| | 177577-59-2 Basic information More.. |
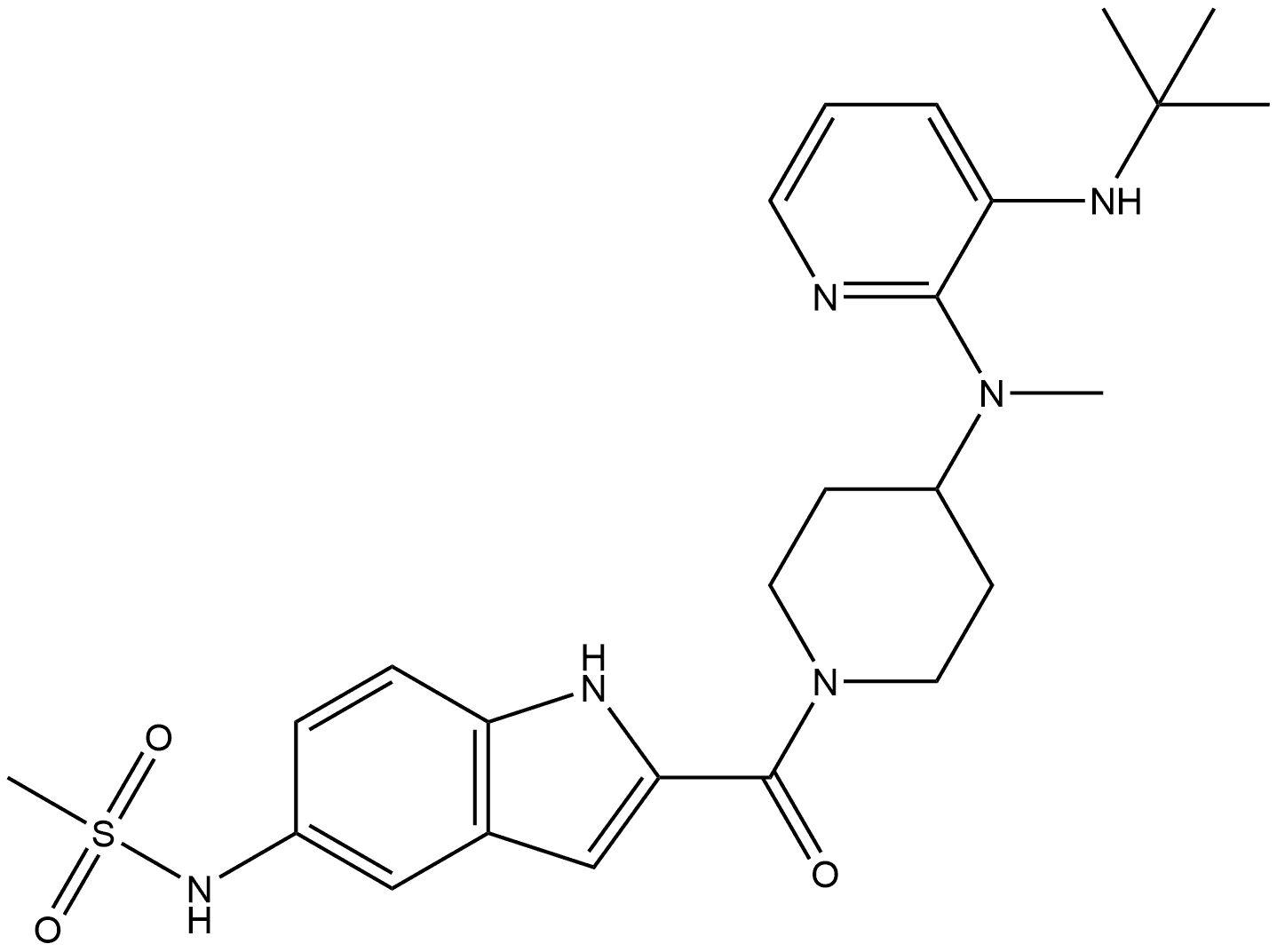
| Product Name: | Methanesulfonamide, N-[2-[[4-[[3-[(1,1-dimethylethyl)amino]-2-pyridinyl]methylamino]-1-piperidinyl]carbonyl]-1H-indol-5-yl]- | | Synonyms: | Methanesulfonamide, N-[2-[[4-[[3-[(1,1-dimethylethyl)amino]-2-pyridinyl]methylamino]-1-piperidinyl]carbonyl]-1H-indol-5-yl]-;U 95133 | | CAS: | 177577-59-2 | | MF: | C25H34N6O3S | | MW: | 498.64 | | EINECS: | | | Mol File: | Mol File |  |
|
|
177577-59-2 Recommend
Suppliers |
|
|
Recommend You Select Member Companies. |
|
1
|