24 hrs by Griess assay
    [PMID: 26110443]
    CHO IC50
    > 20 μM
    Compound: Dex
    Cytotoxicity against CHO cells after 72 hrs by MTT assay
    Cytotoxicity against CHO cells after 72 hrs by MTT assay
    [PMID: 24992071]
    COS-7 EC50
    7.2 nM
    Compound: Dexamethasone
    Agonist activity at glucocorticoid receptor ligand binding domain expressed in african green monkey COS7 cells co-transfected with Gal4-LBD by luciferase reporter gene assay
    Agonist activity at glucocorticoid receptor ligand binding domain expressed in african green monkey COS7 cells co-transfected with Gal4-LBD by luciferase reporter gene assay
    [PMID: 19863083]
    CV-1 ED50
    0.1 nM
    Compound: dexamethasone
    Activity at human glucocorticoid receptor expressed in CV1 cells assessed as repression of TNF and IL-1-beta-induced E-selectin gene expression by luciferase reporter gene assay
    Activity at human glucocorticoid receptor expressed in CV1 cells assessed as repression of TNF and IL-1-beta-induced E-selectin gene expression by luciferase reporter gene assay
    [PMID: 18032610]
    CV-1 EC50
    0.2 nM
    Compound: dexamethasone
    Agonist activity at human GR expressed in CV1 cells by GRE activation assay
    Agonist activity at human GR expressed in CV1 cells by GRE activation assay
    [PMID: 17705362]
    Fibroblast IC50
    > 15 μM
    Compound: Dex
    Cytotoxicity against mouse fibroblasts after 72 hrs by MTT assay
    Cytotoxicity against mouse fibroblasts after 72 hrs by MTT assay
    [PMID: 24992071]
    HEK293 IC50
    > 500 μM
    Compound: dexamethasone
    Inhibition of human MATE1-mediated ASP+ uptake expressed in HEK293 cells after 1.5 mins by fluorescence assay
    Inhibition of human MATE1-mediated ASP+ uptake expressed in HEK293 cells after 1.5 mins by fluorescence assay
    [PMID: 23241029]
    HEK293 EC50
    1.3 nM
    Compound: DEX
    Agonist activity at human GCR expressed in HEK293 cells by luciferase reporter gene assay
    Agonist activity at human GCR expressed in HEK293 cells by luciferase reporter gene assay
    [PMID: 25305688]
    HEK-293T IC50
    > 20 μM
    Compound: Dex
    Cytotoxicity against HEK293T cells after 72 hrs by MTT assay
    Cytotoxicity against HEK293T cells after 72 hrs by MTT assay
    [PMID: 24992071]
    HeLa EC50
    17 nM
    Compound: 1a
    Activation of MMTV in HeLa cells measured by luciferase activity
    Activation of MMTV in HeLa cells measured by luciferase activity
    [PMID: 17181172]
    HeLa EC50
    17 nM
    Compound: Dexamethasone
    Transactivation of glucocorticoid receptor in human HeLa cells harboring MMTV promoter by luciferase reporter gene assay
    Transactivation of glucocorticoid receptor in human HeLa cells harboring MMTV promoter by luciferase reporter gene assay
    [PMID: 24656565]
    HeLa EC50
    4.2 nM
    Compound: Dexamethasone
    Transactivation of GR-LBD expressed in human HeLa cells co-expressing GAL4-DBD by luciferase reporter gene assay
    Transactivation of GR-LBD expressed in human HeLa cells co-expressing GAL4-DBD by luciferase reporter gene assay
    [PMID: 24011644]
    HeLa EC50
    4.2 nM
    Compound: 1, dex
    Transactivation activity of glucocorticoid receptor ligand binding domain expressed in human NP-1 Hela cells co-expressing GAL4 DNA binding domain by luciferase reporter gene assay
    Transactivation activity of glucocorticoid receptor ligand binding domain expressed in human NP-1 Hela cells co-expressing GAL4 DNA binding domain by luciferase reporter gene assay
    [PMID: 21073190]
    HeLa EC50
    4.5 nM
    Compound: 1, Dex
    Agonist activity at glucocorticoid receptor in human HeLa cells assessed as NP-1 transactivation by luciferase reporter gene assay
    Agonist activity at glucocorticoid receptor in human HeLa cells assessed as NP-1 transactivation by luciferase reporter gene assay
    [PMID: 24980053]
    HeLa EC50
    4.5 nM
    Compound: 1, Dex
    Transactivation of glucocorticoid receptor ligand binding domain (unknown origin) transfected in human HeLa cells assessed as activation of NP-1 by GAL4 luciferase reporter gene assay
    Transactivation of glucocorticoid receptor ligand binding domain (unknown origin) transfected in human HeLa cells assessed as activation of NP-1 by GAL4 luciferase reporter gene assay
    [PMID: 23953070]
    HeLa EC50
    4.5 nM
    Compound: Dex
    Transactivation activity at glucocorticoid receptor ligand binding domain (unknown origin) expressed in human Hela cells co-expressing GAL4 DNA binding domain assessed as NP-1-stimulated GRE activation by luciferase reporter gene assay
    Transactivation activity at glucocorticoid receptor ligand binding domain (unknown origin) expressed in human Hela cells co-expressing GAL4 DNA binding domain assessed as NP-1-stimulated GRE activation by luciferase reporter gene assay
    [PMID: 23916594]
    HeLa EC50
    4.5 nM
    Compound: Dexamethasone
    Transactivation of GAL-4 tagged glucocorticoid receptor ligand binding domain expressed in human HeLa cells assessed as NP1 activation by luciferase reporter gene assay
    Transactivation of GAL-4 tagged glucocorticoid receptor ligand binding domain expressed in human HeLa cells assessed as NP1 activation by luciferase reporter gene assay
    [PMID: 20047280]
    HeLa S3 IC50
    4.1 nM
    Compound: dexamethasone
    Displacement of [3H]Dexamethasone from glucocorticoid receptor in human HeLaS3 cells after 2 hrs
    Displacement of [3H]Dexamethasone from glucocorticoid receptor in human HeLaS3 cells after 2 hrs
    [PMID: 23403082]
    HepG2 EC50
    2.6 μM
    Compound: Dexamethasone
    Activation of rat PXR expressed in human HepG2 cells after 24 hrs by luciferase reporter gene based luminescent analysis
    Activation of rat PXR expressed in human HepG2 cells after 24 hrs by luciferase reporter gene based luminescent analysis
    [PMID: 20966043]
    HFF EC50
    0.5 nM
    Compound: dexamethasone
    Antiinflammatory activity assessed as inhibition of IL1 stimulated IL6 production in HFF cells by transrepression assay
    Antiinflammatory activity assessed as inhibition of IL1 stimulated IL6 production in HFF cells by transrepression assay
    [PMID: 17692519]
    HFF EC50
    1.9 nM
    Compound: 1a
    Induction of aromatase activity in HFF cells assessed as production of beta estradiol by aromatase assay
    Induction of aromatase activity in HFF cells assessed as production of beta estradiol by aromatase assay
    [PMID: 17181172]
    HFF EC50
    2 nM
    Compound: dexamethasone
    Antiinflammatory activity assessed as upregulation of aromatase in HFF cells by transactivation assay
    Antiinflammatory activity assessed as upregulation of aromatase in HFF cells by transactivation assay
    [PMID: 17692519]
    Huh-7 EC50
    5 nM
    Compound: 1, dex
    Transactivation activity at glucocorticoid receptor in human 13D3/Huh7 cells assessed as induction of tyrosine aminotransferase activity after 24 hrs
    Transactivation activity at glucocorticoid receptor in human 13D3/Huh7 cells assessed as induction of tyrosine aminotransferase activity after 24 hrs
    [PMID: 21073190]
    J774 IC50
    5.2 μM
    Compound: Dexamethasone
    Antiinflammatory activity in mouse J774 cells assessed as inhibition of LPS/IFNgamma-induced NO production incubated for 24 hrs by Griess method
    Antiinflammatory activity in mouse J774 cells assessed as inhibition of LPS/IFNgamma-induced NO production incubated for 24 hrs by Griess method
    [PMID: 32364737]
    J774 CC50
    91.1 μM
    Compound: Dexa
    Cytotoxicity against BALB/c mouse J774 cells assessed as reduction in cell viability after 72 hrs by alamarBlue assay
    Cytotoxicity against BALB/c mouse J774 cells assessed as reduction in cell viability after 72 hrs by alamarBlue assay
    [PMID: 29523468]
    J774.1 IC50
    170 μM
    Compound: dexamethasone
    Inhibition of LPS-induced NO production in mouse J774.1 cells after 24 hrs
    Inhibition of LPS-induced NO production in mouse J774.1 cells after 24 hrs
    [PMID: 12608860]
    J774.A1 IC50
    0.165 μg/mL
    Compound: Dexamethasone
    Inhibition of LPS-induced TNF-alpha release in mouse J774A1 cells compound preincubated for 1 hr before LPS treatment measured after 6 to 12 hrs by sandwich immunoassay
    Inhibition of LPS-induced TNF-alpha release in mouse J774A1 cells compound preincubated for 1 hr before LPS treatment measured after 6 to 12 hrs by sandwich immunoassay
    [PMID: 25113933]
    J774.A1 IC50
    0.4 μM
    Compound: DEXA
    Inhibition of TNFalpha production in mouse J774A.1 cells incubated for 6 hrs by sandwich immunoassay
    Inhibition of TNFalpha production in mouse J774A.1 cells incubated for 6 hrs by sandwich immunoassay
    [PMID: 25824662]
    J774.A1 IC50
    22 μM
    Compound: DEXA
    Inhibition of IL-1beta production in mouse J774A.1 cells incubated for 12 hrs by sandwich immunoassay
    Inhibition of IL-1beta production in mouse J774A.1 cells incubated for 12 hrs by sandwich immunoassay
    [PMID: 25824662]
    J774.A1 IC50
    9.09 μg/mL
    Compound: Dexamethasone
    Inhibition of LPS-induced IL1-beta release in mouse J774A1 cells compound preincubated for 1 hr before LPS treatment measured after 6 to 12 hrs by sandwich immunoassay
    Inhibition of LPS-induced IL1-beta release in mouse J774A1 cells compound preincubated for 1 hr before LPS treatment measured after 6 to 12 hrs by sandwich immunoassay
    [PMID: 25113933]
    L02 IC50
    4620.58 μM
    Compound: Dex
    Antiinflammatory activity against human L02 assessed as inhibition of LPS-induced NO production preincubated for 1 hrs followed by LPS stimulation and measured after 24 hrs by Griess assay relative to control
    Antiinflammatory activity against human L02 assessed as inhibition of LPS-induced NO production preincubated for 1 hrs followed by LPS stimulation and measured after 24 hrs by Griess assay relative to control
    [PMID: 33515864]
    L02 IC50
    4620.58 μM
    Compound: Dex
    Cytotoxicity against human L02 cells cells assessed as cell viability by MTT assay
    Cytotoxicity against human L02 cells cells assessed as cell viability by MTT assay
    [PMID: 33515864]
    LLC-PK1 IC50
    > 50 μM
    Compound: Dexamethasone
    Inhibition of P-glycoprotein, human L-MDR1 expressed in LLC-PK1 epithelial cells using calcein-AM polarisation assay
    Inhibition of P-glycoprotein, human L-MDR1 expressed in LLC-PK1 epithelial cells using calcein-AM polarisation assay
    [PMID: 12699389]
    LLC-PK1 IC50
    > 50 μM
    Compound: Dexamethasone
    Inhibition of P-glycoprotein, mouse L-mdr1a expressed in LLC-PK1 epithelial cells using calcein-AM polarisation assay
    Inhibition of P-glycoprotein, mouse L-mdr1a expressed in LLC-PK1 epithelial cells using calcein-AM polarisation assay
    [PMID: 12699389]
    LLC-PK1 IC50
    > 50 μM
    Compound: Dexamethasone
    Inhibition of P-glycoprotein, mouse L-mdr1b expressed in LLC-PK1 epithelial cells using calcein-AM polarisation assay
    Inhibition of P-glycoprotein, mouse L-mdr1b expressed in LLC-PK1 epithelial cells using calcein-AM polarisation assay
    [PMID: 12699389]
    Macrophage IC50
    0.134 μM
    Compound: Dexamethasone
    Inhibition of TNFalpha expression in LPS-induced macrophages (unknown origin) incubated for 24 hrs by ELISA
    Inhibition of TNFalpha expression in LPS-induced macrophages (unknown origin) incubated for 24 hrs by ELISA
    [PMID: 31473042]
    MCF7 IC50
    > 15 μM
    Compound: Dex
    Anticancer against human MCF7 cells after 72 hrs by MTT assay
    Anticancer against human MCF7 cells after 72 hrs by MTT assay
    [PMID: 24992071]
    Multiple myeloma cancer stem cell IC50
    > 100000 nM
    Compound: DEX
    Antiproliferative activity against human multiple myeloma cancer stem cells after 72 hrs by MTT assay
    Antiproliferative activity against human multiple myeloma cancer stem cells after 72 hrs by MTT assay
    [PMID: 30108696]
    PBMC EC50
    > 0.2 μM
    Compound: 1
    Antiinflammatory activity in human PBMC assessed as inhibition of PHA-induced MCP-1 production after 24 hrs
    Antiinflammatory activity in human PBMC assessed as inhibition of PHA-induced MCP-1 production after 24 hrs
    [PMID: 23199485]
    PBMC EC50
    0.00047 μM
    Compound: 1
    Antiinflammatory activity in human PBMC assessed as inhibition of anti-CD3-induced GM-CSF production after 48 hrs
    Antiinflammatory activity in human PBMC assessed as inhibition of anti-CD3-induced GM-CSF production after 48 hrs
    [PMID: 23199485]
    PBMC EC50
    0.00092 μM
    Compound: 1
    Antiinflammatory activity in human PBMC assessed as inhibition of PHA-induced IL-4 production after 24 hrs
    Antiinflammatory activity in human PBMC assessed as inhibition of PHA-induced IL-4 production after 24 hrs
    [PMID: 23199485]
    PBMC EC50
    0.001 μM
    Compound: 1
    Antiinflammatory activity in human PBMC assessed as inhibition of PHA-induced IL-5 production after 48 hrs
    Antiinflammatory activity in human PBMC assessed as inhibition of PHA-induced IL-5 production after 48 hrs
    [PMID: 23199485]
    PBMC EC50
    0.0012 μM
    Compound: 1
    Antiinflammatory activity in human PBMC assessed as inhibition of PHA-induced IL-13 production after 24 hrs
    Antiinflammatory activity in human PBMC assessed as inhibition of PHA-induced IL-13 production after 24 hrs
    [PMID: 23199485]
    PBMC EC50
    0.0019 μM
    Compound: 1
    Antiinflammatory activity in human PBMC assessed as inhibition of anti-CD3-induced TNFalpha production after 48 hrs
    Antiinflammatory activity in human PBMC assessed as inhibition of anti-CD3-induced TNFalpha production after 48 hrs
    [PMID: 23199485]
    PBMC IC50
    0.002 μM
    Compound: dexamethasone
    Antiinflammatory activity in human PBMC assessed as inhibition of LPS-induced TNFalpha expression pretreated 1 hr before LPS challenge followed by incubated for 16 hrs by flow cytometry
    Antiinflammatory activity in human PBMC assessed as inhibition of LPS-induced TNFalpha expression pretreated 1 hr before LPS challenge followed by incubated for 16 hrs by flow cytometry
    [PMID: 25338180]
    PBMC EC50
    0.0021 μM
    Compound: 1
    Antiinflammatory activity in human PBMC assessed as inhibition of anti-CD3-induced IL-1beta production after 48 hrs
    Antiinflammatory activity in human PBMC assessed as inhibition of anti-CD3-induced IL-1beta production after 48 hrs
    [PMID: 23199485]
    PBMC EC50
    0.0024 μM
    Compound: 1
    Antiinflammatory activity in human PBMC assessed as inhibition of PHA-induced IP-10 production after 24 hrs
    Antiinflammatory activity in human PBMC assessed as inhibition of PHA-induced IP-10 production after 24 hrs
    [PMID: 23199485]
    PBMC EC50
    0.0035 μM
    Compound: 1
    Antiinflammatory activity in human PBMC assessed as inhibition of PHA-induced IL-3 production after 48 hrs
    Antiinflammatory activity in human PBMC assessed as inhibition of PHA-induced IL-3 production after 48 hrs
    [PMID: 23199485]
    PBMC EC50
    0.0036 μM
    Compound: 1
    Antiinflammatory activity in human PBMC assessed as inhibition of PHA-induced IL-2 production after 48 hrs
    Antiinflammatory activity in human PBMC assessed as inhibition of PHA-induced IL-2 production after 48 hrs
    [PMID: 23199485]
    PBMC EC50
    0.0041 μM
    Compound: 1
    Antiinflammatory activity in human PBMC assessed as inhibition of anti-CD3-induced IL-12p70 production after 48 hrs
    Antiinflammatory activity in human PBMC assessed as inhibition of anti-CD3-induced IL-12p70 production after 48 hrs
    [PMID: 23199485]
    PBMC EC50
    0.0055 μM
    Compound: 1
    Antiinflammatory activity in human PBMC assessed as inhibition of PHA-induced IL-10 production after 48 hrs
    Antiinflammatory activity in human PBMC assessed as inhibition of PHA-induced IL-10 production after 48 hrs
    [PMID: 23199485]
    PBMC EC50
    0.0061 μM
    Compound: 1
    Antiinflammatory activity in human PBMC assessed as inhibition of PHA-induced TNFalpha production after 6 hrs
    Antiinflammatory activity in human PBMC assessed as inhibition of PHA-induced TNFalpha production after 6 hrs
    [PMID: 23199485]
    PBMC EC50
    0.0076 μM
    Compound: 1
    Antiinflammatory activity in human PBMC assessed as inhibition of PHA-induced IFNgamma production after 24 hrs
    Antiinflammatory activity in human PBMC assessed as inhibition of PHA-induced IFNgamma production after 24 hrs
    [PMID: 23199485]
    PBMC IC50
    0.008 μM
    Compound: dexamethasone
    Antiinflammatory activity in human PBMC assessed as inhibition of LPS-induced IL-1beta expression pretreated 1 hr before LPS challenge followed by incubated for 16 hrs by flow cytometry
    Antiinflammatory activity in human PBMC assessed as inhibition of LPS-induced IL-1beta expression pretreated 1 hr before LPS challenge followed by incubated for 16 hrs by flow cytometry
    [PMID: 25338180]
    PBMC IC50
    0.009 μM
    Compound: dexamethasone
    Antiinflammatory activity in human PBMC assessed as inhibition of LPS-induced IL-8 expression pretreated 1 hr before LPS challenge followed by incubated for 16 hrs by flow cytometry
    Antiinflammatory activity in human PBMC assessed as inhibition of LPS-induced IL-8 expression pretreated 1 hr before LPS challenge followed by incubated for 16 hrs by flow cytometry
    [PMID: 25338180]
    PBMC EC50
    0.0094 μM
    Compound: 1
    Antiinflammatory activity in human PBMC assessed as inhibition of PHA-induced IL-1beta production after 6 hrs
    Antiinflammatory activity in human PBMC assessed as inhibition of PHA-induced IL-1beta production after 6 hrs
    [PMID: 23199485]
    PBMC IC50
    0.0095 μM
    Compound: Dexamethasone
    Antiinflammatory activity in human PBMCs assessed as inhibition of LPS-induced IL1-beta release incubated for 15 mins prior to LPS challenge measured after 24 hrs by HTRF assay
    Antiinflammatory activity in human PBMCs assessed as inhibition of LPS-induced IL1-beta release incubated for 15 mins prior to LPS challenge measured after 24 hrs by HTRF assay
    [PMID: 23411072]
    PBMC EC50
    0.01 μM
    Compound: 1
    Antiinflammatory activity in human PBMC assessed as inhibition of LPS-induced TNFalpha production after 6 hrs
    Antiinflammatory activity in human PBMC assessed as inhibition of LPS-induced TNFalpha production after 6 hrs
    [PMID: 23199485]
    PBMC EC50
    0.014 μM
    Compound: 1
    Antiinflammatory activity in human PBMC assessed as inhibition of LPS-induced IL-1beta production after 6 hrs
    Antiinflammatory activity in human PBMC assessed as inhibition of LPS-induced IL-1beta production after 6 hrs
    [PMID: 23199485]
    PBMC IC50
    0.017 μM
    Compound: Dexamethasone
    Antiinflammatory activity in human PBMCs assessed as inhibition of LPS-induced TNFalpha release incubated for 15 mins prior to LPS challenge measured after 24 hrs by HTRF assay
    Antiinflammatory activity in human PBMCs assessed as inhibition of LPS-induced TNFalpha release incubated for 15 mins prior to LPS challenge measured after 24 hrs by HTRF assay
    [PMID: 23411072]
    PBMC EC50
    0.055 μM
    Compound: 1
    Antiinflammatory activity in human PBMC assessed as inhibition of LPS-induced IL-6 production after 6 hrs
    Antiinflammatory activity in human PBMC assessed as inhibition of LPS-induced IL-6 production after 6 hrs
    [PMID: 23199485]
    PBMC EC50
    0.066 μM
    Compound: 1
    Antiinflammatory activity in human PBMC assessed as inhibition of LPS-induced MIP1alpha production after 6 hrs
    Antiinflammatory activity in human PBMC assessed as inhibition of LPS-induced MIP1alpha production after 6 hrs
    [PMID: 23199485]
    PBMC EC50
    0.072 μM
    Compound: 1
    Antiinflammatory activity in human PBMC assessed as inhibition of LPS-induced IL-8 production after 6 hrs
    Antiinflammatory activity in human PBMC assessed as inhibition of LPS-induced IL-8 production after 6 hrs
    [PMID: 23199485]
    PBMC EC50
    0.082 μM
    Compound: 1
    Antiinflammatory activity in human PBMC assessed as inhibition of PHA-induced IL-6 production after 6 hrs
    Antiinflammatory activity in human PBMC assessed as inhibition of PHA-induced IL-6 production after 6 hrs
    [PMID: 23199485]
    PBMC EC50
    0.088 μM
    Compound: 1
    Antiinflammatory activity in human PBMC assessed as inhibition of PHA-induced IL-8 production after 6 hrs
    Antiinflammatory activity in human PBMC assessed as inhibition of PHA-induced IL-8 production after 6 hrs
    [PMID: 23199485]
    PBMC EC50
    0.13 μM
    Compound: 1
    Antiinflammatory activity in human PBMC assessed as inhibition of PHA-induced MIP1alpha production after 6 hrs
    Antiinflammatory activity in human PBMC assessed as inhibition of PHA-induced MIP1alpha production after 6 hrs
    [PMID: 23199485]
    PBMC IC50
    3.6 nM
    Compound: Dexamethasone
    Inhibition of TNF-alpha production in LPS-stimulated human PBMC measured after 24 hrs by ELISA
    Inhibition of TNF-alpha production in LPS-stimulated human PBMC measured after 24 hrs by ELISA
    [PMID: 35870364]
    Peritoneal macrophage IC50
    0.15 μM
    Compound: Dexamethasone
    Anti-inflammatory activity in mouse peritoneal macrophages assessed as inhibition of LPS-induced NO production incubated for 22 hrs by Griess reagent based colorimetric assay
    Anti-inflammatory activity in mouse peritoneal macrophages assessed as inhibition of LPS-induced NO production incubated for 22 hrs by Griess reagent based colorimetric assay
    [PMID: 31358465]
    R1 IC50
    5 nM
    Compound: Dexamethasone
    Inhibition of glucocorticoid receptor-glucocorticoid complex transfected in rat R1 cells assessed as down-regulation of TPA-responsive element proinflammatory gene expression at 10 uM after 24 hrs by beta-galactosidase assay
    Inhibition of glucocorticoid receptor-glucocorticoid complex transfected in rat R1 cells assessed as down-regulation of TPA-responsive element proinflammatory gene expression at 10 uM after 24 hrs by beta-galactosidase assay
    [PMID: 18412397]
    RAW IC50
    20 nM
    Compound: DXM
    Inhibition of interferon gamma-stimulated NO production in RAW 264.7 cells after 24 hrs
    Inhibition of interferon gamma-stimulated NO production in RAW 264.7 cells after 24 hrs
    [PMID: 17367124]
    RAW264.7 IC50
    > 25 μg/mL
    Compound: Dexamethasone
    Cytotoxicity against mouse RAW264.7 cells after 2 days by MTT assay
    Cytotoxicity against mouse RAW264.7 cells after 2 days by MTT assay
    [PMID: 15165136]
    RAW264.7 CC50
    > 50 μM
    Compound: Dexamethasone
    Cytotoxicity against mouse RAW264.7 cells assessed as reduction in cell viability after 24 hrs by CCK8 assay
    Cytotoxicity against mouse RAW264.7 cells assessed as reduction in cell viability after 24 hrs by CCK8 assay
    [PMID: 30528697]
    RAW264.7 IC50
    > 50 μM
    Compound: Dex
    Cytotoxicity against LPS-induced mouse RAW 264.7 cells assessed as cell viability measured by MTT assay
    Cytotoxicity against LPS-induced mouse RAW 264.7 cells assessed as cell viability measured by MTT assay
    [PMID: 33515864]
    RAW264.7 IC50
    > 50 μM
    Compound: Dex
    Cytotoxicity against mouse RAW 264.7 cells assessed as cell viability by MTT assay
    Cytotoxicity against mouse RAW 264.7 cells assessed as cell viability by MTT assay
    [PMID: 33515864]
    RAW264.7 IC50
    0.01 μM
    Compound: Dexamethasone
    Antiinflammatory activity in mouse RAW264.7 cells assessed as inhibition of LPS-induced nitirc oxide production preincubated for 1 hr followed by LPS-stimulation and measured after 18 hrs by Griess assay
    Antiinflammatory activity in mouse RAW264.7 cells assessed as inhibition of LPS-induced nitirc oxide production preincubated for 1 hr followed by LPS-stimulation and measured after 18 hrs by Griess assay
    [PMID: 31301930]
    RAW264.7 IC50
    0.01 μM
    Compound: Dexamethasone
    Anti-inflammatory activity in mouse RAW264.7 cells assessed as inhibition of LPS-induced nitric oxide production preincubated for 30 mins followed by LPS-stimulation and measured after 24 hrs by Griess assay
    Anti-inflammatory activity in mouse RAW264.7 cells assessed as inhibition of LPS-induced nitric oxide production preincubated for 30 mins followed by LPS-stimulation and measured after 24 hrs by Griess assay
    [PMID: 30931559]
    RAW264.7 IC50
    0.01 μM
    Compound: Dexsamethasone
    Antiinflammatory activity in mouse RAW264.7 cells assessed as inhibition of LPS-induced TNF-alpha secretion after 18 hrs
    Antiinflammatory activity in mouse RAW264.7 cells assessed as inhibition of LPS-induced TNF-alpha secretion after 18 hrs
    [PMID: 21353543]
    RAW264.7 IC50
    0.016 μg/mL
    Compound: Dexamethasone
    Inhibition of LPS-induced TNF-alpha release in mouse RAW264.7 cells compound preincubated for 1 hr before LPS treatment measured after 6 to 12 hrs by sandwich immunoassay
    Inhibition of LPS-induced TNF-alpha release in mouse RAW264.7 cells compound preincubated for 1 hr before LPS treatment measured after 6 to 12 hrs by sandwich immunoassay
    [PMID: 25113933]
    RAW264.7 IC50
    0.04 μM
    Compound: DEXA
    Inhibition of TNFalpha production in mouse RAW264.7 cells incubated for 6 hrs by sandwich immunoassay
    Inhibition of TNFalpha production in mouse RAW264.7 cells incubated for 6 hrs by sandwich immunoassay
    [PMID: 25824662]
    RAW264.7 IC50
    0.13 μM
    Compound: Dexamethasone
    Anti-inflammatory activity in mouse RAW264.7 cells assessed as inhibition of LPS-induced NO production preincubated for 1 hr followed by LPS-stimulation and measured after 18 hrs by Griess reagent-based assay
    Anti-inflammatory activity in mouse RAW264.7 cells assessed as inhibition of LPS-induced NO production preincubated for 1 hr followed by LPS-stimulation and measured after 18 hrs by Griess reagent-based assay
    [PMID: 30808589]
    RAW264.7 IC50
    0.47 μM
    Compound: Hexadecadrol
    Antiinflammatory activity in mouse RAW264.7 cells assessed as inhibition of LPS-stimulated nitric oxide production pretreated for 2 hrs before LPS challenge measured after 18 hrs by Griess method
    Antiinflammatory activity in mouse RAW264.7 cells assessed as inhibition of LPS-stimulated nitric oxide production pretreated for 2 hrs before LPS challenge measured after 18 hrs by Griess method
    [PMID: 22372956]
    RAW264.7 IC50
    0.58 μM
    Compound: Dex
    Antiinflammatory activity in mouse RAW264.7 cells assessed as inhibition of LPS-induced NO production preincubated for 3 hrs followed by LPS-stimulation and measured after 24 hrs by Griess reagent based assay
    Antiinflammatory activity in mouse RAW264.7 cells assessed as inhibition of LPS-induced NO production preincubated for 3 hrs followed by LPS-stimulation and measured after 24 hrs by Griess reagent based assay
    [PMID: 34333975]
    RAW264.7 IC50
    0.62 μM
    Compound: Dexamethasone
    Anti-inflammatory activity in mouse RAW264.7 cells assessed as inhibition of LPS-induced NO production measured after 24 hrs
    Anti-inflammatory activity in mouse RAW264.7 cells assessed as inhibition of LPS-induced NO production measured after 24 hrs
    [PMID: 32485533]
    RAW264.7 IC50
    0.63 μM
    Compound: dexamethasone
    Antiinflammatory activity in mouse RAW264.7 cells assessed as inhibition of LPS-induced nitric oxide production after 24 hrs by Griess assay
    Antiinflammatory activity in mouse RAW264.7 cells assessed as inhibition of LPS-induced nitric oxide production after 24 hrs by Griess assay
    [PMID: 26087384]
    RAW264.7 IC50
    0.63 μM
    Compound: DXM
    Antiinflammatory activity in mouse RAW264.7 cells assessed as inhibition of LPS-induced nitric oxide production after 24 hrs in presence of LPS by Griess assay
    Antiinflammatory activity in mouse RAW264.7 cells assessed as inhibition of LPS-induced nitric oxide production after 24 hrs in presence of LPS by Griess assay
    [PMID: 27825545]
    RAW264.7 IC50
    0.7 μM
    Compound: dexamethasone
    Antiinflammatory activity in LPS-stimulated mouse RAW264.7 cells assessed as effect on TNFalpha formation pretreated 1 hr before LPS challenge measured after 24 hrs
    Antiinflammatory activity in LPS-stimulated mouse RAW264.7 cells assessed as effect on TNFalpha formation pretreated 1 hr before LPS challenge measured after 24 hrs
    [PMID: 11908984]
    RAW264.7 IC50
    0.8 μM
    Compound: dexamethasone
    Inhibition of LPS-induced nitric oxide production in mouse RAW264.7 cells after 24 hrs by Griess assay
    Inhibition of LPS-induced nitric oxide production in mouse RAW264.7 cells after 24 hrs by Griess assay
    [PMID: 26305406]
    RAW264.7 IC50
    0.8 μM
    Compound: Dexamethasone
    Inhibition of LPS-induced nitric oxide production in mouse RAW264.7 cells after 24 hrs by Griess assay relative to vehicle-treated control
    Inhibition of LPS-induced nitric oxide production in mouse RAW264.7 cells after 24 hrs by Griess assay relative to vehicle-treated control
    [PMID: 25499882]
    RAW264.7 IC50
    0.8 μM
    Compound: Dexsamethasone
    Antiinflammatory activity in mouse RAW264.7 cells assessed as inhibition of LPS-induced nitric oxide production after 24 hrs by Griess method
    Antiinflammatory activity in mouse RAW264.7 cells assessed as inhibition of LPS-induced nitric oxide production after 24 hrs by Griess method
    [PMID: 21353543]
    RAW264.7 IC50
    0.8 μM
    Compound: Dexamethasone
    Antiinflammatory activity in mouse RAW264.7 cells assessed as inhibition of LPS-induced nitric oxide production by griess assay
    Antiinflammatory activity in mouse RAW264.7 cells assessed as inhibition of LPS-induced nitric oxide production by griess assay
    [PMID: 29272126]
    RAW264.7 IC50
    0.86 μM
    Compound: Dexamethasone
    Antiinflammatory activity in mouse RAW264.7 cells assessed as inhibition of LPS-induced nitric oxide production treated 2 hrs before LPS challenge measured after 18 hrs by griess reaction
    Antiinflammatory activity in mouse RAW264.7 cells assessed as inhibition of LPS-induced nitric oxide production treated 2 hrs before LPS challenge measured after 18 hrs by griess reaction
    [PMID: 21288727]
    RAW264.7 IC50
    0.98 μM
    Compound: Dexamethasone
    Antiinflammatory activity in mouse RAW264.7 cells assessed as inhibition of LPS-induced nitric oxide production pretreated for 2 hrs before LPS challenge measured after 18 hrs by Griess method
    Antiinflammatory activity in mouse RAW264.7 cells assessed as inhibition of LPS-induced nitric oxide production pretreated for 2 hrs before LPS challenge measured after 18 hrs by Griess method
    [PMID: 22537362]
    RAW264.7 IC50
    1.2 μM
    Compound: DEX
    Anti-inflammatory activity in mouse RAW264.7 cells assessed as reduction in LPS-induced TNF-alpha production after 48 hrs by ELISA
    Anti-inflammatory activity in mouse RAW264.7 cells assessed as reduction in LPS-induced TNF-alpha production after 48 hrs by ELISA
    [PMID: 30579802]
    RAW264.7 IC50
    1.43 μM
    Compound: dexamethasone
    Antiinflammatory activity in mouse RAW264.7 cells assessed as inhibition of LPS-induced NO production incubated for 2 hrs prior to LPS-challenge measured after 24 hrs by Griess method
    Antiinflammatory activity in mouse RAW264.7 cells assessed as inhibition of LPS-induced NO production incubated for 2 hrs prior to LPS-challenge measured after 24 hrs by Griess method
    [PMID: 23373965]
    RAW264.7 IC50
    1.84 μg/mL
    Compound: Dexamethasone
    Inhibition of LPS-induced IL1-beta release in mouse RAW264.7 cells compound preincubated for 1 hr before LPS treatment measured after 6 to 12 hrs by sandwich immunoassay
    Inhibition of LPS-induced IL1-beta release in mouse RAW264.7 cells compound preincubated for 1 hr before LPS treatment measured after 6 to 12 hrs by sandwich immunoassay
    [PMID: 25113933]
    RAW264.7 IC50
    10.7 μM
    Compound: Dexamethasone
    Inhibition of LPS-induced nitric oxide production in mouse RAW264.7 cells after 24 hrs by Griess assay
    Inhibition of LPS-induced nitric oxide production in mouse RAW264.7 cells after 24 hrs by Griess assay
    [PMID: 29518326]
    RAW264.7 IC50
    14.75 μM
    Compound: Dexamethasone
    Antiinflammatory activity against mouse RAW264.7 cells assessed as inhibition of LPS-induced NO production measured after 24 hrs by Griess assay
    Antiinflammatory activity against mouse RAW264.7 cells assessed as inhibition of LPS-induced NO production measured after 24 hrs by Griess assay
    [PMID: 33933753]
    RAW264.7 IC50
    159.2 μM
    Compound: Dexamethasone
    Cytotoxicity against mouse RAW264.7 cells assessed as inhibition of cell viability preincubated for 1 hr followed by LPS stimulation measured after 24 hrs by WST-1 assay
    Cytotoxicity against mouse RAW264.7 cells assessed as inhibition of cell viability preincubated for 1 hr followed by LPS stimulation measured after 24 hrs by WST-1 assay
    [PMID: 31260892]
    RAW264.7 IC50
    159.2 μM
    Compound: Dexamethasone
    Cytotoxicity against mouse RAW264.7 by WST-1 vital dye reagent method
    Cytotoxicity against mouse RAW264.7 by WST-1 vital dye reagent method
    [PMID: 35567964]
    RAW264.7 IC50
    18.4 μM
    Compound: Dexamethasone
    Antiinflammatory activity in mouse RAW264.7 cells assessed as inhibition of LPS-induced nitric oxide production preincubated for 12 hrs followed by LPS-stimulation and measured after 24 hrs by Griess assay
    Antiinflammatory activity in mouse RAW264.7 cells assessed as inhibition of LPS-induced nitric oxide production preincubated for 12 hrs followed by LPS-stimulation and measured after 24 hrs by Griess assay
    [PMID: 31181925]
    RAW264.7 IC50
    2.5 μM
    Compound: Dexamethasone
    Inhibition of LPS-induced NO production in mouse RAW264.7 cells after 24 hrs by Griess assay
    Inhibition of LPS-induced NO production in mouse RAW264.7 cells after 24 hrs by Griess assay
    [PMID: 28598633]
    RAW264.7 IC50
    2.66 μM
    Compound: Dex
    Antiinflammatory activity in mouse RAW264.7 cells assessed as inhibition of LPS-induced NO production pretreated for 2 hrs followed by LPS stimulation measured after 24 hrs by Griess assay
    Antiinflammatory activity in mouse RAW264.7 cells assessed as inhibition of LPS-induced NO production pretreated for 2 hrs followed by LPS stimulation measured after 24 hrs by Griess assay
    [PMID: 30108912]
    RAW264.7 IC50
    20 nM
    Compound: DXM
    Antiinflammatory activity in mouse RAW264.7 cells assessed as inhibition of IFN-gamma induced NO production after 24 hrs by Griess reaction
    Antiinflammatory activity in mouse RAW264.7 cells assessed as inhibition of IFN-gamma induced NO production after 24 hrs by Griess reaction
    [PMID: 21361338]
    RAW264.7 IC50
    22.2 μM
    Compound: Dexamethasone
    Antiinflammatory activity in mouse RAW 264.7 cells assessed as inhibition of LPS-induced nitric oxide production measured after 24 hrs by Griess reagent assay
    Antiinflammatory activity in mouse RAW 264.7 cells assessed as inhibition of LPS-induced nitric oxide production measured after 24 hrs by Griess reagent assay
    [PMID: 35007071]
    RAW264.7 IC50
    24.3 μM
    Compound: Dexamethasone
    Anti-inflammatory activity in mouse RAW264.7 cells assessed as inhibition of LPS-induced NO production preincubated for 2 hrs followed by LPS addition and measured after 18 hrs by Griess reagent-based assay
    Anti-inflammatory activity in mouse RAW264.7 cells assessed as inhibition of LPS-induced NO production preincubated for 2 hrs followed by LPS addition and measured after 18 hrs by Griess reagent-based assay
    [PMID: 32935986]
    RAW264.7 IC50
    32.5 μM
    Compound: DXMS
    Antiinflammatory activity in mouse RAW264.7 cells assessed as inhibition of LPS-induced nitric oxide production preincubated for 1 hr followed by LPS stimulation and measured after 24 hrs by Griess reagent based assay
    Antiinflammatory activity in mouse RAW264.7 cells assessed as inhibition of LPS-induced nitric oxide production preincubated for 1 hr followed by LPS stimulation and measured after 24 hrs by Griess reagent based assay
    [PMID: 32070636]
    RAW264.7 IC50
    355.14 μM
    Compound: dexamethasone
    Anti-inflammatory activity in Mus musculus (mouse) RAW264.7 cells assessed as inhibition of PMA-induced macrophages respiratory burst measured up to 30 min by chemiluminescence method
    Anti-inflammatory activity in Mus musculus (mouse) RAW264.7 cells assessed as inhibition of PMA-induced macrophages respiratory burst measured up to 30 min by chemiluminescence method
    10.1007/s00044-013-0504-9
    RAW264.7 IC50
    36 μg/mL
    Compound: Dexamethasone
    Inhibition of iNOS production in LPS-activated mouse RAW264.7 cells after 20 hrs
    Inhibition of iNOS production in LPS-activated mouse RAW264.7 cells after 20 hrs
    [PMID: 15165136]
    RAW264.7 CC50
    4.4 μM
    Compound: Dexamethasone
    Cytotoxicity in LPS-stimulated mouse RAW264.7 cells assessed as reduction in cell viability incubated for 72 hrs by alamar blue dye based colorimetric assay
    Cytotoxicity in LPS-stimulated mouse RAW264.7 cells assessed as reduction in cell viability incubated for 72 hrs by alamar blue dye based colorimetric assay
    [PMID: 35998343]
    RAW264.7 IC50
    4.7 μM
    Compound: DEXA
    Inhibition of IL-1beta production in mouse RAW264.7 cells incubated for 12 hrs by sandwich immunoassay
    Inhibition of IL-1beta production in mouse RAW264.7 cells incubated for 12 hrs by sandwich immunoassay
    [PMID: 25824662]
    RAW264.7 IC50
    5.02 μM
    Compound: Dexamethasone
    Inhibition of NO release in mouse RAW264.7 incubated for 15 mins by fluoroscence-luminescence reader infinite M200 Pro analysis
    Inhibition of NO release in mouse RAW264.7 incubated for 15 mins by fluoroscence-luminescence reader infinite M200 Pro analysis
    [PMID: 35567964]
    RAW264.7 IC50
    5.02 μM
    Compound: Dexamethasone
    Antiinflammatory activity against LPS-induced mouse RAW264.7 cells assessed as inhibition of NO overproduction preincubated for 1 hr prior to Escherichia coli LPS stimulation followed by further incubation for 24 hrs by Griess reagent based spectrophotome
    Antiinflammatory activity against LPS-induced mouse RAW264.7 cells assessed as inhibition of NO overproduction preincubated for 1 hr prior to Escherichia coli LPS stimulation followed by further incubation for 24 hrs by Griess reagent based spectrophotome
    [PMID: 31260892]
    RAW264.7 IC50
    6 μM
    Compound: Dexamethasone
    Antiinflammatory activity against mouse RAW264.7 cells assessed as inhibition of LPS-induced NO production incubated for 24 hrs by Griess reagent-based assay
    Antiinflammatory activity against mouse RAW264.7 cells assessed as inhibition of LPS-induced NO production incubated for 24 hrs by Griess reagent-based assay
    [PMID: 31577434]
    RAW264.7 IC50
    6.1 μM
    Compound: Dexamethasone
    Antiinflammatory activity against mouse RAW264.7 cells assessed as inhibition of LPS-induced TNF-alpha secretion after 24 hrs by ELISA
    Antiinflammatory activity against mouse RAW264.7 cells assessed as inhibition of LPS-induced TNF-alpha secretion after 24 hrs by ELISA
    [PMID: 31577434]
    RAW264.7 IC50
    6.9 μM
    Compound: Dexamethasone
    Antiinflammatory activity in mouse RAW264.7 cells assessed as inhibition of LPS-induced NO production incubated for 24 hrs in presence of LPS by Griess reagent-based assay
    Antiinflammatory activity in mouse RAW264.7 cells assessed as inhibition of LPS-induced NO production incubated for 24 hrs in presence of LPS by Griess reagent-based assay
    [PMID: 33914536]
    RAW264.7 IC50
    7 μM
    Compound: Dexamethasone
    Antiinflammatory activity in mouse RAW264.7 cells assessed as reduction in LPS-induced NO production pretreated for 30 mins followed by LPS stimulation for 24 hrs by Griess assay
    Antiinflammatory activity in mouse RAW264.7 cells assessed as reduction in LPS-induced NO production pretreated for 30 mins followed by LPS stimulation for 24 hrs by Griess assay
    [PMID: 28499733]
    RAW264.7 IC50
    7.9 μM
    Compound: Dexamethasone
    Antiinflammatory activity against mouse RAW264.7 cells assessed as inhibition of LPS-induced NO production preincubated for 3 hrs followed by LPS stimulation and measured after 24 hrs by Griess reagent based assay
    Antiinflammatory activity against mouse RAW264.7 cells assessed as inhibition of LPS-induced NO production preincubated for 3 hrs followed by LPS stimulation and measured after 24 hrs by Griess reagent based assay
    [PMID: 35063896]
    RAW264.7 IC50
    7.9 μM
    Compound: Dexamethasone
    Anti-inflammatory activity in mouse RAW264.7 cells assessed as inhibition of LPS-induced nitric oxide production preincubated for 3 hrs followed by LPS-stimulation and measured after 24 hrs by Griess assay
    Anti-inflammatory activity in mouse RAW264.7 cells assessed as inhibition of LPS-induced nitric oxide production preincubated for 3 hrs followed by LPS-stimulation and measured after 24 hrs by Griess assay
    [PMID: 30817151]
    RAW264.7 IC50
    7.9 μM
    Compound: Dexamethasone
    Anti-inflammatory activity in mouse RAW264.7 cells assessed as inhibition of LPS-induced NO production incubated for 3 hrs followed by LPS addition and measured after 24 hrs
    Anti-inflammatory activity in mouse RAW264.7 cells assessed as inhibition of LPS-induced NO production incubated for 3 hrs followed by LPS addition and measured after 24 hrs
    [PMID: 37002536]
    RAW264.7 IC50
    8.28 μM
    Compound: Dexamethasone
    Anti-inflammatory activity in mouse RAW264.7 cells assessed as inhibition of LPS-induced NO production after 24 hrs by Griess reagent-based assay
    Anti-inflammatory activity in mouse RAW264.7 cells assessed as inhibition of LPS-induced NO production after 24 hrs by Griess reagent-based assay
    [PMID: 33667092]
    RAW264.7 IC50
    8.4 μM
    Compound: Dexamethasone
    Antiinflammatory activity against mouse RAW264.7 cells assessed as inhibition of LPS-induced IL-6 secretion after 24 hrs by ELISA
    Antiinflammatory activity against mouse RAW264.7 cells assessed as inhibition of LPS-induced IL-6 secretion after 24 hrs by ELISA
    [PMID: 31577434]
    RAW264.7 IC50
    8.7 μM
    Compound: Dexamethasone
    Antiinflammatory activity in mouse RAW264.7 cells assessed as inhibition of LPS-induced TNFalpha production pretreated for 30 mins followed by LPS stimulation for 24 hrs by ELISA
    Antiinflammatory activity in mouse RAW264.7 cells assessed as inhibition of LPS-induced TNFalpha production pretreated for 30 mins followed by LPS stimulation for 24 hrs by ELISA
    [PMID: 30528697]
    RAW264.7 IC50
    8.71 μM
    Compound: Dex
    Inhibition of LPS-induced NO release in mouse RAW264.7 cells preincubated for 1 hrs followed by LPS stimulation and measured after 24 hrs by Griess reagent based assay
    Inhibition of LPS-induced NO release in mouse RAW264.7 cells preincubated for 1 hrs followed by LPS stimulation and measured after 24 hrs by Griess reagent based assay
    [PMID: 33515864]
    RAW264.7 IC50
    9.4 μM
    Compound: DEX
    Anti-inflammatory activity in mouse RAW264.7 cells assessed as reduction in LPS-induced IL-6 production after 48 hrs by ELISA
    Anti-inflammatory activity in mouse RAW264.7 cells assessed as reduction in LPS-induced IL-6 production after 48 hrs by ELISA
    [PMID: 30579802]
    REH EC50
    6.7 nM
    Compound: Dexamethasone
    Cytotoxicity against human REH cells overexpressing GR assessed as reduction in cell viability measured after 3 days by resazurin based assay
    Cytotoxicity against human REH cells overexpressing GR assessed as reduction in cell viability measured after 3 days by resazurin based assay
    [PMID: 34046609]
    RPMI-8226 IC50
    6.5 nM
    Compound: dexamethasone
    Antiproliferative activity against human RPMI8226 cells after 4 days
    Antiproliferative activity against human RPMI8226 cells after 4 days
    [PMID: 17705362]
    Splenocyte IC50
    0.001 μM
    Compound: Dexa
    Immunomodulatory activity in BALB/c mouse splenocytes assessed as inhibition of concanavalin A-induced lymphocyte proliferation by measuring [3H]-thymidine uptake after 48 to 72 hrs by scintillation counting analysis
    Immunomodulatory activity in BALB/c mouse splenocytes assessed as inhibition of concanavalin A-induced lymphocyte proliferation by measuring [3H]-thymidine uptake after 48 to 72 hrs by scintillation counting analysis
    [PMID: 29523468]
    SW1353 IC50
    1.8 nM
    Compound: DEX
    Transrepression activity at glucocorticoid receptor in human SW1353 cells assessed as repression of IL-1-induced MMP-13 production after 24 hrs by ELISA
    Transrepression activity at glucocorticoid receptor in human SW1353 cells assessed as repression of IL-1-induced MMP-13 production after 24 hrs by ELISA
    [PMID: 25706100]
    T-cell IC50
    0.005 μM
    Compound: Dexamethasone
    Inhibitory concentration against T cell proliferation using concanavalin A stimulated mice spleen cells
    Inhibitory concentration against T cell proliferation using concanavalin A stimulated mice spleen cells
    [PMID: 11229767]
    T-cell IC50
    1.6 μM
    Compound: Dexamethasone
    Immunosuppressive activity against BALB/C mouse T lymphocytes assessed as reduction in concanavalin A-induced cell proliferation by measuring [3H]-thymidine uptake incubated for 8 hrs by Beta scintillation counting method
    Immunosuppressive activity against BALB/C mouse T lymphocytes assessed as reduction in concanavalin A-induced cell proliferation by measuring [3H]-thymidine uptake incubated for 8 hrs by Beta scintillation counting method
    [PMID: 31961677]
    THP-1 IC50
    0.007 μM
    Compound: dexamethasone
    Antiinflammatory activity in human THP1 cells assessed as inhibition of LPS-induced IL6 by ELISA
    Antiinflammatory activity in human THP1 cells assessed as inhibition of LPS-induced IL6 by ELISA
    [PMID: 18625560]
    THP-1 IC50
    0.05 μM
    Compound: dexamethasone
    Antiinflammatory activity in human THP1 cells assessed as inhibition of LPS-induced TNFalpha by ELISA
    Antiinflammatory activity in human THP1 cells assessed as inhibition of LPS-induced TNFalpha by ELISA
    [PMID: 18625560]
    体外研究
    (In Vitro)

    Dexamethasone (Hexadecadrol) 调节多种转录因子,包括激活蛋白-1、核因子-AT 和核因子-kB,从而激活和抑制参与炎症反应的关键基因[1]
    Dexamethasone 有效抑制 A549 细胞释放粒细胞-巨噬细胞集落刺激因子 (GM-CSF),EC50 为 2.2 nM。Dexamethasone (EC50=36 nM) 诱导 β2 受体的转录被发现与糖皮质激素受体 (GR) DNA 结合相关,发生率高 10-100 倍浓度高于抑制 GM-CSF 释放。Dexamethasone (IC50=0.5 nM) 抑制 3×κB (NF-κB、IκBα 和 I-κBβ),这与抑制 GM-CSF 释放有关[2]

    MCE has not independently confirmed the accuracy of these methods. They are for reference only.

    体内研究
    (In Vivo)

    注意
    请勿仅参考一篇文章来确定实验条件。建议在正式实验前,通过预实验确定最佳实验条件 (动物品系、年龄、剂量、频率及周期、检测时间及指标等)。

    根据 Dexamethasone (DEX) 的血液和多组织浓度-时间曲线,发现其组织分布没有重大性别差异。血细胞与血浆分配 (0.664) 和血浆游离分数 (0.175) 中等,广泛分布在肝脏中 (Kp=6.76)。可能是由于 P-糖蛋白介导的外流,与预期的高渗透性相比,大脑中 DEX 的浓度非常低[5]
    Dexamethasone (DEX) 可用于动物建模,构建肌肉萎缩、高血压和抑郁模型。
    1. 诱导肌肉萎缩[6][7]
    致病原理
    糖皮质激素是骨骼肌蛋白降解和上调泛素蛋白酶体途径的重要介质。Dexamethasone 通过结合糖皮质激素受体诱导胫骨前肌蛋白降解,导致肌肉萎缩。
    具体造模方法:
    Mice: C57BL/6 • male • 6-week-old
    Administration: 5 mg/kg • ip • once daily for 2 weeks
    造模成功指标
    分子变化:指标增加项--C2C12 泛素连接酶、MuRF1、Atrogin-1、Cbl-b、p-Foxo1、p-Foxo3a。其他--导致 C 肌管蛋白降解。糖皮质激素受体易位至细胞核。
    表型观测:前肌、腓肠肌、股四头肌和比目鱼肌测重减少。骨骼肌与体重的比值下降。
    同类产品 Betamethasone (HY-13570)
    拮抗产品 Glabridin (HY-N0393)
    2. 诱导高血压[8][9]
    致病原理
    诱发高血压 (HT) 的潜在机制尚不清楚。
    具体造模方法:
    Rat: Sprague-Dawley • Male • 200-300 g
    Administration: 20 μg • sc • once daily from days 5 to 16 • control rats: saline with 0.1 mL/100 g/day from days 1 to 16 (po) or 0.2 mL/rat/day (sc).
    Dog: 10.1-19.1 kg • average=13.7 kg
    Administration: 0.5 mg/kg • po • once daily for 10 days
    造模成功指标
    血流动力学:中枢血流动力学中 MAP、收缩压、舒张压、TPR 水平升高。总外周阻力、血压、心房钠尿肽以及对去甲肾上腺素的升压反应在全身和肾脏血流动力学中显着增加。
    行为观测:犬表现出明显的排钠利尿作用。
    3. 诱导抑郁行为[10][11]
    致病原理
    星形胶质细胞是重度抑郁症 (MD) 的一个关键特征,糖皮质激素表达减少会导致星形胶质细胞数量减少。 长期使用 Dexamethasone 处理会导致啮齿类动物出现一系列类似抑郁症的症状。
    具体造模方法:
    Rat: Sprague-Dawley • Male • 200-250 g
    Administration: 1 mg/kg • po • once daily every other day for 5 months
    Note
    (1) 制备 3% (w/v) 处理溶液,并通过 0.45 μm 醋酸纤维素过滤器过滤。
    (2) 开始处理前 4 天,老鼠不应该接触除此之外的任何其他水源。
    (3) 第 4 天,将处理液换成水,喂食 3 天,使小鼠暂时恢复。第 7 天称重并进行行为实验。
    Mice: C57BL/6 • Male • 9-10 weeks old • 23-25 g
    Administration: 4 mg/kg • ip • once dailly for 21 days
    造模成功指标
    代谢变化:大鼠血清皮质醇水平 ↑。
    行为观测:强迫游泳测试(FST)期间的不动时间 ↑。蔗糖偏好测试中对蔗糖的偏好 ↓。
    拮抗产品 Amitriptyline (HY-B0527)

    MCE has not independently confirmed the accuracy of these methods. They are for reference only.

    Clinical Trial
    分子量

    392.46

    Formula

    C22H29FO5

    CAS 号
    性状

    固体

    颜色

    White to off-white

    中文名称

    地塞米松

    运输条件

    Room temperature in continental US; may vary elsewhere.

    储存方式

    4°C, protect from light

    *In solvent : -80°C, 1 year; -20°C, 6 months (protect from light)

    溶解性数据
    细胞实验: 

    DMSO 中的溶解度 : 100 mg/mL (254.80 mM; 超声助溶; 吸湿的 DMSO 对产品的溶解度有显著影响,请使用新开封的 DMSO)

    Ethanol 中的溶解度 : 8.33 mg/mL (21.23 mM; 超声助溶)

    配制储备液
    浓度 溶剂体积 质量 1 mg 5 mg 10 mg
    1 mM 2.5480 mL 12.7402 mL 25.4803 mL
    5 mM 0.5096 mL 2.5480 mL 5.0961 mL
    查看完整储备液配制表

    * 请根据产品在不同溶剂中的溶解度选择合适的溶剂配制储备液;一旦配成溶液,请分装保存,避免反复冻融造成的产品失效
    储备液的保存方式和期限:-80°C, 1 year; -20°C, 6 months (protect from light)。-80°C储存时,请在1年内使用, -20°C储存时,请在6个月内使用。

    • 摩尔计算器

    • 稀释计算器

    Mass (g) = Concentration (mol/L) × Volume (L) × Molecular Weight (g/mol)

    质量
    =
    浓度
    ×
    体积
    ×
    分子量 *

    Concentration (start) × Volume (start) = Concentration (final) × Volume (final)

    This equation is commonly abbreviated as: C1V1 = C2V2

    浓度 (start)

    C1

    ×
    体积 (start)

    V1

    =
    浓度 (final)

    C2

    ×
    体积 (final)

    V2

    动物实验:

    请根据您的 实验动物和给药方式 选择适当的溶解方案。

    以下溶解方案都请先按照 In Vitro 方式配制澄清的储备液,再依次添加助溶剂:
    ——为保证实验结果的可靠性,澄清的储备液可以根据储存条件,适当保存;体内实验的工作液,建议您现用现配,当天使用
    以下溶剂前显示的百分比是指该溶剂在您配制终溶液中的体积占比;如在配制过程中出现沉淀、析出现象,可以通过加热和/或超声的方式助溶

    • 方案 一

      请依序添加每种溶剂: 5% DMSO    95% (20% SBE-β-CD in Saline)

      Solubility: ≥ 2.5 mg/mL (6.37 mM); 澄清溶液

    • 方案 二

      请依序添加每种溶剂: 10% DMSO    40% PEG300    5% Tween-80    45% Saline

      Solubility: ≥ 2.08 mg/mL (5.30 mM); 澄清溶液

      此方案可获得 ≥ 2.08 mg/mL(饱和度未知)的澄清溶液。

      1 mL 工作液为例,取 100 μL 20.8 mg/mL 的澄清 DMSO 储备液加到 400 μL PEG300 中,混合均匀;再向上述体系中加入 50 μL Tween-80,混合均匀;然后再继续加入 450 μL 生理盐水 定容至 1 mL

      生理盐水的配制:将 0.9 g 氯化钠,溶解于 ddH₂O 并定容至 100 mL,可以得到澄清透明的生理盐水溶液。

    以下溶解方案,请直接配制工作液。建议现用现配,在短期内尽快用完。 以下溶剂前显示的百分比是指该溶剂在您配制终溶液中的体积占比; 如在配制过程中出现沉淀、析出现象,可以通过加热和/或超声的方式助溶。

    • 方案 一

      请依序添加每种溶剂: 0.5% CMC-Na/saline water

      Solubility: 18.18 mg/mL (46.32 mM); 悬浊液; 超声助溶

    动物溶解方案计算器
    请输入动物实验的基本信息:

    给药剂量

    mg/kg

    动物的平均体重

    g

    每只动物的给药体积

    μL

    动物数量

    由于实验过程有损耗,建议您多配一只动物的量
    请输入您的动物体内配方组成:
    %
    DMSO +
    +
    %
    Tween-80 +
    %
    Saline
    如果您的动物是免疫缺陷鼠或者体弱鼠,建议 DMSO 中的在最后工作液体系中的占比尽量不超过 2%。
    方案所需 助溶剂 包括:DMSO ,均可在 MCE 网站选购。 Tween 80,均可在 MCE 网站选购。
    计算结果
    工作液所需浓度 : mg/mL
    储备液配制方法 : mg 药物溶于 μL  DMSO(母液浓度为 mg/mL)。

    *In solvent : -80°C, 1 year; -20°C, 6 months (protect from light)

    您所需的储备液浓度超过该产品的实测溶解度,以下方案仅供参考,如有需要,请与 MCE 中国技术支持联系。
    动物实验体内工作液的配制方法 : 取 μL DMSO 储备液,加入 μL  μL ,混合均匀至澄清,再加 μL Tween 80,混合均匀至澄清,再加 μL 生理盐水
    连续给药周期超过半月以上,请谨慎选择该方案。
    请确保第一步储备液溶解至澄清状态,从左到右依次添加助溶剂。您可采用超声加热 (超声清洗仪,建议频次 20-40 kHz),涡旋吹打等方式辅助溶解。
    纯度 & 产品资料

    纯度: 99.86%

    参考文献
    Animal Administration
    [3][4]

    Mice[3]
    Female C57Bl/6JBom mice (age 10-12 weeks) are used in all experiments. Dexamethasone is administered as a single injection of 1 or 10 mg/kg. In one experiment, N-acetylcysteine (NAC) (100 and 500 mg/kg) is injected successively every 4•5 h, starting 1 h before challenge (five injections in total). Intratracheal administration is performed by instillation of 100 μL NAC (50, 100 or 500 mg/kg) or Dexamethasone (10 mg/kg) into the lungs of mice.
    Rats[4]
    Male Sprague-Dawley rats are used.Dexamethasone-treated rats are injected intraperitoneally once daily with Dexamethasone (1.5 mg/kg body weight) for 5 days and are allowed to feed ad libitum. The Dexamethasone dose (1.5 mg/kg/day) and the duration of treatment (5 days) are specifically chosen as this treatment induced a reproducible and marked catabolic state. Control rats received no treatment and are fed ad libitum. In order to take into account the decrease in food intake induced by Dexamethasone treatment, a third group of pair-fed rats are used.

    MCE has not independently confirmed the accuracy of these methods. They are for reference only.

    参考文献

    完整储备液配制表

    * 请根据产品在不同溶剂中的溶解度选择合适的溶剂配制储备液;一旦配成溶液,请分装保存,避免反复冻融造成的产品失效
    储备液的保存方式和期限:-80°C, 1 year; -20°C, 6 months (protect from light)。-80°C储存时,请在1年内使用, -20°C储存时,请在6个月内使用。

    可选溶剂 浓度 溶剂体积 质量 1 mg 5 mg 10 mg 25 mg
    Ethanol / DMSO 1 mM 2.5480 mL 12.7402 mL 25.4803 mL 63.7008 mL
    5 mM 0.5096 mL 2.5480 mL 5.0961 mL 12.7402 mL
    10 mM 0.2548 mL 1.2740 mL 2.5480 mL 6.3701 mL
    15 mM 0.1699 mL 0.8493 mL 1.6987 mL 4.2467 mL
    20 mM 0.1274 mL 0.6370 mL 1.2740 mL 3.1850 mL
    DMSO 25 mM 0.1019 mL 0.5096 mL 1.0192 mL 2.5480 mL
    30 mM 0.0849 mL 0.4247 mL 0.8493 mL 2.1234 mL
    40 mM 0.0637 mL 0.3185 mL 0.6370 mL 1.5925 mL
    50 mM 0.0510 mL 0.2548 mL 0.5096 mL 1.2740 mL
    60 mM 0.0425 mL 0.2123 mL 0.4247 mL 1.0617 mL
    80 mM 0.0319 mL 0.1593 mL 0.3185 mL 0.7963 mL
    100 mM 0.0255 mL 0.1274 mL 0.2548 mL 0.6370 mL
    Help & FAQs
    • Do most proteins show cross-species activity?

      Species cross-reactivity must be investigated individually for each product. Many human cytokines will produce a nice response in mouse cell lines, and many mouse proteins will show activity on human cells. Other proteins may have a lower specific activity when used in the opposite species.

    您最近查看的产品:

    Your information is safe with us. * Required Fields.

       产品名称:

     

    * 需求量:

    * 客户姓名:

     

    * Email:

    * 电话:

     

    * 公司或机构名称:

       留言给我们:

    Bulk Inquiry

    Inquiry Information

    产品名称:
    Dexamethasone
    目录号:
    HY-14648
    需求量: