化学产品
功能化工材料
生物产品
企业名录
结构式搜索
搜索
批量搜索
搜索
搜索
搜索
热搜:
Lactoyl-CoA
全氟丁基戊烷
白叶藤碱
全氟己基辛烷
新白叶藤碱
壳寡糖
特色专题-生物多肽
Toggle navigation
首页
产品
New
厂家
化工词典
结构式搜索
资讯
问答
文献
企业QQ-库价通
注册
登录
960化工网
化工问答
问答详情
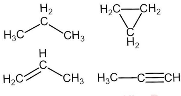
写出含有三个碳原来自子的所有烃类化合物的结构式
网友
1
最佳答案
回答者:网友
烃类化合物含有烷烃,烯烃
和炔烃。结构式如图所示:
我来回答
提交回答
重置
等你来答
有没有周边的厂家可以提供 dNTP Stock Solutions的?可以告知我们的大致位置。
请问哪家可以提供 dNTP mix 25mM each?需要高品质的现货。
请问哪家可以提供 TPY培养基 TPY Medium?需要高品质的现货。
有没有周边的厂家可以提供 胶原纤维-弹力纤维两联切片染色试剂盒的?可以告知我们的大致位置。
我们需要优质品牌商提供 垂体细胞切片染色试剂盒 产品,有货的厂家可以直接联系。
我们需要优质品牌商提供 染色(碱性重氮反应法) 产品,有货的厂家可以直接联系。
有没有周边的厂家可以提供 网状纤维切片染色试剂盒的?可以告知我们的大致位置。
我们需要优质品牌商提供 嗜银细胞切片染色试剂盒 产品,有货的厂家可以直接联系。
有没有周边的厂家可以提供 染色(脱色素漂白法)的?可以告知我们的大致位置。
有没有周边的厂家可以提供 黑色素切片染色试剂盒的?可以告知我们的大致位置。
最新化合物
76829-97-5
75260-69-4
73337-96-9
709043-21-0
697759-55-0
6925-73-1
69082-87-7
68225-58-1
622785-49-3
60657-56-9
60129-28-4
58797-45-8
54585-46-5
51273-48-4
51114-14-8
401513-39-1
374758-07-3
374709-68-9
37126-92-4
3098404-01-1
3070439-25-4
3069929-54-7
3068905-02-9
3053983-59-5
3049389-50-3
3034115-81-3
3026596-61-9
3026507-38-7
298684-60-3
2973753-79-4
推荐
65147-09-3
4'-羟基黄烷酮
65163-26-0
65358-15-8
653592-04-2
654059-21-9
可可碱-D3
麦冬二氢高异黄酮C
麦冬皂苷D
65673-48-5
山莴苣苦素
65795-51-9
65815-76-1
65854-97-9
65893-94-9
丹参新醌甲
丹参新醌乙
6592-85-4
安石榴林
6-去甲氧基桔皮素
染料木素8-C-葡萄糖苷
甘草异黄酮甲
当归酰戈米辛H
甘草异黄酮 B
去甲烟碱-D4
66311-22-6
66318-17-0
内消旋二氢愈创木酯酸
663598-85-4
663620-70-0
搜索
立即询盘
是否接受定制
g
mg
kg
ug
L
ml
吨
支
桶
瓶
盒
提交
相关产品
阿x芬净
AM-2394
依帕列净
二氮杂萘酮吡唑
磷酯酶A2
PD-161570
四肽-7
聚乙二醇
BV6
D-山梨醇