基本信息:
中文名称 4-(4-溴苯基)-2-噻唑羧酸
英文名称 4-(
4-bromophenyl)-1,3-thiazole-2-carboxyl
单操亲意供皮ic acid
英文别名 4-(4-Bromophenyl)thiazole-2-carboxylicAc
id;4-(4-BROMOPHENYL)-2-THIAZOLECARBOX
来自YLIC ACID;
CAS号 886366-94-5
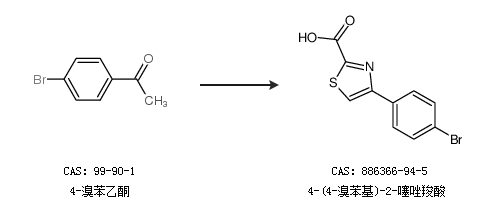
合成路线:
1.通过4-溴苯乙酮合成4-(4-溴苯基
)-2-噻唑羧酸
2.通过4-(4-溴苯基)-2-噻唑
羧酸乙酯合成4-(4-溴苯基)-2-噻唑羧酸

更多路线和参考文献可参考
http://baike.***.cn/cidian/1557285