960化工网
Solubility improvements in aromatic polyimides by macromolecular engineering
Suman Kumar Sen,Susanta Banerjee,Brigitte Voit
RSC Advances Pub Date : 03/20/2012 00:00:00 , DOI:10.1039/C2RA20175E
Abstract

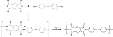
Polyimides are proved to be an important class of polymers due to their outstanding set of physical and chemical properties. However, this class of polymers suffers from poor processability, which limits their scope of application. This review article deals with approaches that have been undertaken by different researchers to improve the processability of this class of polymers. Mostly, these are synthetic approaches using new diamine and dianhydride monomers that reduce the interchain interaction of the final poyimide by flexibilizing the polymer chain or increasing the fraction free volume. Accordingly, the structural factors that are responsible for better processability are discussed and representative diamine and diahydride structures are tabulated under different categories. Major efforts towards development of soluble polyimides but maintaining excellent mechanical and thermal properties have been done by our group and are also covered in this article.

Graphical abstract: Solubility improvements in aromatic polyimides by macromolecular engineering
平台客服
平台客服
平台在线客服