CAS号查询化工产品

热门搜索化学品最多只显示前20条,请点击“搜索化学品”查看所有结果


CAS登录号 中文名 英文名 分子结构式 分子式 详情 供应商
119447-19-7Adenosine, 2'-deoxy-,5'-(trihydrogen imidodiphosphate) (9CI);
2’-deoxy-5’-adenylyl imidodiphosphate
CAS:119447-19-7分子结构C10H16N6O8P2详情供应商
60522-21-6Guanosine,5'-(trihydrogen imidodiphosphate), tetralithium salt (9CI);
5'-Guanylylimidodiphosphatetetralithium salt
CAS:60522-21-6分子结构C20H28Li4N12O20P4详情供应商
72957-42-7腺苷酰基亚胺二磷酸四锂盐;
腺苷-5-(β,γ-亚氨基)三磷酸四锂
5'-Adenylic acid,monoanhydride with imidodiphosphoric acid, tetralithium salt (9CI);
Adenylyl-imidodiphosphatetetralithium salt
CAS:72957-42-7分子结构C10H17N6O12P3.4Li详情供应商
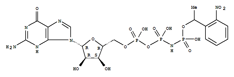
116271-22-85'-Guanylic acid,P'-anhydride with 1-(2-nitrophenyl)ethyl trihydrogen imidodiphosphate (9CI);
1-(2-nitro)phenylethyl-P(3)-guanylyl imidodiphosphate
CAS:116271-22-8化学结构C18H24N7O15P3详情供应商
25612-73-15'-Adenylic acid,anhydride with imidodiphosphoric acid (1:1);
5'-Adenylicacid, monoanhydride with imidodiphosphoric acid (8CI,9CI);
Imidodiphosphoricacid, monoanhydride with 5'-adenylic acid (8CI);
1JNK;
5'-Adenylyl (b,g-imidodiphosphate);
5'-Adenylyl imidodiphosphate;
AMP-PNP;
ATPbgNH;
Adenosine 5'-(b,g-imidotriphosphate);
Adenosine5'-(b,g-iminotriphosphate);
Adenosine b,g-imidotriphosphate;
Adenylyl imidodiphosphate;
Adenylyl b,g-imidodiphosphate;
b,g-Imido-ATP;
b,g-Imino-ATP;
b,g-Imino-adenosine 5'-triphosphate
CAS:25612-73-1分子结构C10H16N6O12P3-详情供应商
34273-04-65'-Guanylic acid,5'-anhydride with imidodiphosphoric acid;
5'-Guanylicacid, monoanhydride with imidodiphosphoric acid (8CI,9CI);
Imidodiphosphoricacid, monoanhydride with 5'-guanylic acid (8CI);
5-Guanylylimidodiphosphate;
5'-Guanylyl imidodiphosphate;
5'-Guanylyliminodiphosphonate;
Guanosine 5'-(b,g-imido)triphosphate;
Guanosine 5'-(b,g-imino)triphosphate;
Guanylyl imidodiphosphate;
Guanylyl-5'-(b,g-imido)diphosphate;
Guanylyl-b,g-imidodiphosphate;
b,g-Imidoguanosine-5'-triphosphate
CAS:34273-04-6分子结构C10H16N6O13P3-详情供应商
74812-64-95'-Guanylic acid,monoanhydride with imidodiphosphoric acid, tetrasodium salt (9CI);
BETA,GAMMA-IMIDOGUANOSINE 5’-TRIPHOSPHATE TRISODIUM SALT;
BETA:GAMMA-IMIDOGUANOSINE 5’-TRIPHOSPHATE TRISODIUM SALT;
GMP-PNP, TRISODIUM SALT;
GPP[NH]P TRISODIUM SALT;
GUANOSINE 5’-[BETA,GAMMA-IMIDO]TRIPHOSPHATE TRISODIUM SALT;
5’-GUANYLYLimidodiphosphate TRISODIUM SALT;
guanosine 5’-(B.,G.-imido)triphosphate trisodium salt;
GUANOSINE 5’-[B, G-IMIDO]TRIPHOSPHATE TRISODIUM SALT HYDRATE
CAS:74812-64-9分子结构C10H14N6Na3O13P3详情供应商
148892-91-55'-Guanylic acid,monoanhydride with imidodiphosphoric acid, trisodium salt (9CI);
5'-GUANYLYLimidodiphosphate TRISODIUM;
guanosine 5'-[β,γ-imido]triphosphate trisodium salt;
β:γ-imidoguanosine 5'-triphosphate trisodium salt;
5μ-Guanylyl-imidodiphosphate hydrate trisodium salt, GMP-PNP, Gpp(NH)p, β:γ-Imidoguanosine 5μ-triphosphate hydrate trisodium salt;
Guanosine 5μ-[β,γ-imido]triphosphate hydrate trisodium salt
CAS:148892-91-5分子结构C10H14N6Na3O13P3详情供应商
64564-03-05'-Guanylic acid,monoanhydride with imidodiphosphoric acid, tetralithium salt (9CI);
5'-GUANYLYL-imidodiphosphate TETRALITHIUM;
5'-GUANYLYL-imidodiphosphate TETRALITHIUM SALT;
5'-GUANYLIC ACID, MONOANHYDRIDE WITH IMIDODIPHOSPHORIC ACID, TETRALITHIUM;
GUANYLYL-imidodiphosphate, TETRALITHIUM;
GUANYLYL-imidodiphosphate TETRALITHIUM SALT;
GUANYLYL-5'-imidodiphosphate, TETRALITHIUM SALT;
GUANOSINE 5'-[BETA,GAMMA-IMIDO]TRIPHOSPHATE TETRALITHIUM SALT;
GPP(NH)P, TETRALITHIUM SALT
CAS:64564-03-0分子结构C10H13Li4N6O13P3详情供应商
热门搜关键词:C5 H9 H4SiMo12O40 METHY ANTHRANILATE TALL OIL ROSIN oroticacid grub CH3CH2CH2CH2OSO2OH NO2Cl 1-(2- 呋喃基)乙酮 antcin 巯基 苯 Indoleaceticacid C4H9O3 CH3CH2CH2CH2CH2OH C10H18OS 3-氧代己二酸 3-(decyloxy) 2-苯基-3-丁炔-2-醇 亚磺酸基 3,5-二氯氟苯 1,3,6-octatriene,3,7-dimethyl CETEARY ALCOHOL acetylfuran 丙烯酸 CAS NO ???l 环已烷二甲醇 C001 Bis(triphenylphosphine)nickel 2-Ethylbenzyl alcohol ??1e 二乙氨基乙硫醇 溴苯磺酸 3-cyclopenten-1-one HEXA-2,4-DIENOIC ACID n-C9H19N3 3,7-Dimethyl-1,5,7-octatriene-3-ol 1-methyl-3-propylimidazolium 8-Oxo-7,8-dihydro-2'-deoxyguanosine; 1-bromo-3,5-difluorobenzene hexen-1-yl