Tetrahedron letters

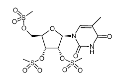
A new thymine free synthesis of the anti-AIDS drug d4T via regio/stereo controlled β-elimination of bromoacetates

BC Chen, SL Quinlan, JG Reid, RH Spector

文献索引:Chen, Bang-Chi; Quinlan, Sandra L.; Reid, J. Gregory; Spector, Richard H. Tetrahedron Letters, 1998 , vol. 39, # 8 p. 729 - 732

全文:HTML全文

被引用次数: 18

摘要

ABSTRACT: The anti-AIDS drug d4T was prepared without contamination of the nucleoside bond cleaved by-product thymine from the readily available ribonucleoside 5-methyluridine (1). This was accomplished by using a new strategy which involved a regio/stereo controlled β-elimination of trans-bromoacetates 6.