Chemische Berichte

Umsetzungen von Chlorwasserstoff mit 3??Methyl??1??butin: Cyclo??additions??und Umlagerungsreaktionen über Vinyl??Kationen

G Stammann, K Griesbaum

文献索引:Stammann, Guenter; Griesbaum, Karl Chemische Berichte, 1980 , vol. 113, # 2 p. 598 - 606

全文:HTML全文

被引用次数: 2

摘要

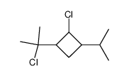
Abstract 3-Methyl-1-butin wurde mit wasserfreiem Chlorwasserstoff in der flüssigen Phase bei Raumtemperatur umgesetzt. Es wurden insgesamt 12 Produkte identifiziert: drei Monoaddukte (4, 6, 9), drei Diaddukte (5, 7, 10), ein Substitutionsprodukt (8) sowie fünf Cycloaddukte mit Cyclobutanringen (11–15). In Modelluntersuchungen wurden Hinweise auf die Bildungsweise der Reaktionsprodukte erhalten.

 相关合成线路

~%

详细

~%

详细

~%

详细

~%

详细

~%

详细

~36%

~%

详细

~%

~%

详细

~%

~11%

详细

~%

详细

~%

详细

~%

详细

~%

详细

~20%

详细

~%

~%

详细

~%

详细

~%

~%

~%

~3%

详细

~%

详细

~%

详细

~%

~%

详细

~%

详细

~%

详细

~%

详细

~%

详细

~%

详细

~%

详细

~%

~46%

详细

~%

详细