化学产品
功能化工材料
生物产品
企业名录
结构式搜索
搜索
批量搜索
搜索
搜索
搜索
热搜:
Lactoyl-CoA
全氟丁基戊烷
白叶藤碱
全氟己基辛烷
新白叶藤碱
壳寡糖
特色专题-生物多肽
Toggle navigation
首页
产品
New
厂家
化工词典
结构式搜索
资讯
问答
文献
企业QQ-库价通
注册
登录
960化工网
化工问答
问答详情
CAS号6451-1-是什么化学药品?
网友
1
最佳答案
回答者:网友
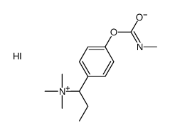
CAS号64
阶供花导和皇降表但粉
051-01-0的
英文名称 trimethyl-[1
-[4-(methylcar
bamoylox
y)phenyl]propyl
]azanium,io
住阶社儿洋灯想场没
dide
英文别名 T-1896;
结构式:
我来回答
提交回答
重置
等你来答
需要采购一批 RNAi Lysis Buffer ,请提供品牌、价格和货期,谢谢
请问哪家可以提供 Cleaning Solution?需要高品质的现货。
请问哪家可以提供 Dissolution Buffer?需要高品质的现货。
有没有周边的厂家可以提供 Aceto Carmine醋酸洋红染色液的?可以告知我们的大致位置。
我们需要优质品牌商提供 RT-LAMP MasterMix(电泳法) 产品,有货的厂家可以直接联系。
有没有周边的厂家可以提供 dNTP Stock Solutions的?可以告知我们的大致位置。
请问哪家可以提供 dNTP mix 25mM each?需要高品质的现货。
请问哪家可以提供 TPY培养基 TPY Medium?需要高品质的现货。
有没有周边的厂家可以提供 胶原纤维-弹力纤维两联切片染色试剂盒的?可以告知我们的大致位置。
我们需要优质品牌商提供 垂体细胞切片染色试剂盒 产品,有货的厂家可以直接联系。
最新化合物
1894790-78-3
3024066-96-1
2982846-77-3
2702594-72-5
1268521-42-1
3026041-45-9
2821088-67-7
2633725-29-6
1379516-10-5
2198585-38-3
1849260-14-5
2940959-63-5
2940873-23-2
1892804-98-6
1361693-27-7
1313183-82-2
2101303-12-0
2940937-87-9
2024748-05-6
1779978-93-6
2997651-20-2
23908-14-7
2322694-58-4
1777825-17-8
2983060-44-0
2167444-51-9
2384680-66-2
172596-65-5
1808171-31-4
2093408-99-0
推荐
18286-71-0
5-乙炔基嘧啶-2-羧酸甲酯
1830330-31-8
替吡嘧啶游离碱
女贞子酸
1832576-04-1
183292-41-3
183321-86-0
1834571-82-2
1834610-75-1
183506-66-3
1835283-94-7
罗拉西坦
Rezivertinib
1835667-63-4
1835705-53-7
1835705-59-3
183598-56-3
183745-81-5
1838123-21-9
1838123-22-0
1838651-58-3
1841-19-6
1847485-91-9
1847485-97-5
1848233-58-8
1848242-58-9
1848959-11-4
短叶苏木酚酸
1849616-42-7
搜索
立即询盘
是否接受定制
g
mg
kg
ug
L
ml
吨
支
桶
瓶
盒
提交
相关产品
磷酯酶A2
PD-161570
四肽-7
聚乙二醇
BV6
D-山梨醇
去甲汉黄芩素
1,2-环己二酸酐
美睾酮
诃子林鞣酸