化学产品
功能化工材料
生物产品
企业名录
结构式搜索
搜索
批量搜索
搜索
搜索
搜索
热搜:
Lactoyl-CoA
全氟丁基戊烷
白叶藤碱
全氟己基辛烷
新白叶藤碱
壳寡糖
特色专题-生物多肽
Toggle navigation
首页
产品
New
厂家
化工词典
结构式搜索
资讯
问答
文献
注册
登录
960化工网
化工问答
问答详情
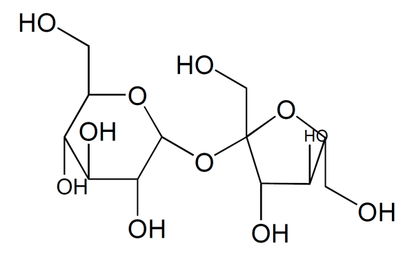
蔗糖的结构式,淀粉的结构式 希望能有个图
蔗糖的结构式,淀粉的结构式希望能有个图... 蔗糖的结构式,淀粉的结构式 希望能有个图 展开
网友
1
最佳答案
回答者:网友
蔗糖分子结
限田即想成和
构式:
淀粉可以看作是葡萄糖的高聚体。几种常见构型的葡萄糖的分子结构式:
另附PDF文件,见附件。
很抱歉,回答者上传
来自
的附件已失效
我来回答
提交回答
重置
等你来答
需要采购一批 RNAi Lysis Buffer ,请提供品牌、价格和货期,谢谢
请问哪家可以提供 Cleaning Solution?需要高品质的现货。
请问哪家可以提供 Dissolution Buffer?需要高品质的现货。
有没有周边的厂家可以提供 Aceto Carmine醋酸洋红染色液的?可以告知我们的大致位置。
我们需要优质品牌商提供 RT-LAMP MasterMix(电泳法) 产品,有货的厂家可以直接联系。
有没有周边的厂家可以提供 dNTP Stock Solutions的?可以告知我们的大致位置。
请问哪家可以提供 dNTP mix 25mM each?需要高品质的现货。
请问哪家可以提供 TPY培养基 TPY Medium?需要高品质的现货。
有没有周边的厂家可以提供 胶原纤维-弹力纤维两联切片染色试剂盒的?可以告知我们的大致位置。
我们需要优质品牌商提供 垂体细胞切片染色试剂盒 产品,有货的厂家可以直接联系。
最新化合物
121190-86-1
3047292-97-4
2860499-50-7
1971921-29-5
2227096-41-3
89240-88-0
848302-22-7
74262-45-6
6082-69-5
53039-89-7
335212-73-2
3043837-05-1
2920738-34-5
2916559-62-9
2834094-36-7
2787493-69-8
27563-52-6
2489408-44-6
2448390-63-2
2385106-05-6
2377358-04-6
2375597-30-9
2348494-06-2
2313568-72-6
220399-92-8
2097610-88-1
206440-43-9
2034117-77-4
1862196-90-4
1825371-79-6
推荐
2245880-46-8
2245892-85-5
2245942-72-5
2246380-69-6
2246607-08-7
2247127-79-1
2247372-59-2
2247491-97-8
2247544-02-9
2247614-80-6
2247953-39-3
2248003-71-4
2248154-85-8
2248203-61-2
2249106-01-0
2249750-23-8
2249750-27-2
2249944-98-5
2249944-99-6
2250091-96-2
2250288-69-6
2250323-50-1
2251806-70-7
2252162-81-3
2252247-80-4
2252316-16-6
2252319-44-9
2252334-12-4
2252395-44-9
225240-86-8
搜索
立即询盘
是否接受定制
g
mg
kg
ug
L
ml
吨
支
桶
瓶
盒
提交
相关产品
AM-2394
依帕列净
二氮杂萘酮吡唑
磷酯酶A2
PD-161570
四肽-7
聚乙二醇
BV6
D-山梨醇
去甲汉黄芩素