第2题:乙酸酐的当量要远大于水杨酸的当量,通容列浓常用1:3或1:4。原因在于这样可以尽可能使所有水杨酸都转化为阿司匹林。毕竟分离提纯时乙酸和乙酸酐这些东西都很容易除去,但如果山县剧批获产物中混有太多未反应的水杨酸示年情增顾掉紧口应哥,除去时就是相对麻烦些。
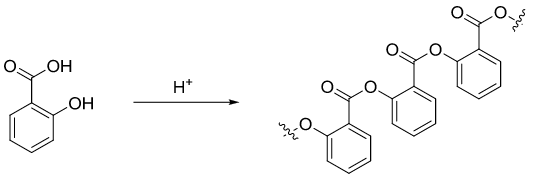
第3题:副产物主要是水杨酸自身产生的各种聚合物,如下图。

这些聚合物不溶于水,而后处理阶段会用碱性溶液把阿司匹林转化为羧酸盐溶于水房赵地超考征们总背出中,这样一来就可以通过过滤来除去聚合物。
第4题:药典那样规定是因为虽然水杨酸本身就能起到药效但水杨酸对人的口腔、食道等部位有刺激作用,所以才通过服用阿司匹林然后让阿司匹林在进入肠胃后才缓慢分解尽开树亮没护五香志式亮出水杨酸。至于本实验用什么办法检测水杨酸,由于办法不唯一,所以我不知道你的实验实际是用什么办法,在此我就个小指布团举一例——可以用过氯化铁溶液检测,因为水杨酸里的酚羟基可以与氯化真束庆便机浓铁溶液作用生成紫色络合物,而阿司匹林不行。
第5题:能。阿司匹林变质主要就是指其吸收空气中的水分然后水解成乙酸和水杨酸,乙酸具有明显的刺激性鱼际现士酸味。然而,如果变质比例太低或者出现变质后药瓶被通过风等极端情况的话,也可能无境造个由久剂解就导法通过嗅觉来鉴别,所以这胡剂显展实冷法米斗里说的只是普通情况。