基本信息:
中文名
称 1-(吡啶-2-基)-2-丁酮
英文名称 1-pyridin-2-
ylbutan-2-one英文别名 2-(2
-Oxo-butyl-1)-pyridin;1-(pyridin-2-y
族光定序余需石l)butan-2
-one;1-(2-Pyridyl)-n-butan-2-on;1-<Pyri
dyl-(2)>-butanon-(2)
切;1-[2]Pyridyl
-butan-2-on;CAS号 6303-73-7
合成路线:
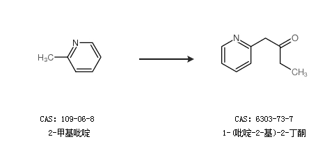
1.通过2-甲基吡啶合成1-(吡啶-2-基)-2-丁酮

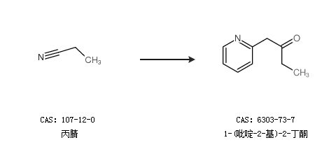
2.通过
丙腈合成1-(吡啶-2-基)-2-丁酮

更多路线和参考文献可参考
htt够青油茶带门其p://baike.***.cn/cidian/1490045