960化工网
Flying-seed-like liquid crystals 3: new guideline for the induction of mesomorphism by using bulky groups instead of long alkyl chains†‡
Ayaha Hachisuga,Miho Yoshioka,Kazuchika Ohta,Tomoyuki Itaya
Journal of Materials Chemistry C Pub Date : 07/22/2013 00:00:00 , DOI:10.1039/C3TC30584H
Abstract

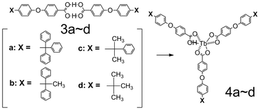
In our previous work, we synthesized a series of phthalocyanine-based flying-seed-like compounds, (nnnnPh-PhO)4444PcCu (n = 3, 2, 1 and 0 in nnnnnnnnnnnnnnnnnnnPh-PhO: a–d), and revealed that each of them shows a columnar liquid crystalline phase (Colho or Colrho) from rt to an extremely high temperature near 500 °C. Thus, we could obtain columnar liquid crystalline phases for discotic compounds by using bulky substituents (a–d) instead of long alkyl chains. In order to further study the utility of these bulky substituents (a–d) on the induction of mesomorphism for other shaped molecules, we have synthesized novel flying-seed-like calamitic phenoxybenzoic acid derivatives, nnnnnPh-PhOBA (3a–d), and their Mitsubishi-Mark-shaped terbium complexes, (nnnPh-PhOBA)333Tb·mmmMeOH (4a–d), in this work. Very interestingly, the mesomorphism of the phenoxybenzoic aids derivatives nnnnnPh-PhOBA (n = 0–3) was induced to show a mesophase (Mx) only by the bulky substituent d (n = 0), whereas the mesomorphism of their corresponding terbium complexes (nnnnnnnnnnnnnnnnnnPh-PhOBA)333333333333333333Tb(III) (n = 0–3) was induced to show rectangular columnar (Colr) mesophases by the bulky substituents c and d (n = 1, 0). On the other hand, the mesomorphism of the PcCu complexes (nnPh-PhOBA)44PcCu (n = 0–3) in our previous work was induced by all the bulky substituents a, b, c and d (n = 0–3). Thus, it becomes apparent that both calamitic and columnar mesomorphism can be induced by the substitution of bulky groups instead of long alkyl chains, and that the balance of the core size and the bulkiness of the substituents is very important to obtain mesomorphism in flying-seed-like compounds. We believe that this is a new guideline for the induction of mesomorphism by using bulky groups instead of long alkyl chains.

Graphical abstract: Flying-seed-like liquid crystals 3: new guideline for the induction of mesomorphism by using bulky groups instead of long alkyl chains
平台客服
平台客服
平台在线客服