1. Protein Tyrosine Kinase/RTK
  2. FLT3 TAM Receptor
  3. Gilteritinib

Gilteritinib  (Synonyms: 吉瑞替尼; 吉列替尼; ASP2215)

目录号: HY-12432 纯度: 99.84%
COA 产品使用指南 技术支持

Gilteritinib (ASP2215) 是一种有效的 ATP 竞争性的 FLT3/AXL 抑制剂,IC50 分别为 0.29 nM/0.73 nM。

MCE 的所有产品仅用作科学研究或药证申报,我们不为任何个人用途提供产品和服务

我们将采用定制合成服务的方式为您快速提供所需产品和技术服务

Gilteritinib

Gilteritinib Chemical Structure

CAS No. : 1254053-43-4

1.  客户无需承担相应的运输费用。

2.  同一机构(单位)同一产品试用装仅限申领一次,同一机构(单位)一年内

     可免费申领三个不同产品的试用装。

3.  试用装只面向终端客户

规格 价格 是否有货 数量
1 mg ¥533
In-stock
2 mg ¥800
In-stock
5 mg ¥1000
In-stock
10 mg ¥1500
In-stock
25 mg ¥2500
In-stock
50 mg ¥3500
In-stock
100 mg ¥5150
In-stock
200 mg 现货 询价
500 mg 现货 询价
1 g   询价  
5 g   询价  

* Please select Quantity before adding items.

Customer Review

Other Forms of Gilteritinib:

MCE 顾客使用本产品发表的 38 篇科研文献

WB
Proliferation Assay

    Gilteritinib purchased from MCE. Usage Cited in: Cancer Cell Int. 2020 Jun 17;20:250.  [Abstract]

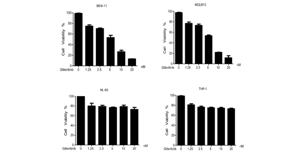
    Proliferation assay demonstrates that FLT3-ITD mutant cells (MV4-11 and MOLM13) are more sensitive to Gilteritinib compared with FLT3-WT cells (THP1 and HL60).

    Gilteritinib purchased from MCE. Usage Cited in: Cancer Cell Int. 2020 Jun 17;20:250.  [Abstract]

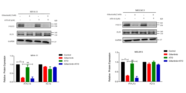
    MV4-11 and MOLM13 cells are treated with Gilteritinib (2.5 nM) and/or ATO (0.5 µM) for 48 h and protein levels of P-FLT3 and FLT3 are determined by Western blot. Gilteritinib exhibits a strong inhibition on the phosphorylated FLT3 even at a low concentration of 2.5 nM, but had little effect on total FLT3 and USP10.

    查看 TAM Receptor 亚型特异性产品:

    • 生物活性

    • 实验参考方法

    • 纯度 & 产品资料

    • 参考文献

    生物活性

    Gilteritinib (ASP2215) is a potent and ATP-competitive FLT3/AXL inhibitor with IC50s of 0.29 nM/0.73 nM, respectively.

    IC50 & Target

    Axl

     

    细胞效力
    (Cellular Effect)
    Cell Line Type Value Description References
    BaF3 IC50
    0.7 nM
    Compound: Gilteritinib
    Antiproliferative activity against mouse BaF3 FLT3-D835 cells assessed as reduction in cell viability measured after 72 hrs by MTS assay
    Antiproliferative activity against mouse BaF3 FLT3-D835 cells assessed as reduction in cell viability measured after 72 hrs by MTS assay
    [PMID: 32659083]
    BaF3 IC50
    1.6 nM
    Compound: Gilteritinib
    Antiproliferative activity against mouse BaF3 FLT3-ITD cells assessed as reduction in cell viability measured after 72 hrs by MTS assay
    Antiproliferative activity against mouse BaF3 FLT3-ITD cells assessed as reduction in cell viability measured after 72 hrs by MTS assay
    [PMID: 32659083]
    BaF3 GI50
    1.6 nM
    Compound: 3e
    Growth inhibition of mouse BaF3 cells transfected with FLT3-D835Y assessed as inhibition of cell growth measured after 48 hrs by MTT assay
    Growth inhibition of mouse BaF3 cells transfected with FLT3-D835Y assessed as inhibition of cell growth measured after 48 hrs by MTT assay
    [PMID: 35923716]
    BaF3 GI50
    1.8 nM
    Compound: 3e
    Growth inhibition of mouse BaF3 cells transfected with FLT3-ITD assessed as inhibition of cell growth measured after 48 hrs by MTT assay
    Growth inhibition of mouse BaF3 cells transfected with FLT3-ITD assessed as inhibition of cell growth measured after 48 hrs by MTT assay
    [PMID: 35923716]
    BaF3 IC50
    1.8 nM
    Compound: 7; ASP2215
    Antiproliferative activity against mouse BaF3 cells expressing FLT3-ITD by cell-titre glo luminescent cell viability assay
    Antiproliferative activity against mouse BaF3 cells expressing FLT3-ITD by cell-titre glo luminescent cell viability assay
    [PMID: 33719439]
    BaF3 GI50
    2 nM
    Compound: ASP-2215
    Antiproliferative activity against mouse Ba/F3 cells harbouring FLT3 D835Y mutant assessed as growth inhibition measured after 72 hrs by CellTiter-Glo assay
    Antiproliferative activity against mouse Ba/F3 cells harbouring FLT3 D835Y mutant assessed as growth inhibition measured after 72 hrs by CellTiter-Glo assay
    [PMID: 34324343]
    BaF3 IC50
    2.1 nM
    Compound: 7; ASP2215
    Antiproliferative activity against mouse BaF3 cells expressing FLT3-ITD-D835Y mutant by cell-titre glo luminescent cell viability assay
    Antiproliferative activity against mouse BaF3 cells expressing FLT3-ITD-D835Y mutant by cell-titre glo luminescent cell viability assay
    [PMID: 33719439]
    BaF3 GI50
    258.6 nM
    Compound: ASP-2215
    Antiproliferative activity against mouse Ba/F3 cells harbouring FLT3 ITD F691I mutant assessed as growth inhibition measured after 72 hrs by CellTiter-Glo assay
    Antiproliferative activity against mouse Ba/F3 cells harbouring FLT3 ITD F691I mutant assessed as growth inhibition measured after 72 hrs by CellTiter-Glo assay
    [PMID: 34324343]
    BaF3 GI50
    5 nM
    Compound: ASP-2215
    Antiproliferative activity against mouse Ba/F3 cells harbouring FLT3 ITD D835Y mutant assessed as growth inhibition measured after 72 hrs by CellTiter-Glo assay
    Antiproliferative activity against mouse Ba/F3 cells harbouring FLT3 ITD D835Y mutant assessed as growth inhibition measured after 72 hrs by CellTiter-Glo assay
    [PMID: 34324343]
    BaF3 IC50
    7.6 nM
    Compound: 1
    Antiproliferative activity against mouse BaF3/TEL-AXL cells incubated for 72 hrs by SRB or CCK8 assay
    Antiproliferative activity against mouse BaF3/TEL-AXL cells incubated for 72 hrs by SRB or CCK8 assay
    [PMID: 33733758]
    BaF3 GI50
    82.8 nM
    Compound: ASP-2215
    Antiproliferative activity against mouse Ba/F3 cells harbouring FLT3 ITD F691L mutant assessed as growth inhibition measured after 72 hrs by CellTiter-Glo assay
    Antiproliferative activity against mouse Ba/F3 cells harbouring FLT3 ITD F691L mutant assessed as growth inhibition measured after 72 hrs by CellTiter-Glo assay
    [PMID: 34324343]
    HepG2 GI50
    2.2 μM
    Compound: 8
    Antiproliferative activity against human HepG2 cells assessed as cell growth inhibition by WST assay
    Antiproliferative activity against human HepG2 cells assessed as cell growth inhibition by WST assay
    [PMID: 32272419]
    K562 GI50
    1.006 μM
    Compound: 8
    Antiproliferative activity against human K562 cells assessed as cell growth inhibition by WST assay
    Antiproliferative activity against human K562 cells assessed as cell growth inhibition by WST assay
    [PMID: 32272419]
    MOLM-14 IC50
    1.8 nM
    Compound: Gilteritinib
    Antiproliferative activity against human MOLM-14 cells expressing FLT3-ITD mutant assessed as inhibition of cell proliferation measured after 72 hrs by celltiter-glo luminescent cell viability assay
    Antiproliferative activity against human MOLM-14 cells expressing FLT3-ITD mutant assessed as inhibition of cell proliferation measured after 72 hrs by celltiter-glo luminescent cell viability assay
    [PMID: 32659083]
    MOLM-14 GI50
    1.91 nM
    Compound: 8
    Antiproliferative activity against human MOLM14 cells harboring ITD/D835Y mutant assessed as cell growth inhibition by MTT assay
    Antiproliferative activity against human MOLM14 cells harboring ITD/D835Y mutant assessed as cell growth inhibition by MTT assay
    [PMID: 32272419]
    MOLM-14 GI50
    3.29 nM
    Compound: 8
    Antiproliferative activity against human MOLM14 cells harboring ITD mutant assessed as cell growth inhibition by MTT assay
    Antiproliferative activity against human MOLM14 cells harboring ITD mutant assessed as cell growth inhibition by MTT assay
    [PMID: 32272419]
    MOLM-14 GI50
    4.94 nM
    Compound: 8
    Antiproliferative activity against wild type human MOLM14 cells assessed as cell growth inhibition by MTT assay
    Antiproliferative activity against wild type human MOLM14 cells assessed as cell growth inhibition by MTT assay
    [PMID: 32272419]
    MOLM-14 GI50
    5.24 nM
    Compound: 8
    Antiproliferative activity against human MOLM14 cells harboring ITD/F691L mutant assessed as cell growth inhibition by MTT assay
    Antiproliferative activity against human MOLM14 cells harboring ITD/F691L mutant assessed as cell growth inhibition by MTT assay
    [PMID: 32272419]
    MV4-11 GI50
    0.0009 μM
    Compound: 8
    Antiproliferative activity against human MV4-11 cells assessed as cell growth inhibition by Celltiter-Glo luminescent assay
    Antiproliferative activity against human MV4-11 cells assessed as cell growth inhibition by Celltiter-Glo luminescent assay
    [PMID: 32272419]
    MV4-11 GI50
    0.002 μM
    Compound: Gilteritinib
    Antiproliferative activity against human MV4-11 cells incubated for 72 hrs by resazurin assay
    Antiproliferative activity against human MV4-11 cells incubated for 72 hrs by resazurin assay
    [PMID: 33516985]
    Vero CC50
    37.16 μM
    Compound: Gilteritinib
    Cell viability measured by CellTiter-Glo assay in Vero cells at MOI 0.05 after 72hr
    Cell viability measured by CellTiter-Glo assay in Vero cells at MOI 0.05 after 72hr
    10.1101/2020.03.20.999730
    Vero IC50
    6.76 μM
    Compound: Gilteritinib
    Antiviral activity against SARS-CoV-2 (viral titer) measured by plaque assay in Vero cells at MOI 0.0125 after 24 hr
    Antiviral activity against SARS-CoV-2 (viral titer) measured by plaque assay in Vero cells at MOI 0.0125 after 24 hr
    10.1101/2020.03.20.999730
    体外研究
    (In Vitro)

    在所测试的 78 种酪氨酸激酶中,Gilteritinib (ASP2215) 在 1 nM 浓度下对 FLT3、白细胞酪氨酸激酶 (LTK)、间变性淋巴瘤激酶 (ALK) 和 AXL 激酶的抑制率超过 50%,对 FLT3 的 IC50 值为 0.29 nM,比 c-KIT 强约 800 倍[1]
    在 1 nM(FLT3、LTK、ALK 和 AXL)或 5 nM(TRKA、ROS、RET 和 MER)浓度下,Gilteritinib 可抑制 78 种测试激酶中 8 种激酶的活性超过 50%。对 FLT3 的 IC50 为 0.29 nM,对 AXL 的 IC50 为 0.73 nM。 Gilteritinib 抑制 FLT3 的 IC50 浓度比抑制 c-KIT 所需的浓度 (230 nM) 大约高 800 倍。针对内源性表达 FLT3-ITD 的 MV4-11 和 MOLM-13 细胞评估了 Gilteritinib 的抗增殖活性。处理 5 天后,Gilteritinib 抑制 MV4-11 和 MOLM-13 细胞的生长,平均 IC50 分别为 0.92 nM(95% CI:0.23-3.6 nM)和 2.9 nM(95% CI:1.4-5.8 nM)。MV4-11 细胞的生长抑制伴随着 FLT3 磷酸化的抑制。相对于载体对照细胞,在用 0.1 nM、1 nM 和 10 nM Gilteritinib 处理 2 小时后,磷酸化 FLT3 的水平分别为 57%、8% 和 1%。此外,低至 0.1 nM 或 1 nM 的剂量会导致磷酸化的 ERK、STAT5 和 AKT 受到抑制,它们都是 FLT3 激活的下游靶标。为了研究 Gilteritinib 对 AXL 抑制的影响,用 Gilteritinib 处理表达外源性 AXL 的 MV4-11 细胞。在浓度为 1 nM、10 nM 和 100 nM 的条件下处理 4 小时,Gilteritinib 处理使磷酸化的 AXL 水平分别降低了 38%、29% 和 22%[2]

    MCE has not independently confirmed the accuracy of these methods. They are for reference only.

    体内研究
    (In Vivo)

    在 MV4-11 异种移植小鼠中,口服 10 mg/kg Gilteritinib 4 天后,肿瘤中 Gilteritinib (ASP2215) 的浓度比血浆中高 20 多倍。Gilteritinib 处理 28 天可剂量依赖性抑制 MV4-11 肿瘤生长,剂量超过 6 mg/kg 时可诱导肿瘤完全消退。此外,Gilteritinib 可降低骨髓中的肿瘤负担,延长静脉移植 MV4-11 细胞的小鼠的存活时间[1]

    MCE has not independently confirmed the accuracy of these methods. They are for reference only.

    Clinical Trial
    分子量

    552.71

    Formula

    C29H44N8O3

    CAS 号
    性状

    固体

    颜色

    Light yellow to yellow

    运输条件

    Room temperature in continental US; may vary elsewhere.

    储存方式

    4°C, stored under nitrogen

    *In solvent : -80°C, 6 months; -20°C, 1 month (stored under nitrogen)

    溶解性数据
    细胞实验: 

    Ethanol 中的溶解度 : 100 mg/mL (180.93 mM; 超声助溶; 酸性条件溶解 (HCl 调节,pH≈2))

    DMSO 中的溶解度 : 2 mg/mL (3.62 mM; 超声助溶; 吸湿的 DMSO 对产品的溶解度有显著影响,请使用新开封的 DMSO)

    配制储备液
    浓度 溶剂体积 质量 1 mg 5 mg 10 mg
    1 mM 1.8093 mL 9.0463 mL 18.0927 mL
    5 mM 0.3619 mL 1.8093 mL 3.6185 mL
    查看完整储备液配制表

    * 请根据产品在不同溶剂中的溶解度选择合适的溶剂配制储备液;一旦配成溶液,请分装保存,避免反复冻融造成的产品失效
    储备液的保存方式和期限:-80°C, 6 months; -20°C, 1 month (stored under nitrogen)。-80°C储存时,请在6个月内使用,-20°C储存时,请在1个月内使用。

    • 摩尔计算器

    • 稀释计算器

    Mass (g) = Concentration (mol/L) × Volume (L) × Molecular Weight (g/mol)

    质量
    =
    浓度
    ×
    体积
    ×
    分子量 *

    Concentration (start) × Volume (start) = Concentration (final) × Volume (final)

    This equation is commonly abbreviated as: C1V1 = C2V2

    浓度 (start)

    C1

    ×
    体积 (start)

    V1

    =
    浓度 (final)

    C2

    ×
    体积 (final)

    V2

    动物实验:

    以下溶解方案,请直接配制工作液。建议现用现配,在短期内尽快用完。 以下溶剂前显示的百分比是指该溶剂在您配制终溶液中的体积占比; 如在配制过程中出现沉淀、析出现象,可以通过加热和/或超声的方式助溶。

    • 方案 一

      请依序添加每种溶剂: 50% PEG300    50% Saline

      Solubility: 10 mg/mL (18.09 mM); 悬浊液; 超声助溶

    动物溶解方案计算器
    请输入动物实验的基本信息:

    给药剂量

    mg/kg

    动物的平均体重

    g

    每只动物的给药体积

    μL

    动物数量

    由于实验过程有损耗,建议您多配一只动物的量
    计算结果
    工作液所需浓度 : mg/mL
    纯度 & 产品资料

    纯度: 99.84%

    参考文献
    Kinase Assay
    [2]

    The kinase inhibitory activity of Gilteritinib is tested against a panel of 78 tested kinases using ATP concentrations that are approximately equal to the Km value for each kinase in a TK-ELISA or off-chip mobility shift assay. Initially, two concentrations of Gilteritinib (1 nM and 5 nM) are tested to assess each compound’s inhibitory effect on TK activity. Further studies are then conducted using a dose range of Gilteritinib to determine IC50 values for kinases in which activity is inhibited by >50% with 1 nM Gilteritinib as well as for c-KIT. TK-ELISA and MSA assays are used to conduct IC50 studies for FLT3, LTK, AXL, and c-KIT; the HTRF KinEASE-TK assay is performed to assess the IC50 value of echinoderm microtubule-associated protein-like 4-ALK (EML4-ALK)[2].

    MCE has not independently confirmed the accuracy of these methods. They are for reference only.

    Cell Assay
    [2]

    The effect of Gilteritinib on MV4-11 and MOLM-13 cells is assessed using the CellTiter-Glo Luminescent Cell Viability Assay. Subsequent studies are conducted to examine the effect of Gilteritinib and Quizartinib on Ba/F3 cells expressing either FLT3-ITD, FLT3-D835Y, FLT3-ITD-D835Y, FLT3-ITD-F691 L, or FLT3-ITD-F691I. MV4-11 and MOLM-13 cells are treated with DMSO or increasing concentrations of Gilteritinib (0.01, 0.1, 1, 10, and 100 nM) for 5 days, and cell viability is measured using CellTiter-Glo[2].

    MCE has not independently confirmed the accuracy of these methods. They are for reference only.

    Animal Administration
    [1]

    Mice[1]
    Antitumor activity is evaluated in nude mice transplanted with MV4-11 AML cells. The pharmacokinetics in xenografted mice is also investigated. MV4-11 xenografted-mice are treated with oral administration of Gilteritinib at 10 mg/kg for 4 days. Treatment of Gilteritinib for 28 days results in dose-dependent inhibition of MV4-11 tumor growth and induces complete tumor regression at more than 6 mg/kg[1].

    MCE has not independently confirmed the accuracy of these methods. They are for reference only.

    参考文献

    完整储备液配制表

    * 请根据产品在不同溶剂中的溶解度选择合适的溶剂配制储备液;一旦配成溶液,请分装保存,避免反复冻融造成的产品失效
    储备液的保存方式和期限:-80°C, 6 months; -20°C, 1 month (stored under nitrogen)。-80°C储存时,请在6个月内使用,-20°C储存时,请在1个月内使用。

    可选溶剂 浓度 溶剂体积 质量 1 mg 5 mg 10 mg 25 mg
    DMSO / Ethanol 1 mM 1.8093 mL 9.0463 mL 18.0927 mL 45.2317 mL
    Ethanol 5 mM 0.3619 mL 1.8093 mL 3.6185 mL 9.0463 mL
    10 mM 0.1809 mL 0.9046 mL 1.8093 mL 4.5232 mL
    15 mM 0.1206 mL 0.6031 mL 1.2062 mL 3.0154 mL
    20 mM 0.0905 mL 0.4523 mL 0.9046 mL 2.2616 mL
    25 mM 0.0724 mL 0.3619 mL 0.7237 mL 1.8093 mL
    30 mM 0.0603 mL 0.3015 mL 0.6031 mL 1.5077 mL
    40 mM 0.0452 mL 0.2262 mL 0.4523 mL 1.1308 mL
    50 mM 0.0362 mL 0.1809 mL 0.3619 mL 0.9046 mL
    60 mM 0.0302 mL 0.1508 mL 0.3015 mL 0.7539 mL
    80 mM 0.0226 mL 0.1131 mL 0.2262 mL 0.5654 mL
    100 mM 0.0181 mL 0.0905 mL 0.1809 mL 0.4523 mL
    Help & FAQs
    • Do most proteins show cross-species activity?

      Species cross-reactivity must be investigated individually for each product. Many human cytokines will produce a nice response in mouse cell lines, and many mouse proteins will show activity on human cells. Other proteins may have a lower specific activity when used in the opposite species.

    您最近查看的产品:

    Your information is safe with us. * Required Fields.

       产品名称:

     

    * 需求量:

    * 客户姓名:

     

    * Email:

    * 电话:

     

    * 公司或机构名称:

       留言给我们:

    Bulk Inquiry

    Inquiry Information

    产品名称:
    Gilteritinib
    目录号:
    HY-12432
    需求量:

    A

    B

    C

    F

    G

    H

    J

    L

    N

    Q

    S

    T

    X

    Y

    Z

    A B C F G H J L N Q S T X Y Z