返回ChemicalBook首页>CAS数据库列表>2022-55-1

2022-55-1

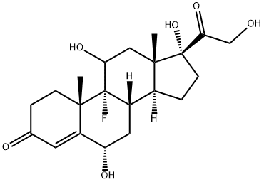
中文名称 9a-Fluoro-11, 6a, 17a, 21-Tetrahydroxy-Pregna-4-ene-3, 20-Dione
英文名称 9a-Fluoro-11, 6a, 17a, 21-Tetrahydroxy-Pregna-4-ene-3, 20-Dione
CAS 2022-55-1
分子式 C21H29FO6
分子量 396.45
MOL 文件 2022-55-1.mol
2022-55-1 结构式 2022-55-1 结构式

基本信息

中文别名
氟轻松相关化合物
氟轻松乙酰丙酮杂质1
9A-氟-11?,6A,17A,21-四羟基-PREGNA-4-ENE-3、20-二酮
英文别名
Fluocinolone Acetonide Impurity 1
Fluocinolone Acetonide Impurity 14
9a-Fluoro-11, 6a, 17a, 21-Tetrahydroxy-Pregna-4-ene-3, 20-Dione
"2022-55-1" 相关产品信息
106931-78-6 4306-83-6 67438-37-3 68352-03-4 76-25-5 356-12-7 62013-83-6 3830-58-8 303-40-2 1526-01-8 65751-34-0 67-73-2 807-38-5 13242-30-3 23641-05-6 389119-98-6 6598-95-4 2802-11-1