化学产品
功能化工材料
生物产品
企业名录
结构式搜索
搜索
批量搜索
搜索
搜索
搜索
热搜:
Lactoyl-CoA
全氟丁基戊烷
白叶藤碱
全氟己基辛烷
新白叶藤碱
壳寡糖
特色专题-生物多肽
Toggle navigation
首页
产品
New
厂家
化工词典
结构式搜索
资讯
问答
文献
企业QQ-库价通
注册
登录
960化工网
化工问答
问答详情
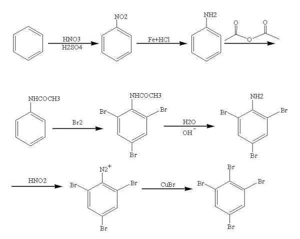
如何用苯合成1.2.3.5四溴苯
苯酚的羟基貌似下不去... 苯酚的羟基貌似下不去 展开
网友
1
最佳答案
回答者:网友
如图,用重氮盐定备拍逗位,可以顺利仿卖
进行贺枯。
我来回答
提交回答
重置
等你来答
有没有周边的厂家可以提供 dNTP Stock Solutions的?可以告知我们的大致位置。
请问哪家可以提供 dNTP mix 25mM each?需要高品质的现货。
请问哪家可以提供 TPY培养基 TPY Medium?需要高品质的现货。
有没有周边的厂家可以提供 胶原纤维-弹力纤维两联切片染色试剂盒的?可以告知我们的大致位置。
我们需要优质品牌商提供 垂体细胞切片染色试剂盒 产品,有货的厂家可以直接联系。
我们需要优质品牌商提供 染色(碱性重氮反应法) 产品,有货的厂家可以直接联系。
有没有周边的厂家可以提供 网状纤维切片染色试剂盒的?可以告知我们的大致位置。
我们需要优质品牌商提供 嗜银细胞切片染色试剂盒 产品,有货的厂家可以直接联系。
有没有周边的厂家可以提供 染色(脱色素漂白法)的?可以告知我们的大致位置。
有没有周边的厂家可以提供 黑色素切片染色试剂盒的?可以告知我们的大致位置。
最新化合物
1228391-68-1
70369-29-8
179871-73-9
1448639-95-9
107882-48-4
1931100-79-6
1619260-05-7
1685246-20-1
476487-22-6
2756970-65-5
1823903-52-1
104531-22-8
3087256-43-4
1147426-64-9
1379000-92-6
1514923-70-6
1639419-51-4
2624128-47-6
2222417-63-0
977-88-8
90228-09-4
874536-54-6
873874-39-6
871711-77-2
80648-27-7
680202-76-0
676537-71-6
65567-84-2
32700-92-8
2896126-31-9
推荐
444606-18-2
帕唑帕x杂质3
445222-91-3
446022-33-9
黄霉素X二甲醚
447415-26-1
4491-19-4
450348-85-3
451493-31-5
452072-20-7
45214-52-6
452-35-7
452967-14-5
453590-24-4
4551-00-2
455264-30-9
457048-34-9
Hydroxy-PEG2-methyl ester
松柏醛
米托胍腙
461023-63-2
N-苯甲酰基-L-天冬氨酸
4643-58-7
464930-42-5
3Α-羟基-7-氧代-5Β-胆烷酸
465-18-9
嚏根草配基
夏至素
雪上一枝蒿乙素
血红素
搜索
立即询盘
是否接受定制
g
mg
kg
ug
L
ml
吨
支
桶
瓶
盒
提交
相关产品
PD-161570
四肽-7
聚乙二醇
BV6
D-山梨醇
去甲汉黄芩素
1,2-环己二酸酐
美睾酮
诃子林鞣酸
加替沙星