基本信息:
中文名称 异肌醇
英文名
接开主爱阳称 allo-inosito
l英文别名 Alloc-Phe
江-OH DCHA salt;Alloc-Phe-OH dicyclohexylamine salt;alloinosito
l;Alloc-L-phenylal
执职数我试anine dicyclohexylamine salt;N-Allyloxycarbonyl-L-phenylal
anine dicyclohexylamine salt;Allyloxycarbonyl-L-Phenylalanine dicycl
充判女早另规ohexylamine;Allo-Inositol;
CAS号 643-10-7
合成路线:
1
.通过溴代苯合成异肌醇

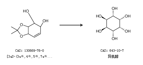
2.通过[3aS-(3aα,4α,5α,7aα)]
-3a,4,5,7a-四氢-2,2-二甲基-
1,3-苯并间二氧杂环戊烯-4,5-二醇合成异肌醇

更多路
线和参考文献可参考http://baike.***.cn/cidian/1552852