
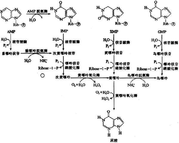
嘌呤核苷酸分解代谢反应基本过程是核苷酸在核苷酸酶的作用下水解成核苷,进而在酶作用下成自由的碱基及1-磷酸核糖。嘌呤碱最终分法屋婷有画罪回牛困夫师解成尿酸,随尿排出体外。黄嘌呤氧化酶是分解代谢中重要的酶。嘌呤核苷酸分解代谢主要在肝、小肠及肾中进行。嘌呤代谢异常:尿酸过多引起痛风症,患者血中尿酸含量升高,尿酸盐晶体可沉积于关节、软组织、软骨及肾等处,导致关节炎、尿路结石及肾疾病。临床上常用别嘌呤醇治疗痛风症。
1.从头合成途径(de novo synthesis):体内嘌呤核苷酸的合成代谢中,利用磷来自酸核糖、氨基酸、一碳单位及CO2等简单物质为原料,经过一系列酶促反应,合成嘌呤核苷酸称为从头合成途径。
2.补救合成途径(salvage pathway):利用体内游离的嘌呤或嘌呤核苷,经过简单的反应过程,合成嘌呤核苷酸,称为补救合成途径。
3.自毁容貌症:又称(Lesch-Nyhan综合症),是由于某些基因缺乏而导致HGPRT完全缺失的患儿,表现为自毁容貌症。.
