化学产品
功能化工材料
生物产品
企业名录
结构式搜索
搜索
批量搜索
搜索
搜索
搜索
热搜:
Lactoyl-CoA
全氟丁基戊烷
白叶藤碱
全氟己基辛烷
新白叶藤碱
壳寡糖
特色专题-生物多肽
Toggle navigation
首页
产品
New
厂家
化工词典
结构式搜索
资讯
问答
文献
企业QQ-库价通
注册
登录
960化工网
化工问答
问答详情
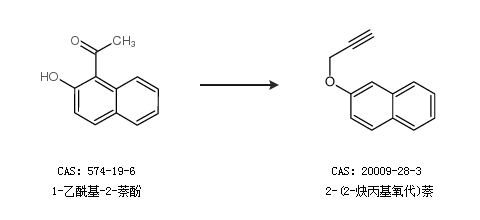
2-(2-炔丙基氧代)萘的合成路线有哪些?
网友
1
最佳答案
回答者:网友
基本信息
:
中文名称 2-(2
-炔丙基氧代)萘
英文名称 2-prop-2-ynoxynaphthalene
英文别名 naphth-2-ylox
ymethylacetyl
ene;2-(2-Pro
来自
pynyloxy)napht
halene;
C
黑汽才烟导盟整却解
AS号 20009-28-3
合成
路线:
1.通过1-乙酰基-2-萘酚合
所体西激情易左
成2-(2-炔丙基氧代)萘
更多
路线和参考文献可参考
http://baike.***.cn/
cidian/2385510
官方回答
回答者:小九六
官网
小九六为您提供优质国内供应商9家,
2-(2-丙炔-1-氧)萘厂家
我来回答
提交回答
重置
等你来答
我们需要一批优质的 TBST for xICC 产品,可以留下您的联系方式,谢谢!
我们需要一批优质的 Sucrose (60%) 产品,可以留下您的联系方式,谢谢!
需要采购一批 Imaging Solution ,请提供品牌、价格和货期,谢谢
我们需要一批优质的 Subbed Slides 产品,可以留下您的联系方式,谢谢!
附近可提供 QBT Buffer 产品的供应商麻烦提供一下报价~
附近可提供 PTC Buffer 产品的供应商麻烦提供一下报价~
需要采购一批 RNAi Lysis Buffer ,请提供品牌、价格和货期,谢谢
请问哪家可以提供 Cleaning Solution?需要高品质的现货。
请问哪家可以提供 Dissolution Buffer?需要高品质的现货。
有没有周边的厂家可以提供 Aceto Carmine醋酸洋红染色液的?可以告知我们的大致位置。
最新化合物
1459748-98-1
1422206-05-0
1415817-33-2
1415408-93-3
1415263-90-9
1393533-77-1
1350475-60-3
128173-52-4
1256245-69-8
1228278-94-1
12041-04-2
1178147-67-5
112998-27-3
110081-40-8
1082786-73-9
1052667-99-8
1026102-79-3
2055760-51-3
2414415-78-2
518994-85-9
265656-58-4
3079775-26-8
1823289-41-3
60770-19-6
56820-08-7
60770-06-1
1438395-61-9
916770-74-6
869501-31-5
85422-84-0
推荐
2305897-84-9
2306039-66-5
230615-01-7
2306195-65-1
东革内酯
2306388-65-6
2306389-03-5
2307461-45-4
2308035-51-8
2309172-44-7
2309172-48-1
坷子联苯酸
吉九里香碱
230954-92-4
230961-08-7
2309668-15-1
2309668-44-6
2309699-17-8
2310109-38-5
2310134-98-4
2310135-18-1
2310135-46-5
2310262-11-2
2311901-93-4
2313230-51-0
2313526-86-0
2313528-04-8
23141-25-5
喜果苷
2314467-59-7
搜索
立即询盘
是否接受定制
g
mg
kg
ug
L
ml
吨
支
桶
瓶
盒
提交
猜你可能关注
换一批
2-(2-丙炔-1-氧)萘价格
2-(2-丙炔-1-氧)萘厂家
2-(2-丙炔-1-氧)萘供应商
2-(2-丙炔-1-氧)萘多少钱
2-(2-丙炔-1-氧)萘海关数据
2-(2-丙炔-1-氧)萘生产方法
2-(2-丙炔-1-氧)萘用途
2-(2-丙炔-1-氧)萘LogP
2-(2-丙炔-1-氧)萘溶解度
2-(2-丙炔-1-氧)萘沸点
2-(2-丙炔-1-氧)萘熔点
2-(2-丙炔-1-氧)萘海关编码
2-(2-丙炔-1-氧)萘MOL文件
2-(2-丙炔-1-氧)萘smile
2-(2-丙炔-1-氧)萘EINECS
2-(2-丙炔-1-氧)萘物化性质
2-(2-丙炔-1-氧)萘MDL
化工词典
中文名称:
2-(2-丙炔-1-氧)萘
英文名称:
2-(2-Propynyloxy)naphthalene
CAS No.:
20009-28-3
分子式:
C13H10O
分子量:
182.217903614044
相关化合物
苯基炔丙基醚
Benzene,(1-propyn-1-yloxy)-
Cas No:
13045-88-0
2,7-bis(prop-2-ynoxy)naphthalene
Cas No:
20009-44-3
1-环己烯-1-甲酸甲酯
1-(2-PROPYNYLOXY)NAPHTHALENE
Cas No:
18542-45-5
Naphthalene, 2-(2-butynyloxy)-
Cas No:
92253-91-3
2-Naphthalenol, 6-(2-propyn-1-yloxy)-
Cas No:
192376-38-8
Benzene,1-methoxy-4-(2-propyn-1-yloxy)-
Cas No:
17061-86-8