CAS号查询化工产品

热门搜索化学品最多只显示前20条,请点击“搜索化学品”查看所有结果


CAS登录号 中文名 英文名 分子结构式 分子式 详情 供应商
1448-98-2氰乙酰脲;
N-(2-氰乙酰基)脲
N-(2-Cyanoacetyl)urea;
N-Carbamoyl-2-cyanoacetamide
CAS:1448-98-2分子结构C4H5N3O2详情供应商
121-59-5卡巴胂Arsonic acid,[4-[(aminocarbonyl)amino]phenyl]-;
Arsanilicacid, N-Carbamoyl- (7CI,8CI);
Carbarsone (6CI);
4-Carbamylaminophenylarsonicacid;
4-Ureidobenzenearsonic acid;
4-Ureidophenylarsonic acid;
Amabevan;
Ameban;
Amebarsene;
Amebarsone;
Amibiarson;
Aminarson;
Aminarsone;
Aminoarson;
Arsambide;
Carb-O-Sep;
Carbarson;
Fenarsone;
Histocarb;
Kutan;
Leucarsone;
N-Carbamoylarsanilic acid;
N-Carbamylarsanilic acid;
NSC 32868;
Pentarsone;
p-Arsonophenylurea;
p-Carbamidobenzenearsonic acid;
p-Ureidobenzenearsonic acid
CAS:121-59-5分子结构C7H9AsN2O4详情供应商
923-37-5氨基甲酰基-DL-天冬氨酸Aspartic acid,N-(aminocarbonyl)-;
Asparticacid, N-Carbamoyl- (6CI);
Aspartic acid, N-Carbamoyl-, DL- (8CI);
DL-Asparticacid, N-(aminocarbonyl)-;
Carbamyl-DL-aspartic acid;
DL-2-Ureidobutanedioicacid;
N-Carbamoyl-DL-aspartic acid;
NSC 120033;
Ureidosuccinic acid
CAS:923-37-5分子结构C5H8N2O5详情供应商
30905-63-6Aspartic acid,N-(aminocarbonyl)-, calcium salt (1:1);
Asparticacid, N-Carbamoyl-, calcium salt (1:1), DL- (8CI)
CAS:30905-63-6分子结构C5H8N2O5.Ca详情供应商
10598-87-5Acetic acid,2-[1-(aminocarbonyl)-2-[(5-nitro-2-furanyl)methylene]hydrazinyl]-, ethyl ester;
Aceticacid, [1-carbamoyl-2-(5-nitrofurfurylidene)hydrazino]-, ethyl ester (8CI);
Glycine, N-Carbamoyl-N-[(5-nitrofurfurylidene)amino]-, ethyl ester (7CI);
Hydantoic acid, 3-(5-nitrofurfurylideneamino)-, ethyl ester (6CI);
NSC 53258
CAS:10598-87-5分子结构C10H12N4O6详情供应商
77340-50-2Alanine,N-(aminocarbonyl)-;
DL-Alanine,N-(aminocarbonyl)-;
Hydantoic acid, 2-methyl- (5CI);
Hydantoic acid, 2-methyl-,DL- (6CI);
N-Carbamoyl-DL-alanine;
N-DL-Carbamoylalanine
CAS:77340-50-2分子结构C4H8N2O3详情供应商
138-07-8Acetic acid,2-[1-(aminocarbonyl)hydrazinyl]-;
Aceticacid, [1-(aminocarbonyl)hydrazino]- (9CI);
Glycine, N-amino-N-Carbamoyl- (8CI);
Hydantoic acid, 3-amino- (6CI);
3-Aminohydantoic acid;
Glycine,N-amino-N-(aminocarbonyl)-;
Hydrazinecarboxamide, 1-(carboxymethyl)-
CAS:138-07-8分子结构C3H7N3O3详情供应商
462-88-43-酰脲丙酸b-Alanine, N-(aminocarbonyl)-;
b-Alanine, N-Carbamoyl-(6CI,7CI,8CI);
3-Ureidopropionic acid;
Carbamoyl-b-alanine;
Carbamyl b-alanine;
N-(Aminocarbonyl)-b-alanine;
N-Carbamoyl-b-alanine;
NSC 190691;
NSC 65768;
Propanoic acid, 3-[(aminocarbonyl)amino]-;
Urea, (2-carboxyethyl)-;
b-Ureidopropionic acid
CAS:462-88-4分子结构C4H8N2O3详情供应商
108129-56-2Benzoic acid,2-[(aminocarbonyl)amino]-5-hydroxy-;
Anthranilicacid, N-Carbamoyl-5-hydroxy- (6CI)
CAS:108129-56-2分子结构C8H8N2O4详情供应商
2242-77-5Benzoic acid,2-[(aminocarbonyl)amino]-, methyl ester;
Anthranilicacid, N-Carbamoyl-, methyl ester (6CI,7CI,8CI);
NSC 87984
CAS:2242-77-5分子结构C9H10N2O3详情供应商
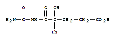
22742-73-0Benzenebutanoic acid, g-[[(aminocarbonyl)amino]carbonyl]-g-hydroxy-;
Glutaramicacid, N-Carbamoyl-4-hydroxy-4-phenyl- (8CI)
CAS:22742-73-0化学结构C12H14N2O5详情供应商
6489-76-5Benzeneacetic acid, a-[(aminocarbonyl)amino]-, (aR)-;
Benzeneaceticacid, a-[(aminocarbonyl)amino]-, (R)-;
Glycine, N-Carbamoyl-2-phenyl-, (R)-(-)- (8CI);
(-)-2-Phenyl-2-ureidoaceticacid;
D-(-)-N-Carbamoylphenylglycine;
D-2-Phenylhydantoic acid;
D-N-Carbamoylphenylglycine;
N-Carbamoyl-D-phenylglycine;
R-(-)-Phenylhydantoicacid
CAS:6489-76-5分子结构C9H10N2O3详情供应商
22742-74-1Benzenebutanoic acid, g-[[(aminocarbonyl)amino]carbonyl]-g-hydroxy-, methyl ester;
Glutaramicacid, N-Carbamoyl-4-hydroxy-4-phenyl-, methyl ester (8CI)
CAS:22742-74-1分子结构C13H16N2O5详情供应商
218938-56-8Cbz-D-Homocitrulline;
N-ALPHA-CARBOBENZOXY-N-EPSILON-Carbamoyl-D-LYSINE;
N-ALPHA-CARBOBENZOXY-D-HOMOCITRULLINE;
Z-N-EPSILON-Carbamoyl-D-LYSINE;
Z-D-HOCIT-OH;
Z-D-HOMOCIT-OH;
Z-D-HOMOCITRULLINE;
Z-D-LYS(CARBAMOYL)-OH;
Cbz-D-Homocitrulline
CAS:218938-56-8分子结构C15H21N3O5详情供应商
54896-75-2D-Tryptophan,N-(aminocarbonyl)-;
D-N-Carbamoyltryptophan;
N-Carbamoyl-D-tryptophan
CAS:54896-75-2分子结构C12H13N3O3详情供应商
29346-57-4Ethanesulfonic acid,2-[(aminocarbonyl)amino]-, potassium salt (1:1);
Ethanesulfonicacid, 2-[(aminocarbonyl)amino]-, monopotassium salt (9CI);
Taurine, N-Carbamoyl-,monopotassium salt (8CI);
Carbamoyltaurine potassium salt
CAS:29346-57-4分子结构C3H7KN2O4S详情供应商
24809-90-3D-Alanine,N-(aminocarbonyl)-;
Alanine,N-Carbamoyl-, D- (8CI);
D-2-Ureidopropionic acid;
N-Carbamoyl-(R)-alanine;
N-Carbamoyl-D-alanine
CAS:24809-90-3分子结构C4H8N2O3详情供应商
30565-25-4Glycine,N-(aminocarbonyl)-N-methyl-;
Sarcosine,N-Carbamoyl- (6CI,8CI);
3-Methylhydantoic acid;
N-Carbamoylsarcosine
CAS:30565-25-4分子结构C4H8N2O3详情供应商
6293-20-5Glycine,N-(aminocarbonyl)-, ethyl ester;
Glycine,N-Carbamoyl-, ethyl ester (7CI,8CI);
Hydantoic acid, ethyl ester (6CI);
N-Carbamoylglycine ethyl ester;
N-Ethoxycarbonylmethylurea;
NSC 8846
CAS:6293-20-5分子结构C5H10N2O3详情供应商
26117-19-1L-Isoleucine,N-(aminocarbonyl)-;
Isoleucine,N-Carbamoyl-, L- (8CI);
N-Carbamoyl-L-isoleucine
CAS:26117-19-1分子结构C7H14N2O3详情供应商
热门搜关键词:c31h42n4o4 四硫富瓦 烯 芘 琥珀 噻唑甲胺 环戊二烯 酮 酯 三氟甲磺酸 D- 对羟基苯甘氨酸 二醇 硼酸酯 氯丙基苯 活性氧化铝; 二羟基 二噻烷 砷 钙 硼烷二甲硫醚络 聚甲醛CAS NO 三氟氯氰菊酯; 丁基 环己烯 氯乙基 苄胺 铝合金 CAS NO. 活性艳蓝X 溴 羟基 烷 乙偶姻 CAS NO 异丁基脒 3-氧杂环丁胺 铝 EC NO. N-乙基吡 氯化天竺葵色素 三甲基-环己烯 D-甘油-D-古洛糖-庚酸 亚硝基 萘 十八烷酸 酯 ???? EC NO% 颜料红 81:2 (C8H4O3.C4H10O3) c5n2h13 三氟甲基苯甲胺 C18H25NO7S Azocol Bi Br C7H6O3NCl Acesulfam