化学产品
功能化工材料
生物产品
企业名录
结构式搜索
搜索
批量搜索
搜索
搜索
搜索
热搜:
Lactoyl-CoA
全氟丁基戊烷
白叶藤碱
全氟己基辛烷
新白叶藤碱
壳寡糖
特色专题-生物多肽
Toggle navigation
首页
产品
New
厂家
化工词典
结构式搜索
资讯
问答
文献
注册
登录
960化工网
化工问答
问答详情
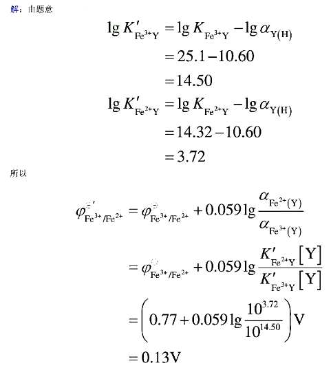
计算pH=3.,含有未配位来自EDTA浓度为.1mol•L-1时,Fe3+/Fe2+电对的条件电势...
计算pH=3.0,含有未配位EDTA浓度为0.10mol•L-1时,Fe3+/Fe2+电对的条件电势。已知pH=3.0时=10.60,。请帮忙给出正确答案和分析,谢谢!
网友
1
最佳答案
回答者:网友
参考答案:
我来回答
提交回答
重置
等你来答
请问哪家可以提供 Cleaning Solution?需要高品质的现货。
请问哪家可以提供 Dissolution Buffer?需要高品质的现货。
有没有周边的厂家可以提供 Aceto Carmine醋酸洋红染色液的?可以告知我们的大致位置。
我们需要优质品牌商提供 RT-LAMP MasterMix(电泳法) 产品,有货的厂家可以直接联系。
有没有周边的厂家可以提供 dNTP Stock Solutions的?可以告知我们的大致位置。
请问哪家可以提供 dNTP mix 25mM each?需要高品质的现货。
请问哪家可以提供 TPY培养基 TPY Medium?需要高品质的现货。
有没有周边的厂家可以提供 胶原纤维-弹力纤维两联切片染色试剂盒的?可以告知我们的大致位置。
我们需要优质品牌商提供 垂体细胞切片染色试剂盒 产品,有货的厂家可以直接联系。
我们需要优质品牌商提供 染色(碱性重氮反应法) 产品,有货的厂家可以直接联系。
最新化合物
3031792-00-1
2995296-25-6
1021162-86-6
3023062-20-3
2375322-31-7
1627721-91-8
2970214-47-0
2954726-78-2
2940963-37-9
2504204-13-9
2382315-24-2
2920436-44-6
3008229-62-4
3023062-28-1
3031722-62-7
2797977-82-1
1983184-76-4
2653202-63-0
2940869-60-1
1821504-67-9
946350-42-1
1073611-12-7
2763160-26-3
2940940-50-9
2940961-91-9
1824509-85-4
2970214-03-8
2565586-53-8
2940939-02-4
2940862-27-9
推荐
[(S)-4-2H]NADPH
Cerotoyl-CoA
2737-69-1
γ-Linolenoyl-CoA
53355-60-5
56898-43-2
64183-67-1
71800-97-0
(2R)-Methylmalonyl-CoA
2-Hydroxybenzoyl-CoA
50443-29-3
52322-03-9
68170-64-9
72052-13-2
[(R)-4-d]NADPH
144107-27-7
NSC 20267
8-Amino-ATP
58682-54-5
64363-04-8
74261-57-7
Benzoyl CoA lithium salt
75625-12-6
83008-69-9
trans-caffeoyl-CoA
374750-27-3
102282-28-0
4500-99-6
β-Hydroxypalmitoyl-CoA
ApppppA
搜索
立即询盘
是否接受定制
g
mg
kg
ug
L
ml
吨
支
桶
瓶
盒
提交
相关产品
AM-2394
依帕列净
二氮杂萘酮吡唑
磷酯酶A2
PD-161570
四肽-7
聚乙二醇
BV6
D-山梨醇
去甲汉黄芩素