化学产品
功能化工材料
生物产品
企业名录
结构式搜索
搜索
批量搜索
搜索
搜索
搜索
热搜:
Lactoyl-CoA
全氟丁基戊烷
白叶藤碱
全氟己基辛烷
新白叶藤碱
壳寡糖
特色专题-生物多肽
Toggle navigation
首页
产品
New
厂家
化工词典
结构式搜索
资讯
问答
文献
企业QQ-库价通
注册
登录
960化工网
化工问答
问答详情
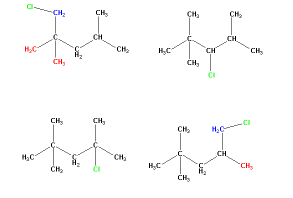
写出2,2,4-三甲基戊烷进行氯代反应可能得到的一氯代产物的结构式
网友
1
最佳答案
回答者:网友
如图,注意第一个和最后一个连在红色和蓝
色是等效的,是一种
我来回答
提交回答
重置
等你来答
公司现有最新的抗108项检测的减肥排便排油原料。不含国际违禁成分,对人体安全没有任何副作用。
赤峰水玻璃生产厂家
2-氯-4-氨基吡啶用途与合成方法
需要采购一批 Internal Saline ,请提供品牌、价格和货期,谢谢
我们需要一批优质的 DAB/Peroxide 产品,可以留下您的联系方式,谢谢!
我们需要一批优质的 TBST for xICC 产品,可以留下您的联系方式,谢谢!
我们需要一批优质的 Sucrose (60%) 产品,可以留下您的联系方式,谢谢!
需要采购一批 Imaging Solution ,请提供品牌、价格和货期,谢谢
我们需要一批优质的 Subbed Slides 产品,可以留下您的联系方式,谢谢!
附近可提供 QBT Buffer 产品的供应商麻烦提供一下报价~
最新化合物
2350304-04-8
2023-10-1
2022160-34-3
1527519-25-0
103666-97-3
1021463-98-8
2276812-15-6
98830-89-8
93114-14-8
92496-95-2
884302-52-7
876126-94-2
82009-28-7
81566-87-2
7724-33-6
763923-47-3
71857-24-4
70968-72-8
68819-72-7
58259-47-5
55823-68-2
40801-41-0
362499-07-8
351061-28-4
339989-03-6
3069764-37-7
3047292-98-5
303976-65-0
3034588-64-9
2963743-73-7
推荐
2097938-59-3
2097938-74-2
2097971-01-0
2098191-53-6
2098191-54-7
2098466-94-3
2098487-75-1
2098497-25-5
Betrixaban D6
20987-24-0
2098776-03-3
2098836-50-9
2098836-54-3
2098890-15-2
2098969-71-0
2099120-74-6
2099142-76-2
2100275-49-6
2100864-57-9
2101206-46-4
2101218-44-2
2101700-14-3
2101700-15-4
2101739-18-6
2101765-81-3
2101938-42-3
Enpatoran hydrochloride
2101955-00-2
2102101-72-2
2102179-29-1
搜索
立即询盘
是否接受定制
g
mg
kg
ug
L
ml
吨
支
桶
瓶
盒
提交
相关产品
四肽-7
聚乙二醇
BV6
D-山梨醇
去甲汉黄芩素
1,2-环己二酸酐
美睾酮
诃子林鞣酸
加替沙星
氨基甲酸苄酯