基本信息:
中文名称 2-溴-1
来自-喹啉-6-基-乙酮
英文名称 2-bromo-1-q
uinolin-6-ylethanone
英文
别名 2-bromo-1-quinolin-6
静亲充占历察检十至论-yl-ethanone;RW3159;6-Bromacetylchinol
in;QC-1923;CAS号 97596
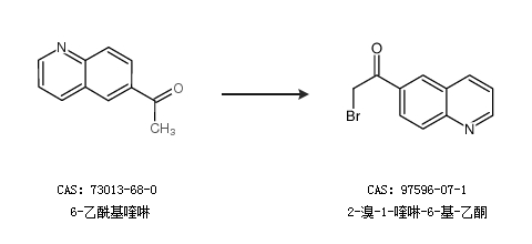
-07-1合成路线:
1.通过6-乙酰基喹啉合成2-溴-1-喹啉-6-基-乙酮

更
多路线和参考文献可参考http://baike.***.cn/cidian/1647639