CAS号查询
化工产品
化学结构搜索
化学工具
化学网址导航
危险化学品名录
msds查询
VIP产品购买
化工产品
化学品查询
我的试剂库查询
msds查询
化学结构查询
搜 索
搜索设置
使用帮助
CAS号查询
>
化工产品
热门搜索化学品最多只显示前20条,请点击“搜索化学品”查看所有结果
CAS登录号
中文名
英文名
分子结构式
分子式
详情
供应商
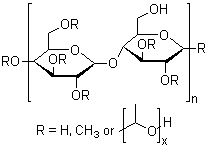
9004-65-3
羟丙基甲基纤维素
Hydroxypropyl methyl cellulose;
(Hydroxypropyl)methyl cellulose
C3H7O
详情
供应商
16499-18-6
Propoxy (6CI,8CI,9CI);
Propyloxy;
Propyloxy radical
C3H7O
详情
供应商
热门搜关键词:
C11H21NO2S
hydrocycloprop
azacyclobutan
c12h4n4o
氨基 吲唑
trimethanamine
苯并咪唑 氟 氨基
Methylenedisalicylic Acid
IDEAL
C10H21SH
Dimethyl tetrachloroterephthalate
diphenylacrylate
otobaphenol
thallium sulfat
CBrF2CHBrF
Aureobasidium pullulans
c27h54si402
c17h331f3o2
C27H55O2
*环*醛
*环*酮
dihydroxo
6-?è?ù-?·oy??