CAS号查询化工产品 >  CAS No.35931-57-8

35931-57-8  

CAS Number:35931-57-8 基本信息
英文名:80464 Thymidine,thymidylyl-(3'®5')-5'-thio-(9CI)
别名: thymidylyl(3’-5’)-5’-thio-5’-deoxythymidine
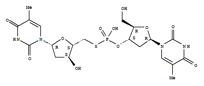
分子结构:
  • CAS:35931-57-8的分子结构
  • CAS:35931-57-8的分子结构
  • 1
  • 2
分子式: C20H27N4O11PS
分子量: 562.487
35931-57-8
InChI: 1S\/C20H27N4O11PS\/c1-9-5-23(19(29)21-17(9)27)15-3-11(25)13(34-15)7-33-36(31,32)37-8-14-12(26)4-16(35-14)24-6-10(2)18(28)22-20(24)30\/h5-6,11-16,25-26H,3-4,7-8H2,1-2H3,(H,31,32)(H,21,27,29)(H,22,28,30)\/t11-,12-,13+,14+,15+,16+\/m0\/s1
相关化学品信息
3-乙酰基吡啶  3-氟-4-甲基苯甲酸  3-氟-4-羟基苯甲酸  3-氯-4-氟硝基苯  4-氯-3-氟硝基苯  1-氟-4-(异丙烯基)苯  对氟硝基苯  3-氟苯乙烯  3-氟乙酰苯胺  间三氟甲基苯乙酸  D-组氨酸  3-氟-4-甲氧基苄氯  3-氟-4-甲氧基苯甲醛  4-氟乙酰苯胺  对氟氯苄  3-羟基-4-氨基丁酸  4,4-二氟乙酰乙酸乙酯  4-氟甲苯  1-氯-4-氟苯  对氟碘苯  4-三氟甲氧基氟苯  3-氟甲苯  甲基丙烯酸三氟乙酯  二乙基硫醚  胍乙酸  3-胍基丙酸  三氟化硼-二甲醚络合物  2-碘-1,1,1-三氟乙烷  三氟乙腈  五氟乙烷  
******
我的库存信息
尚未登录
您还没有登录,请先 登录注册
创建试剂库教程 试剂库常见问题