1. Protein Tyrosine Kinase/RTK Autophagy
  2. Bcr-Abl Autophagy
  3. Nilotinib

Nilotinib  (Synonyms: 尼洛替尼; AMN107)

目录号: HY-10159 纯度: 99.94%
COA 产品使用指南 技术支持

Nilotinib是一种口服可用的具有抗肿瘤活性的 Bcr-Abl 酪氨酸激酶抑制剂。

MCE 的所有产品仅用作科学研究或药证申报,我们不为任何个人用途提供产品和服务

Nilotinib

Nilotinib Chemical Structure

CAS No. : 641571-10-0

1.  客户无需承担相应的运输费用。

2.  同一机构(单位)同一产品试用装仅限申领一次,同一机构(单位)一年内

     可免费申领三个不同产品的试用装。

3.  试用装只面向终端客户

规格 价格 是否有货 数量
10 mM * 1 mL in DMSO ¥385
In-stock
25 mg ¥350
In-stock
50 mg ¥550
In-stock
100 mg ¥850
In-stock
200 mg ¥1234
In-stock
500 mg ¥2413
In-stock
1 g   询价  
5 g   询价  

* Please select Quantity before adding items.

Customer Review

MCE 顾客使用本产品发表的 42 篇科研文献

Proliferation Assay
IHC

    Nilotinib purchased from MCE. Usage Cited in: Oncotarget. 2018 Apr 24;9(31):22158-22183.  [Abstract]

    Primary tumors are dissected at the end of experiment and subjected to immunohistochemistry. Representative images of primary tumor sections stained with anti-PCNA (proliferation), anti-cleaved caspase 3 (apoptosis), and anti-CD31 (angiogenesis).

    Nilotinib purchased from MCE. Usage Cited in: Leuk Lymphoma. 2015;56(8):2416-23.  [Abstract]

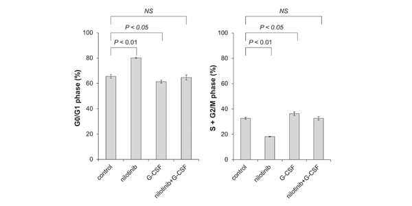
    Cell cycle analysis of HT93A cells by flow cytometry. Cells are treated with 100 nM Nilotinib and 50 ng/mL G-CSF alone or in combination for 48 h before the cell cycle is analyzed. Nilotinib treatment increases the fraction of cells in G0/G1 phase and decreased the S+G2/M-phase fraction.

    查看 Bcr-Abl 亚型特异性产品:

    • 生物活性

    • 纯度 & 产品资料

    • 参考文献

    生物活性

    Nilotinib is an orally available Bcr-Abl tyrosine kinase inhibitor with antineoplastic activity.

    IC50 & Target

    Bcr-Abl[1]

    细胞效力
    (Cellular Effect)
    Cell Line Type Value Description References
    A549 IC50
    6.63 μM
    Compound: 2
    Antiproliferative activity against human A549 cells after 72 hrs by MTT assay
    Antiproliferative activity against human A549 cells after 72 hrs by MTT assay
    [PMID: 23521020]
    BaF3 IC50
    > 1 μM
    Compound: 1
    Antiproliferative activity against mouse BA/F3 cells expressing Bcr-Abl T315I mutant after 72 hrs by CCK-8 assay
    Antiproliferative activity against mouse BA/F3 cells expressing Bcr-Abl T315I mutant after 72 hrs by CCK-8 assay
    [PMID: 26195136]
    BaF3 GI50
    > 10 μM
    Compound: Nilotinib
    Inhibition of BCR/ABL p210-T315I mutant (unknown origin) expressed in mouse BA/F3 cells assessed as growth inhibition after 72 hrs by CellTiter-Glo or CCK-8 assay
    Inhibition of BCR/ABL p210-T315I mutant (unknown origin) expressed in mouse BA/F3 cells assessed as growth inhibition after 72 hrs by CellTiter-Glo or CCK-8 assay
    [PMID: 26789553]
    BaF3 IC50
    > 100 nM
    Compound: Nilotinib
    Cytotoxicity against mouse BAF3 cells expressing BCR-ABL T315I mutant assessed as inhibition of cell growth measured after 48 hrs by trypan blue assay
    Cytotoxicity against mouse BAF3 cells expressing BCR-ABL T315I mutant assessed as inhibition of cell growth measured after 48 hrs by trypan blue assay
    [PMID: 34011155]
    BaF3 IC50
    0.003 μM
    Compound: 2
    Cytotoxicity against mouse BA/F3 cells expressing BCR-ABL M351T mutant assessed as growth inhibition after 72 hrs by CCK-8 assay
    Cytotoxicity against mouse BA/F3 cells expressing BCR-ABL M351T mutant assessed as growth inhibition after 72 hrs by CCK-8 assay
    [PMID: 23301703]
    BaF3 GI50
    0.004 μM
    Compound: Nilotinib
    Inhibition of BCR/ABL p210 (unknown origin) expressed in mouse BA/F3 cells assessed as growth inhibition after 72 hrs by CellTiter-Glo or CCK-8 assay
    Inhibition of BCR/ABL p210 (unknown origin) expressed in mouse BA/F3 cells assessed as growth inhibition after 72 hrs by CellTiter-Glo or CCK-8 assay
    [PMID: 26789553]
    BaF3 IC50
    0.0095 μM
    Compound: 2
    Cytotoxicity against mouse BA/F3 cells expressing BCR-ABL F486S mutant assessed as growth inhibition after 72 hrs by CCK-8 assay
    Cytotoxicity against mouse BA/F3 cells expressing BCR-ABL F486S mutant assessed as growth inhibition after 72 hrs by CCK-8 assay
    [PMID: 23301703]
    BaF3 GI50
    0.017 μM
    Compound: Nilotinib
    Inhibition of BCR/ABL p210-M351T mutant (unknown origin) expressed in mouse BA/F3 cells assessed as growth inhibition after 72 hrs by CellTiter-Glo or CCK-8 assay
    Inhibition of BCR/ABL p210-M351T mutant (unknown origin) expressed in mouse BA/F3 cells assessed as growth inhibition after 72 hrs by CellTiter-Glo or CCK-8 assay
    [PMID: 26789553]
    BaF3 GI50
    0.021 μM
    Compound: Nilotinib
    Inhibition of BCR/ABL p210-E255K mutant (unknown origin) expressed in mouse BA/F3 cells assessed as growth inhibition after 72 hrs by CellTiter-Glo or CCK-8 assay
    Inhibition of BCR/ABL p210-E255K mutant (unknown origin) expressed in mouse BA/F3 cells assessed as growth inhibition after 72 hrs by CellTiter-Glo or CCK-8 assay
    [PMID: 26789553]
    BaF3 IC50
    0.022 μM
    Compound: 2
    Cytotoxicity against mouse BA/F3 cells expressing wild type BCR-ABL assessed as growth inhibition after 72 hrs by CCK-8 assay
    Cytotoxicity against mouse BA/F3 cells expressing wild type BCR-ABL assessed as growth inhibition after 72 hrs by CCK-8 assay
    [PMID: 23301703]
    BaF3 GI50
    0.023 μM
    Compound: Nilotinib
    Inhibition of BCR/ABL p210-Q252H mutant (unknown origin) expressed in mouse BA/F3 cells assessed as growth inhibition after 72 hrs by CellTiter-Glo or CCK-8 assay
    Inhibition of BCR/ABL p210-Q252H mutant (unknown origin) expressed in mouse BA/F3 cells assessed as growth inhibition after 72 hrs by CellTiter-Glo or CCK-8 assay
    [PMID: 26789553]
    BaF3 GI50
    0.025 μM
    Compound: Nilotinib
    Inhibition of BCR/ABL p210-H369P mutant (unknown origin) expressed in mouse BA/F3 cells assessed as growth inhibition after 72 hrs by CellTiter-Glo or CCK-8 assay
    Inhibition of BCR/ABL p210-H369P mutant (unknown origin) expressed in mouse BA/F3 cells assessed as growth inhibition after 72 hrs by CellTiter-Glo or CCK-8 assay
    [PMID: 26789553]
    BaF3 GI50
    0.0546 μM
    Compound: Nilotinib
    Inhibition of BCR/ABL p210-F317I mutant (unknown origin) expressed in mouse BA/F3 cells assessed as growth inhibition after 72 hrs by CellTiter-Glo or CCK-8 assay
    Inhibition of BCR/ABL p210-F317I mutant (unknown origin) expressed in mouse BA/F3 cells assessed as growth inhibition after 72 hrs by CellTiter-Glo or CCK-8 assay
    [PMID: 26789553]
    BaF3 IC50
    0.12 μM
    Compound: 2
    Cytotoxicity against mouse BA/F3 cells expressing BCR-ABL E359V mutant assessed as growth inhibition after 72 hrs by CCK-8 assay
    Cytotoxicity against mouse BA/F3 cells expressing BCR-ABL E359V mutant assessed as growth inhibition after 72 hrs by CCK-8 assay
    [PMID: 23301703]
    BaF3 IC50
    0.12 μM
    Compound: 2
    Cytotoxicity against mouse BA/F3 cells expressing BCR-ABL Q252H mutant assessed as growth inhibition after 72 hrs by CCK-8 assay
    Cytotoxicity against mouse BA/F3 cells expressing BCR-ABL Q252H mutant assessed as growth inhibition after 72 hrs by CCK-8 assay
    [PMID: 23301703]
    BaF3 IC50
    0.13 μM
    Compound: 2
    Cytotoxicity against mouse BA/F3 cells expressing BCR-ABL E355G mutant assessed as growth inhibition after 72 hrs by CCK-8 assay
    Cytotoxicity against mouse BA/F3 cells expressing BCR-ABL E355G mutant assessed as growth inhibition after 72 hrs by CCK-8 assay
    [PMID: 23301703]
    BaF3 IC50
    0.15 μM
    Compound: 2
    Cytotoxicity against mouse BA/F3 cells expressing BCR-ABL G250E mutant assessed as growth inhibition after 72 hrs by CCK-8 assay
    Cytotoxicity against mouse BA/F3 cells expressing BCR-ABL G250E mutant assessed as growth inhibition after 72 hrs by CCK-8 assay
    [PMID: 23301703]
    BaF3 IC50
    0.16 μM
    Compound: 2
    Cytotoxicity against mouse BA/F3 cells expressing BCR-ABL F317L mutant assessed as growth inhibition after 72 hrs by CCK-8 assay
    Cytotoxicity against mouse BA/F3 cells expressing BCR-ABL F317L mutant assessed as growth inhibition after 72 hrs by CCK-8 assay
    [PMID: 23301703]
    BaF3 IC50
    0.17 μM
    Compound: 2
    Cytotoxicity against mouse BA/F3 cells expressing BCR-ABL E255K mutant assessed as growth inhibition after 72 hrs by CCK-8 assay
    Cytotoxicity against mouse BA/F3 cells expressing BCR-ABL E255K mutant assessed as growth inhibition after 72 hrs by CCK-8 assay
    [PMID: 23301703]
    BaF3 GI50
    0.202 μM
    Compound: Nilotinib
    Inhibition of BCR/ABL p210-F317L mutant (unknown origin) expressed in mouse BA/F3 cells assessed as growth inhibition after 72 hrs by CellTiter-Glo or CCK-8 assay
    Inhibition of BCR/ABL p210-F317L mutant (unknown origin) expressed in mouse BA/F3 cells assessed as growth inhibition after 72 hrs by CellTiter-Glo or CCK-8 assay
    [PMID: 26789553]
    BaF3 GI50
    0.47 μM
    Compound: Nilotinib
    Inhibition of TEL-SRC (unknown origin) expressed in mouse BA/F3 cells assessed as growth inhibition after 72 hrs by CellTiter-Glo or CCK-8 assay
    Inhibition of TEL-SRC (unknown origin) expressed in mouse BA/F3 cells assessed as growth inhibition after 72 hrs by CellTiter-Glo or CCK-8 assay
    [PMID: 26789553]
    BaF3 GI50
    0.87 μM
    Compound: Nilotinib
    Inhibition of TEL-LCK (unknown origin) expressed in mouse BA/F3 cells assessed as growth inhibition after 72 hrs by CellTiter-Glo or CCK-8 assay
    Inhibition of TEL-LCK (unknown origin) expressed in mouse BA/F3 cells assessed as growth inhibition after 72 hrs by CellTiter-Glo or CCK-8 assay
    [PMID: 26789553]
    BaF3 IC50
    1 μM
    Compound: 2
    Cytotoxicity against mouse BA/F3 cells expressing BCR-ABL Y253H mutant assessed as growth inhibition after 72 hrs by CCK-8 assay
    Cytotoxicity against mouse BA/F3 cells expressing BCR-ABL Y253H mutant assessed as growth inhibition after 72 hrs by CCK-8 assay
    [PMID: 23301703]
    BaF3 GI50
    1.093 μM
    Compound: Nilotinib
    Inhibition of BCR/ABL p210-Y253F mutant (unknown origin) expressed in mouse BA/F3 cells assessed as growth inhibition after 72 hrs by CellTiter-Glo or CCK-8 assay
    Inhibition of BCR/ABL p210-Y253F mutant (unknown origin) expressed in mouse BA/F3 cells assessed as growth inhibition after 72 hrs by CellTiter-Glo or CCK-8 assay
    [PMID: 26789553]
    BaF3 GI50
    1.1 μM
    Compound: Nilotinib
    Inhibition of TEL-DDR1 (unknown origin) expressed in mouse BA/F3 cells assessed as growth inhibition after 72 hrs by CellTiter-Glo or CCK-8 assay
    Inhibition of TEL-DDR1 (unknown origin) expressed in mouse BA/F3 cells assessed as growth inhibition after 72 hrs by CellTiter-Glo or CCK-8 assay
    [PMID: 26789553]
    BaF3 IC50
    1.2 μM
    Compound: 2
    Cytotoxicity against mouse BA/F3 cells expressing BCR-ABL E255V mutant assessed as growth inhibition after 72 hrs by CCK-8 assay
    Cytotoxicity against mouse BA/F3 cells expressing BCR-ABL E255V mutant assessed as growth inhibition after 72 hrs by CCK-8 assay
    [PMID: 23301703]
    BaF3 GI50
    1.3 μM
    Compound: Nilotinib
    Inhibition of TEL-BLK (unknown origin) expressed in mouse BA/F3 cells assessed as growth inhibition after 72 hrs by CellTiter-Glo or CCK-8 assay
    Inhibition of TEL-BLK (unknown origin) expressed in mouse BA/F3 cells assessed as growth inhibition after 72 hrs by CellTiter-Glo or CCK-8 assay
    [PMID: 26789553]
    BaF3 IC50
    1.4 μM
    Compound: 2
    Cytotoxicity against mouse BA/F3 cells expressing BCR-ABL Y253F mutant assessed as growth inhibition after 72 hrs by CCK-8 assay
    Cytotoxicity against mouse BA/F3 cells expressing BCR-ABL Y253F mutant assessed as growth inhibition after 72 hrs by CCK-8 assay
    [PMID: 23301703]
    BaF3 GI50
    1.4 μM
    Compound: Nilotinib
    Inhibition of TEL-DDR2 (unknown origin) expressed in mouse BA/F3 cells assessed as growth inhibition after 72 hrs by CellTiter-Glo or CCK-8 assay
    Inhibition of TEL-DDR2 (unknown origin) expressed in mouse BA/F3 cells assessed as growth inhibition after 72 hrs by CellTiter-Glo or CCK-8 assay
    [PMID: 26789553]
    BaF3 IC50
    1.54 nM
    Compound: 2, AMN107
    Antiproliferative activity against mouse BA/F3 cells expressing Bcr-Abl M244V mutant after 72 hrs by CCK-8 assay
    Antiproliferative activity against mouse BA/F3 cells expressing Bcr-Abl M244V mutant after 72 hrs by CCK-8 assay
    [PMID: 23088644]
    BaF3 IC50
    10.3 nM
    Compound: 2, AMN107
    Antiproliferative activity against mouse BA/F3 cells expressing Bcr-Abl M351T mutant after 72 hrs by CCK-8 assay
    Antiproliferative activity against mouse BA/F3 cells expressing Bcr-Abl M351T mutant after 72 hrs by CCK-8 assay
    [PMID: 23088644]
    BaF3 IC50
    11.8 nM
    Compound: Nilotinib
    Cytotoxicity against mouse BAF3 cells expressing native BCR-ABL assessed as inhibition of cell growth measured after 72 hrs by MTT assay
    Cytotoxicity against mouse BAF3 cells expressing native BCR-ABL assessed as inhibition of cell growth measured after 72 hrs by MTT assay
    [PMID: 34011155]
    BaF3 IC50
    15.1 μM
    Compound: 2
    Cytotoxicity against mouse BA/F3 cells assessed as growth inhibition after 72 hrs by CCK-8 assay
    Cytotoxicity against mouse BA/F3 cells assessed as growth inhibition after 72 hrs by CCK-8 assay
    [PMID: 23301703]
    BaF3 IC50
    150 nM
    Compound: 2, AMN107
    Antiproliferative activity against mouse BA/F3 cells expressing Bcr-Abl Q252H mutant after 72 hrs by CCK-8 assay
    Antiproliferative activity against mouse BA/F3 cells expressing Bcr-Abl Q252H mutant after 72 hrs by CCK-8 assay
    [PMID: 23088644]
    BaF3 IC50
    159 nM
    Compound: 2, AMN107
    Antiproliferative activity against mouse BA/F3 cells expressing Bcr-Abl F359V mutant after 72 hrs by CCK-8 assay
    Antiproliferative activity against mouse BA/F3 cells expressing Bcr-Abl F359V mutant after 72 hrs by CCK-8 assay
    [PMID: 23088644]
    BaF3 IC50
    16 μM
    Compound: 2
    Cytotoxicity against mouse BA/F3 cells expressing BCR-ABL T315I mutant assessed as growth inhibition after 72 hrs by CCK-8 assay
    Cytotoxicity against mouse BA/F3 cells expressing BCR-ABL T315I mutant assessed as growth inhibition after 72 hrs by CCK-8 assay
    [PMID: 23301703]
    BaF3 GI50
    2.1 μM
    Compound: Nilotinib
    Antiproliferative activity against mouse BA/F3 cells assessed as cell viability after 72 hrs by CellTiter-Glo or CCK-8 assay
    Antiproliferative activity against mouse BA/F3 cells assessed as cell viability after 72 hrs by CellTiter-Glo or CCK-8 assay
    [PMID: 26789553]
    BaF3 IC50
    2.7 μM
    Compound: Nilotinib
    Cytotoxicity against mouse BA/F3 cells expressing BCR-ABL T315I mutant after 72 hrs by MTT assay
    Cytotoxicity against mouse BA/F3 cells expressing BCR-ABL T315I mutant after 72 hrs by MTT assay
    [PMID: 26814890]
    BaF3 IC50
    2.9 μM
    Compound: 2
    Cytotoxicity against mouse BA/F3 cells expressing BCR-ABL F317V mutant assessed as growth inhibition after 72 hrs by CCK-8 assay
    Cytotoxicity against mouse BA/F3 cells expressing BCR-ABL F317V mutant assessed as growth inhibition after 72 hrs by CCK-8 assay
    [PMID: 23301703]
    BaF3 IC50
    21 nM
    Compound: 2, AMN107
    Antiproliferative activity against mouse BA/F3 cells expressing Bcr-Abl F486S mutant after 72 hrs by CCK-8 assay
    Antiproliferative activity against mouse BA/F3 cells expressing Bcr-Abl F486S mutant after 72 hrs by CCK-8 assay
    [PMID: 23088644]
    BaF3 IC50
    21.1 μM
    Compound: 2
    Cytotoxicity against mouse BA/F3 cells expressing BCR-ABL H396R mutant assessed as growth inhibition after 72 hrs by CCK-8 assay
    Cytotoxicity against mouse BA/F3 cells expressing BCR-ABL H396R mutant assessed as growth inhibition after 72 hrs by CCK-8 assay
    [PMID: 23301703]
    BaF3 IC50
    292 nM
    Compound: 2, AMN107
    Antiproliferative activity against mouse BA/F3 cells expressing Bcr-Abl E255K mutant after 72 hrs by CCK-8 assay
    Antiproliferative activity against mouse BA/F3 cells expressing Bcr-Abl E255K mutant after 72 hrs by CCK-8 assay
    [PMID: 23088644]
    BaF3 IC50
    3 μM
    Compound: 2
    Cytotoxicity against mouse BA/F3 cells expressing BCR-ABL L248V mutant assessed as growth inhibition after 72 hrs by CCK-8 assay
    Cytotoxicity against mouse BA/F3 cells expressing BCR-ABL L248V mutant assessed as growth inhibition after 72 hrs by CCK-8 assay
    [PMID: 23301703]
    BaF3 IC50
    314 nM
    Compound: 2, AMN107
    Antiproliferative activity against mouse BA/F3 cells expressing Bcr-Abl Y253H mutant after 72 hrs by CCK-8 assay
    Antiproliferative activity against mouse BA/F3 cells expressing Bcr-Abl Y253H mutant after 72 hrs by CCK-8 assay
    [PMID: 23088644]
    BaF3 IC50
    38.6 nM
    Compound: 2, AMN107
    Antiproliferative activity against mouse BA/F3 cells expressing Bcr-Abl G250E mutant after 72 hrs by CCK-8 assay
    Antiproliferative activity against mouse BA/F3 cells expressing Bcr-Abl G250E mutant after 72 hrs by CCK-8 assay
    [PMID: 23088644]
    BaF3 GI50
    4.1 μM
    Compound: Nilotinib
    Inhibition of TEL-HCK (unknown origin) expressed in mouse BA/F3 cells assessed as growth inhibition after 72 hrs by CellTiter-Glo or CCK-8 assay
    Inhibition of TEL-HCK (unknown origin) expressed in mouse BA/F3 cells assessed as growth inhibition after 72 hrs by CellTiter-Glo or CCK-8 assay
    [PMID: 26789553]
    BaF3 IC50
    40750 nM
    Compound: 2, AMN107
    Antiproliferative activity against mouse BA/F3 cells after 72 hrs by CCK-8 assay
    Antiproliferative activity against mouse BA/F3 cells after 72 hrs by CCK-8 assay
    [PMID: 23088644]
    BaF3 IC50
    473 nM
    Compound: 2, AMN107
    Antiproliferative activity against mouse BA/F3 cells expressing Bcr-Abl E255V mutant after 72 hrs by CCK-8 assay
    Antiproliferative activity against mouse BA/F3 cells expressing Bcr-Abl E255V mutant after 72 hrs by CCK-8 assay
    [PMID: 23088644]
    BaF3 IC50
    6.34 nM
    Compound: 2, AMN107
    Antiproliferative activity against mouse BA/F3 cells expressing Bcr-Abl H396P mutant after 72 hrs by CCK-8 assay
    Antiproliferative activity against mouse BA/F3 cells expressing Bcr-Abl H396P mutant after 72 hrs by CCK-8 assay
    [PMID: 23088644]
    BaF3 IC50
    60.7 nM
    Compound: 2, AMN107
    Antiproliferative activity against mouse BA/F3 cells expressing Bcr-Abl Y253F mutant after 72 hrs by CCK-8 assay
    Antiproliferative activity against mouse BA/F3 cells expressing Bcr-Abl Y253F mutant after 72 hrs by CCK-8 assay
    [PMID: 23088644]
    BaF3 IC50
    65.2 nM
    Compound: 2, AMN107
    Antiproliferative activity against mouse BA/F3 cells expressing wild type Bcr-Abl after 72 hrs by CCK-8 assay
    Antiproliferative activity against mouse BA/F3 cells expressing wild type Bcr-Abl after 72 hrs by CCK-8 assay
    [PMID: 23088644]
    BaF3 IC50
    775 nM
    Compound: 2, AMN107
    Antiproliferative activity against mouse BA/F3 cells expressing Bcr-Abl T315I mutant after 72 hrs by CCK-8 assay
    Antiproliferative activity against mouse BA/F3 cells expressing Bcr-Abl T315I mutant after 72 hrs by CCK-8 assay
    [PMID: 23088644]
    BaF3 IC50
    8.38 nM
    Compound: 2, AMN107
    Antiproliferative activity against mouse BA/F3 cells expressing Bcr-Abl E355G mutant after 72 hrs by CCK-8 assay
    Antiproliferative activity against mouse BA/F3 cells expressing Bcr-Abl E355G mutant after 72 hrs by CCK-8 assay
    [PMID: 23088644]
    BaF3 IC50
    87.2 nM
    Compound: 2, AMN107
    Antiproliferative activity against mouse BA/F3 cells expressing Bcr-Abl H396R mutant after 72 hrs by CCK-8 assay
    Antiproliferative activity against mouse BA/F3 cells expressing Bcr-Abl H396R mutant after 72 hrs by CCK-8 assay
    [PMID: 23088644]
    BJ IC50
    12.8 μM
    Compound: Tasigna
    Antiproliferative activity against human BJ cells after 72 hrs by PrestoBlue colorimetric assay
    Antiproliferative activity against human BJ cells after 72 hrs by PrestoBlue colorimetric assay
    [PMID: 24835982]
    CHO IC50
    4.7 μM
    Compound: nilotinib
    Inhibition of Cav1.2 current measured using QPatch automatic path clamp system in CHO cells expressing Cav1.2, beta-2 and alpha-2/delta-1 subunits
    Inhibition of Cav1.2 current measured using QPatch automatic path clamp system in CHO cells expressing Cav1.2, beta-2 and alpha-2/delta-1 subunits
    [PMID: 23812503]
    Daoy IC50
    6 μM
    Compound: Nilotinib
    Antiproliferative activity against human Daoy cells assessed as inhibition of cell growth incubated for 72 hrs by Alamar blue dye based fluorescence spectrophotometric assay
    Antiproliferative activity against human Daoy cells assessed as inhibition of cell growth incubated for 72 hrs by Alamar blue dye based fluorescence spectrophotometric assay
    [PMID: 33636537]
    H9c2 IC50
    21.33 μM
    Compound: Nilotinib
    Cytotoxicity against rat H9c2 cells incubated for 48 hrs and measured by MTT assay
    Cytotoxicity against rat H9c2 cells incubated for 48 hrs and measured by MTT assay
    [PMID: 36283251]
    HCT-116 IC50
    2.39 μM
    Compound: 2
    Antiproliferative activity against human HCT116 cells after 72 hrs by MTT assay
    Antiproliferative activity against human HCT116 cells after 72 hrs by MTT assay
    [PMID: 23521020]
    HCT-116 IC50
    5.75 μM
    Compound: Nilotinib
    Antiproliferative activity against human HCT-116 cells overexpressing DDR1 assessed as inhibition of cell proliferation measured after 72 hrs by MTT assay
    Antiproliferative activity against human HCT-116 cells overexpressing DDR1 assessed as inhibition of cell proliferation measured after 72 hrs by MTT assay
    [PMID: 33246255]
    HEK293 IC50
    0.5 μM
    Compound: nilotinib
    Inhibition of the Organic Cation Transporter 3 (OCT3, SLC22A3) as assessed by a phenotypic impedance-based assay detecting changes in cell morphology by MPP+ uptake in HEK-293 JumpIN-SLC22A3 cells
    Inhibition of the Organic Cation Transporter 3 (OCT3, SLC22A3) as assessed by a phenotypic impedance-based assay detecting changes in cell morphology by MPP+ uptake in HEK-293 JumpIN-SLC22A3 cells
    [PMID: 35163125]
    HEK293 IC50
    3.7 nM
    Compound: Tasigna, AMN107
    Inhibition of autophosphorylation of DDR1 expressed in HEK293 cells by ELISA
    Inhibition of autophosphorylation of DDR1 expressed in HEK293 cells by ELISA
    [PMID: 20817538]
    HEK293 IC50
    5.2 nM
    Compound: Tasigna, AMN107
    Inhibition of autophosphorylation of DDR2 expressed in HEK293 cells by ELISA
    Inhibition of autophosphorylation of DDR2 expressed in HEK293 cells by ELISA
    [PMID: 20817538]
    HEK293 IC50
    677 nM
    Compound: Tasigna, AMN107
    Inhibition of autophosphorylation of CSF1R expressed in HEK293 cells by ELISA
    Inhibition of autophosphorylation of CSF1R expressed in HEK293 cells by ELISA
    [PMID: 20817538]
    HEK293 IC50
    8.3 μM
    Compound: AMN107
    Cytotoxicity against HEK293 cells assessed as reduction in cell viability measured after 48 hrs by alamar blue assay
    Cytotoxicity against HEK293 cells assessed as reduction in cell viability measured after 48 hrs by alamar blue assay
    [PMID: 35944901]
    HEK293 IC50
    8.4 μM
    Compound: Nilotinib
    Cytotoxicity against HEK293 cells incubated for 48 hrs and measured by MTT assay
    Cytotoxicity against HEK293 cells incubated for 48 hrs and measured by MTT assay
    [PMID: 36283251]
    HEL GI50
    3.9 μM
    Compound: Nilotinib
    Antiproliferative activity against human HEL cells assessed as cell viability after 72 hrs by CellTiter-Glo or CCK-8 assay
    Antiproliferative activity against human HEL cells assessed as cell viability after 72 hrs by CellTiter-Glo or CCK-8 assay
    [PMID: 26789553]
    Jurkat IC50
    > 1000 nM
    Compound: Nilotinib
    Cytotoxicity against human Jurkat cells assessed as inhibition of cell growth measured after 72 hrs by MTT assay
    Cytotoxicity against human Jurkat cells assessed as inhibition of cell growth measured after 72 hrs by MTT assay
    [PMID: 34011155]
    K562 IC50
    < 100 nM
    Compound: Nilotinib
    Inhibition of kinobead binding to DDR1 in human K562 cells incubated for 30 mins by iTRAQ reagent-based mass spectrometric method
    Inhibition of kinobead binding to DDR1 in human K562 cells incubated for 30 mins by iTRAQ reagent-based mass spectrometric method
    [PMID: 28280261]
    K562 GI50
    > 1000 nM
    Compound: AMN107
    Growth inhibition of human K562 cells expressing BCR-ABL T315I mutant measured after 48 hrs by alamarblue assay
    Growth inhibition of human K562 cells expressing BCR-ABL T315I mutant measured after 48 hrs by alamarblue assay
    [PMID: 35944901]
    K562 GI50
    0.002 μM
    Compound: Nilotinib
    Antiproliferative activity against human K562 cells assessed as cell viability after 72 hrs by CellTiter-Glo or CCK-8 assay
    Antiproliferative activity against human K562 cells assessed as cell viability after 72 hrs by CellTiter-Glo or CCK-8 assay
    [PMID: 26789553]
    K562 IC50
    0.0039 μM
    Compound: Nilotinib
    Cytotoxicity against human K562 cells assessed as cell viability after 72 hrs by MTT assay
    Cytotoxicity against human K562 cells assessed as cell viability after 72 hrs by MTT assay
    [PMID: 26814890]
    K562 IC50
    0.015 μM
    Compound: 2
    Antiproliferative activity against human K562 cells after 72 hrs by CCK8 assay
    Antiproliferative activity against human K562 cells after 72 hrs by CCK8 assay
    [PMID: 23521020]
    K562 IC50
    0.022 μM
    Compound: 1
    Antiproliferative activity against human K562 cells expressing wild type Bcr-Abl after 72 hrs by CCK-8 assay
    Antiproliferative activity against human K562 cells expressing wild type Bcr-Abl after 72 hrs by CCK-8 assay
    [PMID: 26195136]
    K562 IC50
    1.8 nM
    Compound: Nilotinib
    Cytotoxicity against human K562 cells assessed as cell growth inhibition measured after 72 hrs by MTT assay
    Cytotoxicity against human K562 cells assessed as cell growth inhibition measured after 72 hrs by MTT assay
    [PMID: 34011155]
    K562 IC50
    1.8 μM
    Compound: Nilotinib
    Inhibition of kinobead binding to NQO2 in human K562 cells incubated for 30 mins by iTRAQ reagent-based mass spectrometric method
    Inhibition of kinobead binding to NQO2 in human K562 cells incubated for 30 mins by iTRAQ reagent-based mass spectrometric method
    [PMID: 28280261]
    K562 IC50
    2.4 μM
    Compound: Tasigna
    Antiproliferative activity against apoptosis-resistant, Philadelphia chromosome-positive human K562 cells after 72 hrs by PrestoBlue colorimetric assay
    Antiproliferative activity against apoptosis-resistant, Philadelphia chromosome-positive human K562 cells after 72 hrs by PrestoBlue colorimetric assay
    [PMID: 24835982]
    K562 GI50
    26 nM
    Compound: AMN107
    Growth inhibition of human K562 cells measured after 48 hrs by alamarblue assay
    Growth inhibition of human K562 cells measured after 48 hrs by alamarblue assay
    [PMID: 35944901]
    K562 IC50
    28 nM
    Compound: Nilotinib
    Inhibition of kinobead binding to ABL in human K562 cells incubated for 30 mins by iTRAQ reagent-based mass spectrometric method
    Inhibition of kinobead binding to ABL in human K562 cells incubated for 30 mins by iTRAQ reagent-based mass spectrometric method
    [PMID: 28280261]
    K562 IC50
    89.13 μM
    Compound: Nilotinib
    Antiproliferative activity against human K562 cells after 48 hrs by MTT assay
    Antiproliferative activity against human K562 cells after 48 hrs by MTT assay
    [PMID: 23538233]
    KBM5 IC50
    12 nM
    Compound: NLT
    Cytotoxicity against human KBM5 cells expressing IM- sensitive wild type Bcr/Abl assessed as reduction in cell viability incubated for 48 hrs by MTT assay
    Cytotoxicity against human KBM5 cells expressing IM- sensitive wild type Bcr/Abl assessed as reduction in cell viability incubated for 48 hrs by MTT assay
    [PMID: 31727471]
    KBM5 IC50
    2421 nM
    Compound: NLT
    Cytotoxicity against human KBM5 cells expressing IM-resistant Bcr/Abl T315I mutant assessed as reduction in cell viability incubated for 48 hrs by MTT assay
    Cytotoxicity against human KBM5 cells expressing IM-resistant Bcr/Abl T315I mutant assessed as reduction in cell viability incubated for 48 hrs by MTT assay
    [PMID: 31727471]
    KU812 cell line GI50
    0.001 μM
    Compound: Nilotinib
    Antiproliferative activity against human KU812 cells assessed as cell viability after 72 hrs by CellTiter-Glo or CCK-8 assay
    Antiproliferative activity against human KU812 cells assessed as cell viability after 72 hrs by CellTiter-Glo or CCK-8 assay
    [PMID: 26789553]
    KU812 cell line IC50
    1.8 nM
    Compound: Nilotinib
    Cytotoxicity against human KU812 cells assessed as inhibition of cell growth measured after 72 hrs by MTT assay
    Cytotoxicity against human KU812 cells assessed as inhibition of cell growth measured after 72 hrs by MTT assay
    [PMID: 34011155]
    KU812 cell line IC50
    10 nM
    Compound: NLT
    Cytotoxicity against human KU812 cells expressing IM- sensitive wild type Bcr/Abl assessed as reduction in cell viability incubated for 48 hrs by MTT assay
    Cytotoxicity against human KU812 cells expressing IM- sensitive wild type Bcr/Abl assessed as reduction in cell viability incubated for 48 hrs by MTT assay
    [PMID: 31727471]
    L02 IC50
    40.39 μM
    Compound: Nilotinib
    Cytotoxicity against human L02 cells incubated for 48 hrs and measured by MTT assay
    Cytotoxicity against human L02 cells incubated for 48 hrs and measured by MTT assay
    [PMID: 36283251]
    MCF7 IC50
    6.92 μM
    Compound: 2
    Antiproliferative activity against human MCF7 cells after 72 hrs by MTT assay
    Antiproliferative activity against human MCF7 cells after 72 hrs by MTT assay
    [PMID: 23521020]
    MDA-MB-231 IC50
    7.31 μM
    Compound: Nilotinib
    Antiproliferative activity against human MDA-MB-231 cells overexpressing DDR1 assessed as inhibition of cell proliferation measured after 72 hrs by MTT assay
    Antiproliferative activity against human MDA-MB-231 cells overexpressing DDR1 assessed as inhibition of cell proliferation measured after 72 hrs by MTT assay
    [PMID: 33246255]
    MDA-MB-435S IC50
    2.66 μM
    Compound: 2
    Antiproliferative activity against human MDA-MB-435S cells after 72 hrs by MTT assay
    Antiproliferative activity against human MDA-MB-435S cells after 72 hrs by MTT assay
    [PMID: 23521020]
    MEG-01 GI50
    0.016 μM
    Compound: Nilotinib
    Antiproliferative activity against human MEG01 cells assessed as cell viability after 72 hrs by CellTiter-Glo or CCK-8 assay
    Antiproliferative activity against human MEG01 cells assessed as cell viability after 72 hrs by CellTiter-Glo or CCK-8 assay
    [PMID: 26789553]
    MOLM-14 GI50
    > 10 μM
    Compound: Nilotinib
    Antiproliferative activity against human MOLM14 cells assessed as cell viability after 72 hrs by CellTiter-Glo or CCK-8 assay
    Antiproliferative activity against human MOLM14 cells assessed as cell viability after 72 hrs by CellTiter-Glo or CCK-8 assay
    [PMID: 26789553]
    MV4-11 GI50
    > 10 μM
    Compound: Nilotinib
    Antiproliferative activity against human MV4-11 cells assessed as cell viability after 72 hrs by CellTiter-Glo or CCK-8 assay
    Antiproliferative activity against human MV4-11 cells assessed as cell viability after 72 hrs by CellTiter-Glo or CCK-8 assay
    [PMID: 26789553]
    NCI-H2286 IC50
    1.8 μM
    Compound: Nilotinib
    Antiproliferative activity against human NCI-H2286 cells expressing DDR2 mutant after 72 hrs by alamar blue assay
    Antiproliferative activity against human NCI-H2286 cells expressing DDR2 mutant after 72 hrs by alamar blue assay
    [PMID: 26191369]
    NCI-H23 IC50
    3.05 μM
    Compound: 2
    Antiproliferative activity against human NCI-H23 cells after 72 hrs by MTT assay
    Antiproliferative activity against human NCI-H23 cells after 72 hrs by MTT assay
    [PMID: 23521020]
    NCI-H460 IC50
    14.41 μM
    Compound: 2
    Antiproliferative activity against human NCI-H460 cells after 72 hrs by MTT assay
    Antiproliferative activity against human NCI-H460 cells after 72 hrs by MTT assay
    [PMID: 23521020]
    Sf21 IC50
    0.158 μM
    Compound: Nilotinib
    Inhibition of recombinant human N-terminal GST-tagged c-Kit (544 to end residues) expressed in baculovirus infected Sf21 insect cells using FAM-labelled P22 peptide as substrate preincubated for 10 mins followed by substrate addition and measured after 1
    Inhibition of recombinant human N-terminal GST-tagged c-Kit (544 to end residues) expressed in baculovirus infected Sf21 insect cells using FAM-labelled P22 peptide as substrate preincubated for 10 mins followed by substrate addition and measured after 1
    [PMID: 32051094]
    SH-SY5Y IC50
    38.51 μM
    Compound: Nilotinib
    Cytotoxicity against human SH-SY5Y cells incubated for 48 hrs and measured by MTT assay
    Cytotoxicity against human SH-SY5Y cells incubated for 48 hrs and measured by MTT assay
    [PMID: 36283251]
    T47D IC50
    6.08 μM
    Compound: 2
    Antiproliferative activity against human T47D cells after 72 hrs by MTT assay
    Antiproliferative activity against human T47D cells after 72 hrs by MTT assay
    [PMID: 23521020]
    THP-1 IC50
    400 nM
    Compound: Nilotinib
    Antiinflammatory activity against LPS-stimulated human THP-1 cells assessed as TNF-alpha secretion pretreated for 1 hr followed by LPS stimulation and measured upto 24 hrs by ELISA analysis
    Antiinflammatory activity against LPS-stimulated human THP-1 cells assessed as TNF-alpha secretion pretreated for 1 hr followed by LPS stimulation and measured upto 24 hrs by ELISA analysis
    [PMID: 36094045]
    U-937 GI50
    > 10 μM
    Compound: Nilotinib
    Antiproliferative activity against human U937 cells assessed as cell viability after 72 hrs by CellTiter-Glo or CCK-8 assay
    Antiproliferative activity against human U937 cells assessed as cell viability after 72 hrs by CellTiter-Glo or CCK-8 assay
    [PMID: 26789553]
    U-937 IC50
    > 1000 nM
    Compound: Nilotinib
    Cytotoxicity against human U-937 cells assessed as inhibition of cell growth measured after 72 hrs by MTT assay
    Cytotoxicity against human U-937 cells assessed as inhibition of cell growth measured after 72 hrs by MTT assay
    [PMID: 34011155]
    体外研究
    (In Vitro)

    Nilotinib (AMN107) 是一种选择性 Abl 抑制剂,旨在与 BCR-ABL 的 ATP 结合位点相互作用,其亲和力比 imatinib (HY-15463) 更高,同时与 imatinib 相比效力明显更强 (IC50<30 nM),并且对大多数导致 imatinib 耐药的 BCR-ABL 点突变体保持活性[1]
    Nilotinib 对 GIST 异种移植瘤系和 imatinib 耐药 GIST 细胞系表现出明显的抗肿瘤作用,其中亲本细胞系 GK1C 和 GK3C 对 imatinib 敏感,IC50分别为4.59 μM和11.15 μM,imatinib 耐药细胞系 GK1C-IR 和 GK3C-IR 对 imatinib 耐药,IC50值分别为 11.74 (P<0.001) 和 41.37 (P<0.001)[2]

    MCE has not independently confirmed the accuracy of these methods. They are for reference only.

    体内研究
    (In Vivo)

    Nilotinib (口服灌胃; 40 mg/kg; 一天一次,连续4周) 在患有 GIST 异种移植的 BALB/cSLc-nu/nu 小鼠中表现出相同或更高的抗肿瘤作用[2]
    Nilotinib 对 Indomethacin 诱导的大鼠肠炎模型的宏观和微观病理评分具有显著的改善作用,并能确保肠道黏膜的显著愈合,同时降低结肠中 PDGFR α 和 β 水平及细胞凋亡评分[3]

    MCE has not independently confirmed the accuracy of these methods. They are for reference only.

    Animal Model: BALB/cSLc-nu/nu mice with GIST xenograft (GK1X, GK2X and GK3X)[2]
    Dosage: 40 mg/kg
    Administration: Oral gavage; daily; 4 weeks
    Result: Inhibited tumor growth by 69.6% in GK1X, 85.3% in GK2X and 47.5% in GK3X xenograft line.
    Clinical Trial
    分子量

    529.52

    Formula

    C28H22F3N7O

    CAS 号
    性状

    固体

    颜色

    White to light yellow

    中文名称

    尼洛替尼;尼罗替尼

    运输条件

    Room temperature in continental US; may vary elsewhere.

    储存方式
    Powder -20°C 3 years
    4°C 2 years
    In solvent -80°C 2 years
    -20°C 1 year
    溶解性数据
    细胞实验: 

    1 M HCl 中的溶解度 : ≥ 100 mg/mL (188.85 mM)

    DMSO 中的溶解度 : 12.5 mg/mL (23.61 mM; 超声助溶 (<60°C); 吸湿的 DMSO 对产品的溶解度有显著影响,请使用新开封的 DMSO)

    H2O 中的溶解度 : < 0.1 mg/mL (insoluble)

    * "≥" means soluble, but saturation unknown.

    配制储备液
    浓度 溶剂体积 质量 1 mg 5 mg 10 mg
    1 mM 1.8885 mL 9.4425 mL 18.8850 mL
    5 mM 0.3777 mL 1.8885 mL 3.7770 mL
    查看完整储备液配制表

    * 请根据产品在不同溶剂中的溶解度选择合适的溶剂配制储备液;一旦配成溶液,请分装保存,避免反复冻融造成的产品失效
    储备液的保存方式和期限:-80°C, 2 years; -20°C, 1 year。-80°C储存时,请在2年内使用, -20°C储存时,请在1年内使用。

    • 摩尔计算器

    • 稀释计算器

    Mass (g) = Concentration (mol/L) × Volume (L) × Molecular Weight (g/mol)

    质量
    =
    浓度
    ×
    体积
    ×
    分子量 *

    Concentration (start) × Volume (start) = Concentration (final) × Volume (final)

    This equation is commonly abbreviated as: C1V1 = C2V2

    浓度 (start)

    C1

    ×
    体积 (start)

    V1

    =
    浓度 (final)

    C2

    ×
    体积 (final)

    V2

    动物实验:

    请根据您的 实验动物和给药方式 选择适当的溶解方案。

    以下溶解方案都请先按照 In Vitro 方式配制澄清的储备液,再依次添加助溶剂:
    ——为保证实验结果的可靠性,澄清的储备液可以根据储存条件,适当保存;体内实验的工作液,建议您现用现配,当天使用
    以下溶剂前显示的百分比是指该溶剂在您配制终溶液中的体积占比;如在配制过程中出现沉淀、析出现象,可以通过加热和/或超声的方式助溶

    • 方案 一

      请依序添加每种溶剂: 10% DMSO    90% Corn Oil

      Solubility: ≥ 0.5 mg/mL (0.94 mM); 澄清溶液

      此方案可获得 ≥ 0.5 mg/mL(饱和度未知)的澄清溶液,此方案实验周期在半个月以上的动物实验酌情使用。

      1 mL 工作液为例,取 100 μL 5.0 mg/mL 的澄清 DMSO 储备液加到 900 μL玉米油中,混合均匀。

    以下溶解方案,请直接配制工作液。建议现用现配,在短期内尽快用完。 以下溶剂前显示的百分比是指该溶剂在您配制终溶液中的体积占比; 如在配制过程中出现沉淀、析出现象,可以通过加热和/或超声的方式助溶。

    • 方案 一

      请依序添加每种溶剂: 50% PEG300    50% Saline

      Solubility: 4.17 mg/mL (7.88 mM); 悬浊液; 超声助溶

    动物溶解方案计算器
    请输入动物实验的基本信息:

    给药剂量

    mg/kg

    动物的平均体重

    g

    每只动物的给药体积

    μL

    动物数量

    由于实验过程有损耗,建议您多配一只动物的量
    请输入您的动物体内配方组成:
    %
    DMSO +
    +
    %
    Tween-80 +
    %
    Saline
    如果您的动物是免疫缺陷鼠或者体弱鼠,建议 DMSO 中的在最后工作液体系中的占比尽量不超过 2%。
    方案所需 助溶剂 包括:DMSO ,均可在 MCE 网站选购。 Tween 80,均可在 MCE 网站选购。
    计算结果
    工作液所需浓度 : mg/mL
    储备液配制方法 : mg 药物溶于 μL  DMSO(母液浓度为 mg/mL)。
    您所需的储备液浓度超过该产品的实测溶解度,以下方案仅供参考,如有需要,请与 MCE 中国技术支持联系。
    动物实验体内工作液的配制方法 : 取 μL DMSO 储备液,加入 μL  μL ,混合均匀至澄清,再加 μL Tween 80,混合均匀至澄清,再加 μL 生理盐水
    连续给药周期超过半月以上,请谨慎选择该方案。
    请确保第一步储备液溶解至澄清状态,从左到右依次添加助溶剂。您可采用超声加热 (超声清洗仪,建议频次 20-40 kHz),涡旋吹打等方式辅助溶解。
    纯度 & 产品资料

    纯度: 99.94%

    参考文献

    完整储备液配制表

    * 请根据产品在不同溶剂中的溶解度选择合适的溶剂配制储备液;一旦配成溶液,请分装保存,避免反复冻融造成的产品失效
    储备液的保存方式和期限:-80°C, 2 years; -20°C, 1 year。-80°C储存时,请在2年内使用, -20°C储存时,请在1年内使用。

    可选溶剂 浓度 溶剂体积 质量 1 mg 5 mg 10 mg 25 mg
    DMSO / 1 M HCl 1 mM 1.8885 mL 9.4425 mL 18.8850 mL 47.2126 mL
    5 mM 0.3777 mL 1.8885 mL 3.7770 mL 9.4425 mL
    10 mM 0.1889 mL 0.9443 mL 1.8885 mL 4.7213 mL
    15 mM 0.1259 mL 0.6295 mL 1.2590 mL 3.1475 mL
    20 mM 0.0944 mL 0.4721 mL 0.9443 mL 2.3606 mL
    1 M HCl 25 mM 0.0755 mL 0.3777 mL 0.7554 mL 1.8885 mL
    30 mM 0.0630 mL 0.3148 mL 0.6295 mL 1.5738 mL
    40 mM 0.0472 mL 0.2361 mL 0.4721 mL 1.1803 mL
    50 mM 0.0378 mL 0.1889 mL 0.3777 mL 0.9443 mL
    60 mM 0.0315 mL 0.1574 mL 0.3148 mL 0.7869 mL
    80 mM 0.0236 mL 0.1180 mL 0.2361 mL 0.5902 mL
    100 mM 0.0189 mL 0.0944 mL 0.1889 mL 0.4721 mL
    Help & FAQs
    • Do most proteins show cross-species activity?

      Species cross-reactivity must be investigated individually for each product. Many human cytokines will produce a nice response in mouse cell lines, and many mouse proteins will show activity on human cells. Other proteins may have a lower specific activity when used in the opposite species.

    您最近查看的产品:

    Your information is safe with us. * Required Fields.

       产品名称:

     

    * 需求量:

    * 客户姓名:

     

    * Email:

    * 电话:

     

    * 公司或机构名称:

       留言给我们:

    Bulk Inquiry

    Inquiry Information

    产品名称:
    Nilotinib
    目录号:
    HY-10159
    需求量: