化学产品
功能化工材料
生物产品
企业名录
结构式搜索
搜索
批量搜索
搜索
搜索
搜索
热搜:
Lactoyl-CoA
全氟丁基戊烷
白叶藤碱
全氟己基辛烷
新白叶藤碱
壳寡糖
特色专题-生物多肽
Toggle navigation
首页
产品
New
厂家
化工词典
结构式搜索
资讯
问答
文献
注册
登录
960化工网
化工问答
问答详情
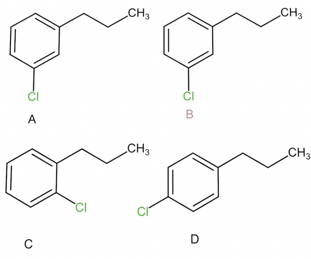
化合物的名称是: A. 间春鱼七-氯丙苯 B. 1-氯-3-丙基苯 C. o-氯丙苯 D. P-氯丙?
网友
1
最佳答案
回答者:网友
各个名称的化
合物的结构见图。
实际上,A和B的结构是相同
的。
我来回答
提交回答
重置
等你来答
请问哪家可以提供 Cleaning Solution?需要高品质的现货。
请问哪家可以提供 Dissolution Buffer?需要高品质的现货。
有没有周边的厂家可以提供 Aceto Carmine醋酸洋红染色液的?可以告知我们的大致位置。
我们需要优质品牌商提供 RT-LAMP MasterMix(电泳法) 产品,有货的厂家可以直接联系。
有没有周边的厂家可以提供 dNTP Stock Solutions的?可以告知我们的大致位置。
请问哪家可以提供 dNTP mix 25mM each?需要高品质的现货。
请问哪家可以提供 TPY培养基 TPY Medium?需要高品质的现货。
有没有周边的厂家可以提供 胶原纤维-弹力纤维两联切片染色试剂盒的?可以告知我们的大致位置。
我们需要优质品牌商提供 垂体细胞切片染色试剂盒 产品,有货的厂家可以直接联系。
我们需要优质品牌商提供 染色(碱性重氮反应法) 产品,有货的厂家可以直接联系。
最新化合物
1777825-17-8
2983060-44-0
2167444-51-9
2384680-66-2
172596-65-5
1808171-31-4
2093408-99-0
2382102-72-7
2935468-16-7
2983060-85-9
2306246-28-4
2760268-03-7
2970214-31-2
2349875-78-9
2415095-21-3
2090462-37-4
2955552-28-8
2940938-67-8
2970214-05-0
1350324-24-1
2814522-62-6
2384700-12-1
1784642-40-5
27561-53-1
19880-37-6
1350734-46-1
328974-66-9
1158721-63-1
34697-44-4
1347744-22-2
推荐
柴胡皂苷B4
2-羟基-3-丁烯基硫甙
586368-06-1
586954-09-8
叔丁基匹伐他汀
58725-34-1
甘草查耳酮B
γ-L-谷氨酰-L-丙氨酸
58754-46-4
橙皮内酯水合物
新木姜子碱
藏红花酸二甲酯
590368-25-5
新异甘草苷
藏红花酸二钠盐
591239-68-8
591726-26-0
59252-95-8
592542-59-1
瑞格色替钠
莲花掌苷
593273-05-3
593274-97-6
59453-24-6
断氧化马钱苷酸
荜茇宁
腊梅碱
L-苹果酸-D3
脱水莫诺苷元
α-玉柏碱
搜索
立即询盘
是否接受定制
g
mg
kg
ug
L
ml
吨
支
桶
瓶
盒
提交
相关产品
异丙醚
阿x芬净
AM-2394
依帕列净
二氮杂萘酮吡唑
磷酯酶A2
PD-161570
四肽-7
聚乙二醇
BV6