1,3,4,6-TETRA-O-ACETYL-2-DEOXY-2-PHTHALIMIDO-BETA-D-GLUCOPYRANOSE synthesis
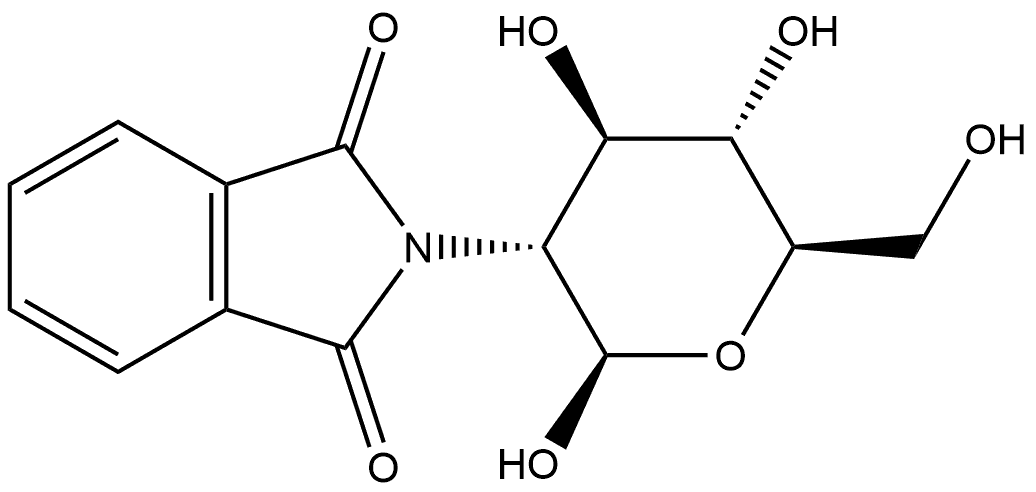
- Product Name:1,3,4,6-TETRA-O-ACETYL-2-DEOXY-2-PHTHALIMIDO-BETA-D-GLUCOPYRANOSE
- CAS Number:10022-13-6
- Molecular formula:C22H23NO11
- Molecular Weight:477.42
Yield:10022-13-6 90%
Reaction Conditions:
with pyridine;N,N-dimethyl-4-aminopyridine at 20;
References:
Yoshimura, Fumihiko;Itoh, Ryusei;Torizuka, Makoto;Mori, Genki;Tanino, Keiji [Angewandte Chemie - International Edition,2018,vol. 57,# 52,p. 17161 - 17167][Angew. Chem.,2018,vol. 130,p. 17407 - 17413] Location in patent:supporting information
85-44-9
782 suppliers
$9.00/5g
1078691-95-8
14 suppliers
inquiry
108-24-7
0 suppliers
$14.00/250ML
10022-13-6
103 suppliers
$14.00/1G
85-44-9
782 suppliers
$9.00/5g
14131-63-6
3 suppliers
inquiry
108-24-7
0 suppliers
$14.00/250ML
10022-13-6
103 suppliers
$14.00/1G
1078691-95-8
14 suppliers
inquiry
10022-13-6
103 suppliers
$14.00/1G