CAS号查询
化工产品
化学结构搜索
化学工具
化学网址导航
危险化学品名录
msds查询
VIP产品购买
化工产品
化学品查询
我的试剂库查询
msds查询
化学结构查询
搜 索
搜索设置
使用帮助
CAS号查询
>
化工产品
热门搜索化学品最多只显示前20条,请点击“搜索化学品”查看所有结果
CAS登录号
中文名
英文名
分子结构式
分子式
详情
供应商
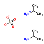
64346-44-7
Dipropan-2-aminium sulfate
C6H20N2O4S
详情
供应商
热门搜关键词:
Pigment Orange 40
-特丁基-3-(2,6-二异丙基-4-苯氧基苯基)硫脲
C5H11O3Cl
C12 O4 I H15
Io?u???
F3CC0Cl
paratic
C20H23O6N3S
C12 Cl2 H16
chinovose
h alumina
octafluoroadipate
Ethylindane
tetrahydrodeoxyuridine
HCCl2F
Noradrenochrome
CONCH3CH2
C18 N I H14
NTCA
GLYCOL ACID
pipe 6H2O
SR 502
ethoxyChrysoidine
C12H10O3ClP
C7H15NH2
COTN
二溴 醇
C19H41BrN
甲基丙烯酸甲酯 丙烯酸甲酯
Tetraphenyldimethyldisiloxan
C29H44N2O3
Tetraphenyltetramethyltrisiloxan
C Blue 1
Butadienen
C6 H5 N O2
c7h4no4s
Salacetamide
Cyclopenteneacetic
propionic acid ethyl ester