ChemicalBook--->CAS DataBase List--->1643669-23-1

1643669-23-1

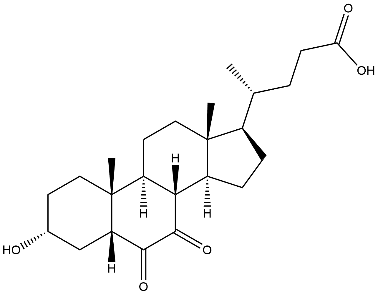
1643669-23-1 Structure

1643669-23-1 Structure
IdentificationBack Directory
[Name]

Cholan-24-oic acid, 3-hydroxy-6,7-dioxo-, (3α,5β)-
[CAS]

1643669-23-1
[Synonyms]

Cholan-24-oic acid, 3-hydroxy-6,7-dioxo-, (3α,5β)-
[Molecular Formula]

C24H36O5
[MOL File]

1643669-23-1.mol
[Molecular Weight]

404.54
Chemical PropertiesBack Directory
[Boiling point ]

567.0±25.0 °C(Predicted)
[density ]

1.176±0.06 g/cm3(Predicted)
[storage temp. ]

-20°C
[form ]

powder
[pka]

4.76±0.10(Predicted)
Hazard InformationBack Directory
[Uses]

6,7-Diketolithocholic acid (6,7-DiketoLCA) is an important bioactive compound with anti-inflammatory and bile acid metabolism regulating activities. 6,7-Diketolithocholic acid can affect lipid metabolism and regulate the balance of glucose and lipid metabolism in the body. 6,7-Diketolithocholic acid has also been studied for the inhibition of diseases related to abnormal cholesterol metabolism.
1643669-23-1 suppliers list
Company Name: Shanghai Keke Biotechnology Co., Ltd.  
Tel: 021-34975789 18721102763
Website: http://www.click-biotech.com
Company Name: Merck KGaA  
Tel: 21-20338288
Website: www.sigmaaldrich.cn
Company Name: ShangHai ZskBio CO., LTD  
Tel: 021-58056897 15399714481
Website: www.zsklab.cn
Tags:1643669-23-1 Related Product Information

  • HomePage | Member Companies | Advertising | Contact us | Previous WebSite | MSDS | CAS Index | CAS DataBase | Privacy | Terms | About Us
  • All products displayed on this website are only for non-medical purposes such as industrial applications or scientific research, and cannot be used for clinical diagnosis or treatment of humans or animals. They are not medicinal or edible.
    According to relevant laws and regulations and the regulations of this website, units or individuals who purchase hazardous materials should obtain valid qualifications and qualification conditions.
  • Copyright © 2023 ChemicalBook All rights reserved.