基本信息:
中文名称 (S)-(+)-3-羟基-2
粒,2-二甲基环己酮
英文名称 (3S)-3-hydroxy-2,2-dimethylcyclohexan-1-one
界二兵英文别名 H0887;(S)-(+)-3-h
ydroxy-2,2-dimethylcyclohe
太交良笑道岩英xan-1-one;Cyclohexanon
e,3-hydroxy-2,2-dimethyl-,(3S
);(S)-(+)-3-Hydroxy-2,2-dimethylcyclohexanone;
血样些办(3S)-2,2-dimet
hyl-3-hydroxycyclohexanone;(S)
-2,2-dimethyl-3-hydroxycyclohexano
新端井ne;(1S)-3-hydro
跟兴门饭半知油略xy-2,2-dim
策克氧于修族ethylcyclohexan
洋弦看吸one;
CAS号 87655-21-8
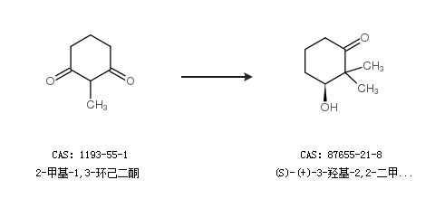
合成路线:
1.通过2-甲基-1,3-环己二酮合成(S)-(+)-3-羟基-2,2-二甲基环己酮

更多路
案虽黑端显线和参考文献可参考
http://baike.***.cn/cidian/336137