CAS号查询化工产品

热门搜索化学品最多只显示前20条,请点击“搜索化学品”查看所有结果


CAS登录号 中文名 英文名 分子结构式 分子式 详情 供应商
867-44-7S-甲基异硫脲硫酸盐2-Methyl-2-thiopseudourea sulfate;
Bis(2-methylthiouronium) sulphate;
Bis(2-methylisothiouronium) sulphate;
S-Methyl isothiourea sulfate
CAS:867-44-7分子结构(C2H6N2S)2.H2SO4详情供应商
76169-06-7甲酚-甲醛共聚物1,2-二叠氮基萘醌-5-磺酸酯Cresol-formaldehyde copolymer 1,2-naphthoquinonediazide-5-sulfonateCAS:76169-06-7化学结构(C10H6N2O4S)x.(C7H8O)n.(CH2O)n详情供应商
80296-78-2甲酚-甲醛共聚物1,2-二叠氮基萘醌-4-磺酸酯Cresol-formaldehyde copolymer 1,2-naphthoquinonediazido-4-sulfonate;
Cresol-formaldehyde copolymer 3-diazo-3,4-dihydro-4-oxo-1-naphthalenesulfonate
CAS:80296-78-2化学结构(C10H6N2O4S)x.(C7H8O)n.(CH2O)n详情供应商
95522-45-5考来替兰;
环氧氯丙烷-2-甲基咪唑共聚物
Colestilan;
Colestilan chloride;
Colestimide;
Epichlorohydrin-2-methylimidazole copolymer
CAS:95522-45-5化学结构(C4H6N2)n.(C3H5ClO)n详情供应商
68441-69-01,2-乙二胺与1,3-二异氰酸根合甲苯的聚合物和油胺的反应产物1,2-Ethanediamine, polymer with 1,3-diisocyanatomethylbenzene, reaction products with oleylamine Tol(C18H37N.C9H6N2O2.C2H8N2)x详情供应商
9072-91-71,2-乙二醇与1,3-二异氰酸甲苯的聚合物1,2-Ethanediol, polymer with 1,3-diisocyanatomethylbenzene Toluene diisocyanate, ethylene glycol pol(C9H6N2O2.C2H6O2)x详情供应商
9057-91-41,3-二异氰酸根合甲苯与α-氢-ω-羟基-聚[氧(甲基-1,2-乙二烷基)]的聚合物;
聚-1,2-丙二醇与甲苯?
Poly[oxy(methyl-1,2-ethanediyl)], .alpha.-hydro-.omega.-hydroxy-, polymer with 1,3-diisocyanatomethy(C9H6N2O2.(C3H6O)nH2O)x详情供应商
9017-01-01,3-双异氰酸根合甲基苯的均聚物;
甲苯二异氰酸酯的聚合物
Benzene, 1,3-diisocyanatomethyl-, homopolymer Toluene diisocyanate polymer Tolylene diisocyanate, ho;
Isocyanicacid, methyl-m-phenylene ester, polymers (8CI);
1,3-Diisocyanatomethylbenzenehomopolymer;
Methyl-m-phenylene isocyanate polymer;
Poly(toluene diisocyanate);
Poly(tolylene diisocyanate);
TDI homopolymer;
TDI polymer;
Toluene diisocyanatehomopolymer;
Toluene diisocyanate polymer;
Tolylene diisocyanate homopolymer;
Tolylene diisocyanate polymer
CAS:9017-01-0化学结构(C9H6N2O2)x详情供应商
26006-20-22,4-异氰酸-1-甲苯的均聚物2,4-Toluene diisocyanate, homopolymer;
2,4-diisocyanato-1-methyl-benzen homopolymer;
poly(tolylene 2,4-diisocyanate);
2,4-Toluene diisocyanate,homopolymer
CAS:26006-20-2分子结构(C9H6N2O2)x详情供应商
68568-50-32-乙基-2-(羟甲基)-1,3-丙二醇与1,3-二异氰酸基甲基苯、α-氢化-ω-羟基聚[氧基(甲基-1,2-亚乙基)]和1,1'-?2-Ethyl-2-(hydroxymethyl)-1,3-propanediol, polymer with 1,3-diisocyanatomethylbenzene, .alpha.-hydro(C15H10N2O2.C9H6N2O2.C6H14O3.(C3H6O)nH2O)x详情供应商
68002-42-64,4'-二(1-甲基亚乙基)苯酚与氯甲基环氧乙烷的聚合物和2-甲基-1H-咪唑的反应产物Phenol, 4,4'-(1-methylethylidene)bis-, polymer with (chloromethyl)oxirane, reaction products with 2-;
Bisphenol A, epichlorohydrin polymer, 2-methylimidazole condensate
(C15H16O2.C4H6N2.C3H5ClO)x详情供应商
58698-66-15,5'-羰基双-1,3-异苯并呋喃二酮与2,4-二异氰酸根合-1-甲苯和1,1'-亚甲基双(4-异氰酸根合苯)的聚合物1,3-Isobenzofurandione, 5,5'-carbonylbis-, polymer with 2,4-diisocyanato-1-methylbenzene and 1,1'-me;
Benzophenonetetracarboxylic dianhydride, 2,4-toluenediisocyanate, 4,4'-methylenediphenyldiisocyanate polyimide
(C17H6O7.C15H10N2O2.C9H6N2O2)x详情供应商
68833-81-8α,α',α''-1,2,3-丙三基三[ω-羟基]聚[氧(甲基-1,2-乙二基)、1,3-二异氰酸合甲苯、&Poly[oxy(methyl-1,2-ethanediyl)], .alpha.,.alpha.',.alpha.''-1,2,3-propanetriyltris[.omega.-hydroxy](C15H10N2O2.C9H6N2O2.(C3H6O)n(C3H6O详情供应商
9069-50-5α-氢化-ω-羟基聚氧代-1,4-亚丁基-[1,4]与1,3-二异氰酸根合甲苯的聚合物;
聚丁二醇、二异氰酸甲苯酯反应物
Poly(oxy-1,4-butanediyl), .alpha.-hydro-.omega.-hydroxy-, polymer with 1,3-diisocyanatomethylbenzene(C9H6N2O2.(C4H8O)nH2O)x详情供应商
36812-63-2聚[亚氨基(1,2-二氧-1,2-二乙烯基)亚氨基-1,2-二乙烯基]Poly[imino(1,2-dioxo-1,2-ethanediyl)imino-1,2-ethanediyl];
BrueggolenP 22;
Diethyl oxalate-ethylenediamine polymer SRU;
Ethylene-1,2-diamine-oxalicacid copolymer, SRU;
Nylon 22
CAS:36812-63-2化学结构(C4H6N2O2)x详情供应商
68318-45-64,4'-(1-甲基亚乙基)双酚与(氯甲基)环氧乙烷、1,3-二异氰酸根合-2-甲基苯、2,4-二异氰酸根合-1-甲基苯和&alPhenol, 4,4'-(1-methylethylidene)bis-, polymer with (chloromethyl)oxirane, 1,3-diisocyan methylbenze(C15H16O2.C9H6N2O2.C9H6N2O2.(C3H6O)详情供应商
67015-60-5十八酸-1,2,3-丙三醇单酯、1,3-二异氰根合甲苯、3-羟基-2-羟甲基-2-甲基丙酸和2,2'-(甲亚氨基)双乙醇的聚合Octadecanoic acid, monoester with 1,2,3-propanetriol, polymer with 1,3-diisocyanatomethylbenzene, 3-;
Octadecanoicacid,monoesterwith1,2,3-propanetriol,polymerwith1,3-diisocyanatomethylbenzene,3-hydroxy-2-(hydroxymethyl)-2-methylpropanoicacidand2,2-(methylimino)bis[ethanol],sodiumsalt.Octadecanoicacid,monoesterwith1,2,3-propanetriol,polymerwith1,3-diisocyanatomethylbenzene,3-hydroxy-2-(hydroxymethyl)-2-methylpropanoicacidand2,2-(methylimino)bis[ethanol],sodiumsalt.
(C2H4O4.C9H6N2O2.C5H13NO2.C5H10O4)x详情供应商
59138-50-0十八烷酸-1,2,3-丙三醇单酯与1,3-二异氰酸根合甲苯和2,2'-(甲基亚氨基)双乙醇的聚合物Octadecanoic acid, monoester with 1,2,3-propanetriol, polymer with 1,3-diisocyanatomethylbenzene and(C21H42O4.C9H6N2O2.C5H13NO2)x详情供应商
86321-17-7Poly(oxy-1,2-ethanediyl),a-(1H-imidazol-1-ylcarbonyl)-w-methoxy-;
METHOXYPOLYOXYETHYLENE IMIDAZOLYL*CARBON YL;
Methoxypolyethylene glycol imidazolyl carbonyl
CAS:86321-17-7化学结构(C2H4O)nC5H6N2O2详情供应商
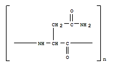
26894-34-8Poly[imino[(1S)-1-(2-amino-2-oxoethyl)-2-oxo-1,2-ethanediyl]];
Poly[imino[1-(2-amino-2-oxoethyl)-2-oxo-1,2-ethanediyl]],(S)-;
Poly[iminocarbonyl(2-carbamoylethylidene)], L- (8CI);
Poly(L-asparagine),SRU;
Polyasparagine;
Polyasparagine, SRU
CAS:26894-34-8化学结构(C4H6N2O2)n详情供应商
热门搜关键词:Pigment Orange 40 -特丁基-3-(2,6-二异丙基-4-苯氧基苯基)硫脲 C5H11O3Cl C12 O4 I H15 Io?u??? F3CC0Cl paratic C20H23O6N3S C12 Cl2 H16 chinovose h alumina octafluoroadipate Ethylindane tetrahydrodeoxyuridine HCCl2F Noradrenochrome CONCH3CH2 C18 N I H14 NTCA GLYCOL ACID pipe 6H2O SR 502 ethoxyChrysoidine C12H10O3ClP C7H15NH2 COTN 二溴 醇 C19H41BrN 甲基丙烯酸甲酯 丙烯酸甲酯 Tetraphenyldimethyldisiloxan C29H44N2O3 Tetraphenyltetramethyltrisiloxan C Blue 1 Butadienen C6 H5 N O2 c7h4no4s Salacetamide Cyclopenteneacetic propionic acid ethyl ester