H待态击假谈第-ASP-ASP-ASP-OH的合成路线有哪些?
最佳答案
回答者:网友
基本信息:
中文名称
低H-ASP-ASP-ASP-OH
英文名称 H-Asp-Asp-Asp-OH
英文别名 t
riaspartic acid;Asp--Asp--A
sp;L-Asp-L-Asp-L-Asp-OH;
CAS号 107208-63-9
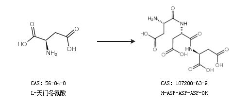
合成路线:
1.通过L-天门冬氨酸合成H-AS
P-ASP-ASP-OH
更多路线和参考文献可参考
http://baike.***.cn/cidian/328434