CAS号查询化工产品

热门搜索化学品最多只显示前20条,请点击“搜索化学品”查看所有结果


CAS登录号 中文名 英文名 分子结构式 分子式 详情 供应商
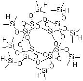
51777-38-9三甲基硅烷基笼形聚倍半硅氧烷Octakis(trimethylsiloxy)silsesquioxane;
Octakis[(trimethylsilyl)oxy]-pentacyclo[9.5.1.13,9.15,15.17,13]octasiloxane
CAS:51777-38-9分子结构C24H72O20Si16详情供应商
69667-29-4四甲基铵基笼形聚倍半硅氧烷Oktakis(tetramethylammonium)-T8-silisesquioxane;
Octakis(tetramethylammonium)pentacyclo[9.5.1.1(3,9).1(5,15).1(7,13)]octasiloxane-1,3,5,7,9,11,13,15-octakis(yloxide)
CAS:69667-29-4分子结构C32H96N8O20Si8详情供应商
125756-69-6二甲基硅烷基笼形聚倍半硅氧烷Octakis(dimethylsiloxy)-T8-silsequioxane;
(1,3,5,7,9,11,13,15-Octakis(dimethylsilyloxy)pentacyclo[9.5.1.1(3,9).1(5,15).1(7,13)]octasiloxane
CAS:125756-69-6化学结构C16H56O20Si16详情供应商
68554-49-43-氯丙基甲基-二甲基(硅氧烷与聚硅氧烷);
甲基倍半硅氧烷;
聚亚乙基-聚亚丙基二醇-单丁基醚的聚合物
Siloxanes and Silicones, 3-chloropropyl Me, di-Me, polymers with Mesilsesquioxanes and polyethylene-详情供应商
68037-68-3二甲基-二苯基-甲基乙烯基(硅氧烷与聚硅氧烷)与苯基倍半硅氧烷的聚合物Siloxanes and Silicones, di-Me, di-Ph, Me vinyl, polymers with Ph silsesquioxanes;
siloxanes and silicones, di-me, di-ph, me vinyl, polymers with ph silsesquioxan
详情供应商
68554-68-7二甲基硅氧烷与聚硅氧烷、甲基倍半硅氧烷、聚乙二醇-聚丙二醇、聚乙二醇-聚丙二醇单丁醚的聚合物Siloxanes and Silicones, di-Me, polymers with Me silsesquioxanes, polyethylene-polypropylene glycol详情供应商
68037-67-2二甲基-甲基苯基(硅氧烷与聚硅氧烷)与苯基倍半硅氧烷的聚合物Siloxanes and Silicones, di-Me, Me Ph, polymers with Ph silsesquioxanes;
siloxanes and silicones, di-me, me ph, polymers with phsilsesquioxanes;
Siloxanes and Silicones,di-Me,Me Ph,polymers with Ph silsesquioxanes
详情供应商
29159-37-3氨基乙基氨基丙基倍半硅氧烷水溶液AMINOPROPYLSILANETRIOL;
WATER-BORNE SILSESQUIOXANE OLIGOMER;
AMINOETHYLAMINOPROPYLSILSESQUIOXANE;
AMINOPROPYLSILSESQUIOXANE;
AMINOPROPYLSILANETRIOL;
Aminopropylsilsesquioxane oligomer;
AMINOETHYLAMINOPROPYLSILSESQUIOXANE-METHYLSILSESQUIOXANE COPOLYMER OLIGOMER;
AMINOPROPYLSILSESQUIOXANE OLIGOMER: 22-25% IN WATER;
AMINOETHYLAMINOPROPYLSILSESQUIOXANE-METHYLSILSESQUIOXANE COPOLYMER OLIGOMER: 22-25% IN WATER
CAS:29159-37-3分子结构C3H11NO3Si详情供应商
68957-05-1羟基封端的二甲基(硅氧烷与聚硅氧烷)和四氯苯基倍半硅氧烷的聚合物TETRACHLOROPHENYL-T-BRANCHED POLYDIMETHYLSILOXANE;
Hydrolyzeddimethyldichlorosilane,tetrachlorophenyltrichlorosilane,trimethylchlorosilanepolymer;
SiloxanesandSilicones,di-Me,polymerswithtetrachlorophenylsilsesquioxanes;
siloxanesandsiliconesdi-me,polymerwithtetrachlorophenylsilsesquioxanes;
tetrachlorophenyl-dimethylsiloxanebranchpolymer,viscosity:70cst.;
TETRACHLOROPHENYLSILSESQUIOXANE-DIMETHYLSILOXANE COPOLYMER;
TETRACHLOROPHENYL-T-BRANCHED POLYDIMETHYLSILOXANE;
TetrachlorophenyldimethylsiloxanebranchpolymerviscositycSt;
Chlorinatedphenylmethylpolysiloxane
详情供应商
73138-88-2二甲基(硅氧烷与聚硅氧烷)和苯基倍半硅氧烷的聚合物(PHENYLSILSESQUIOXANE)-(DIMETHYLSILOXANE) COPOLYMER;
(PHENYLSILSESQUIOXANE)-(DIMETHYLSILOXANE) COPOLYMER;
phenylsilsesquioxane-dimethylsiloxanecopolymer,70%phenyl;
SiloxanesandSilicones,di-Me,polymerswithPhsilsesquioxanes;
TRIMETHYLSILOXYPHENYL DIMETHICONE;
70%phenyl30%dimethyl;
PHENYLSILSESQUIOXANE-DIMETHYLSILOXANE COPOLYMER: 70% PHENYL, 30% DIMETHYL;
dimethylsiloxane, phenyl silsesquioxane polymer
详情供应商
68554-70-1甲基倍半硅氧烷POLY(METHYLSILSESQUIOXANE);
POLY(METHYLSILSESQUIOXANE);
Siliconeoilemulsion284P;
Silsesquioxanes,me;
poly(methylsilsesquioxane),100%methyl;
METHYLSILSESQUIOXANE;
POLY(METHYLSILSESQUIOXANE): 4.0-6.0% OH;
POLY(METHYLSILSESQUIOXANE): 100% METHYL, 2.5-4% OH;
POLY(PHENYL-VINYLSILSESQUIOXANE): AVERAGE 10% VINYL SUBSTITUTION
详情供应商
68554-65-4二甲基(硅氧烷与聚硅氧烷)、甲基倍半硅氧烷、聚亚乙基-聚亚丙基甘油-丁基醚的聚合物;
二甲基(硅氧烷与聚硅氧
SILICONE DEFOAMER - OIL;
siloxanesandsilicones,di-me,polymerswithmesilsesquioxanesandpolyethyle;
SiloxanesandSilicones,di-Me,polymerswithMesilsesquioxanesandpolyethylene-polypropyleneglycolmono-Buether;
SILICONE DEFOAMER - OIL;
POLYDIMETHYLSILOXY PEG/PPG-24/19 BUTYL ETHER SILSESQUIOXANE;
oildispersible;
Siloxanes and Silicones, di-Me, polymers with Me silsesquioxanes and polyethylene-polypropylene glycol mono-Bu ether;
dimethylsiloxane/methyl silsesquioxane/PPGMBE polymer
详情供应商
68554-64-3;
二甲基(硅氧烷与聚硅氧烷)/甲基倍半硅氧烷/聚丙二醇-丁基醚的聚合物
Siloxanes and Silicones, di-Me, polymers with Me silsesquioxanes and polypropylene glycol mono-Bu et;
Siloxanes and Silicones, di-Me, polymers with Me silsesquioxanes and polypropylene glycol mono-Bu ether;
dimethylsiloxane/methyl silsesquioxane/PGMBE polymer
详情供应商
68037-90-1苯基丙基硅倍半硅氧烷;
苯基丙基硅倍半硅氧烷
POLY(PHENYL-PROPYLSILESQUIOXANE);
POLY(PHENYL-PROPYLSILESQUIOXANE);
POLY(PHENYL-PROPYLSILSESQUIOXANE);
Phenyl,propylsilsesquioxane;
poly(phenyl-propylsilsesquioxane),70%phenyl,30%propyl;
Silsesquioxanes, Ph Pr;
POLY(PHENYL-PROPYLSILESQUIOXANE): 3-5% OH GROUPS;
3-5% OH GROUPS
详情供应商
68440-85-7;
二甲基(硅氧烷与聚硅氧烷)和甲基倍半硅氧烷的聚合物与氧化硼的反应产物
Siloxanes and Silicones, di-Me, polymers with Me silsesquioxanes, reaction products with boron oxide;
Siloxanes and Silicones, di-Me, polymers with Me silsesquioxanes, reaction products with boron oxide (B2O3);
siloxanes and silicones, di-me, polymers with me silsesquioxanes, reaction prod;
Siloxanes and Silicones, di-Me, polymers with Me silsesquioxanes, reaction products with boron oxide;
siloxanes and silicones, di-me, polymers with mesilsesquioxanes, reaction products with boron oxide;
Siloxanes and Silicones,di-Me,polymers with Me silsesquioxanes,reaction products with boron oxide;
ucts with boron oxide
详情供应商
热门搜关键词:100A c7h8o1n2 C5H8O4P2Cl2 POLYVINY ALCOHOL C10H10F4O 碳 EC NO C8H15NaO8 camu Carvomenthene C10H17O4 1-4 丁二醇 rITC 苯二甲酸 环己烷二甲醇 C19H32N2O5 三磷腺苷二钠 麦芽七糖 5-羟基-2-金刚烷酮 十三烷醇聚醚-4 环丁烷二羧酸 polyethoxylated 苯并 三氮唑 h6n2o C18H30O4s C14H22N2 C15H12I3NO4 C8H18ClN3 C11H11ON 羟基苯硫酚 (NHCOO)2 1-chloro-2-fluorobenze phenylethyl 2-methylbutyrate C6H11O6 4-tetradecene 2-Ethynylbenzofuran 6-keto-prostaglandin F1a 丹曲林钠 变肾上腺素 canthin-6-one Oxalic c14h28o cas:124-25-4