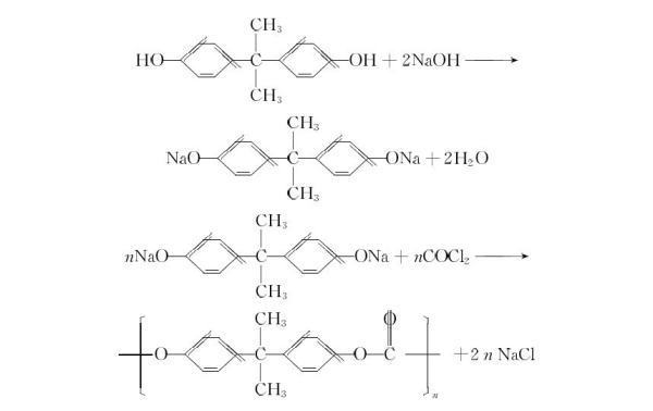
双酚A聚碳酸酯的用途

网友 1

最佳答案

回答者:网友

在很宽范围(15~130℃)内有良好的力学性能(高抗来自冲击性和耐蠕变性),具有高透明度、良好的尺寸稳定性和电绝缘性。作为工程塑料广泛用于透明材料、电器零部件、医疗器械和机械罩壳等。
也可以用于冷却水循环,油田注水等作阻垢分散剂。


我来回答