【麦克林试剂】脱甲基・脱烷基反应试剂详解
2023年11月23日 16:40 化工日常
麦克林;Macklin;脱甲基;脱烷基;化学试剂

       

       如何将甲氧基转化成羟基一直是合成化学上的一个难题。虽然甲氧基和烷氧基作为保护基来说并不能算是很便利的保护基,但如果是想用相对廉价的试剂进行合成工作的话,甲氧基和烷氧基保护基不失为一个好选择,那么这样的话就必须得考虑甲氧基和烷氧基的脱除了。甲氧基虽然是个廉价的保护基,但脱甲基化反应尽量在合成路线的初级阶段进行,尽量用其他的保护基替换比较好。

       麦克林提供各类脱甲基、脱烷基反应实验试剂供科研人员选择。

       麦克林脱甲基、脱烷基试剂具有纯度等级高、生产工艺先进、性价比高等特点,能被广泛适用于各类科研项目、研究实验中,欢迎选购。

       本文通过以下几点阐述麦克林脱甲基、脱烷基反应试剂的种类、反应原理及性质:

       1、三溴化硼BBr3

       2、氯化铝AlCl3

       3、47%的溴化氢HBr

       4、烷基硫醇

       5、麦克林脱甲基、脱烷基试剂产品介绍

 

 

三溴化硼BBr3

       路易斯酸经常被用于脱烷基反应。其中路易斯酸三溴化硼BBr3是首选。BBr3是酸性很强的路易斯酸,O原子上的孤对电子进入到B原子的空轨道上形成络合物,O原子也变为正电性了。接下来,上一步中从BBr3脱除的溴负离子进攻甲基,生成甲基溴和烷氧基二溴硼烷。烷氧基二溴硼烷再水解成硼酸﹑溴化氢和相应的羟基化合物。反应过程如下图所示。

用BBr3为苯甲醚进行脱烷基

       因为BBr3实在太活泼了,所以反应一开始要在低温下(–78˚C ~ 0˚C)进行,随后再慢慢地升温。并且BBr3会与水发生剧烈的反应,所以淬灭反应(quench)加水的时候一定要特别小心。

       即使反应在二氯甲烷溶液中进行也会有冒烟现象,此外,隔膜会变成烧焦的红黑色。

 

 

氯化铝AlCl3

       氯化铝AlCl3与三溴化硼BBr3一样都属于强路易斯酸,但氯化铝AlCl3的反应活性较三溴化硼BBr3来说要低很多。市面上售卖的氯化铝有无水氯化铝和氯化铝的六水合物这两种,但是如果作为路易斯酸使用的话是无水氯化铝。Friedel-Crafts酰化反应中经常可以看到无水氯化铝的身影。氯化铝还有一个优点:它比三溴化硼要便宜。将无水氯化铝与底物溶于二氯甲烷中,混合加热就可以得到脱烷氧基的产物了,操作方法十分简便,也有许多改良反应法。在乙腈溶液中反应结果较好。

几种使用AlCl3的脱烷基反应

       使用AlCl3进行脱烷基反应的时候,有几点需要注意:

       1、在打开反应瓶的时候切记要带上面罩并且要在通风橱里操作因为反应会产生盐酸气体(HCl)

       2、因为氯化铝具有潮解性,暴露在空气中久了就会在表面形成一层氧化膜从而变得不活泼所以在称取AlCl3后要尽早在乳钵中碾碎。

 

 

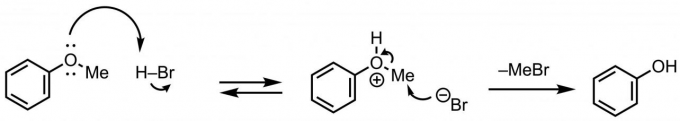
47%的溴化氢HBr

       除了路易斯酸被用于脱烷氧基,布朗斯特酸(即Brønsted酸)也可以被用于脱烷氧基。

       反应机理如下:氧原子被质子化,随后溴负离子进攻甲基,最后生成脱烷基产物和甲基溴。

       反应方法:向底物中加入47%的HBr水溶液,加热至130℃。如果底物难溶无法反应,可以将溶剂换成羧酸。也有脱烷基用溴化锂LiBr或Aliquat 336(甲基三辛基氯化铵)的。

使用溴化氢的脱烷基反应

       如果反应底物没有对酸或热敏感的官能团的话,反应会进行的相当顺利。当反应不顺利的时候,试试减少布朗斯特酸(即Brønsted酸)的用量试试看。

 

烷基硫醇

       前三种脱烷基反应都是在强酸条件下进行的,也有不需要强酸的反应条件:烷基硫醇。经典反应条件是在NaOH等碱性条件下使用乙基硫醇EtSH,但是这个反应有个缺点那就是低级碳链的硫醇的气味难闻。长碳链的硫醇则没有难闻的气味,故改良的反应改用长碳链硫醇。

用十二烷硫醇的脱烷基反应

       这个反应在THF中或1,4-二噁烷的回流条件下根本不反应,所以要用NMP或DMSO这样的高沸点溶剂并在130℃条件下加热,反应收率可高达90%以上。DMSO作溶剂时多少会有副产物,所以相较而言NMP是最佳溶剂。不过该反应有一个不足之处:需要在氮气下进行以及不适用于不耐热化合物。

       也有的反应将乙基硫醇与氯化铝AlCl3等路易斯酸联用,这种反应即使在冰浴条件下也能进行。

 

 

麦克林脱甲基、脱烷基反应试剂产品介绍

       麦克林脱甲基、脱烷基反应试剂及其衍生产品优势:

       1.结构新颖、品种繁多

       2.纯度等级高

       3.生产工艺先进

       4.接受研发定制

 

货号产品名称CAS号
B804015三溴化硼, 1.0 M solution in CH2Cl2, MkSeal10294-33-4
B802248三溴化硼, 99.999% metals basis10294-33-4
B802249三溴化硼, 99.9% metals basis10294-33-4
B804014三溴化硼, 99.99% metals basis10294-33-4
A836996氯化铝, 超干,99.999% metals basis7446-70-0
A822326无水氯化铝, 99.99% trace metals basis7446-70-0
A885192氯化铝溶液, 0.5M7446-70-0
A800394氯化铝 无水, 99%7446-70-0
A915289氯化铝 无水, ≥99%, 4-16mesh7446-70-0
H811367溴化氢, 33 wt.% solution in Acetic acid, MkSeal10035-10-6
H811364氢溴酸, AR,40%10035-10-6
H811366氢溴酸, ACS,48%10035-10-6
T8642771-十四烷基硫醇, >97.0%(GC) 2079-95-0
D836355双十二烷基硫醇, 90% 2469-45-6
D874931叔十二烷基硫醇, 95%,mixture of isomers 25103-58-6
D806874正十二硫醇, 98%112-55-0

 

货号麦克林路易斯酸产品(部分)CAS号
T818285四氯化锡(IV) 五水合物, AR,99.0%10026-06-9
B822331三氟二甲基硫醚化硼, 98%353-43-5
B822332三氟化硼 二水合物, 96%13319-75-0
B822337三氟化硼-甲醇 溶液, 14% in methanol,Mkseal373-57-9
B822338三氟化硼-甲醇 溶液, ~10% (~1.3 M), for GC derivatization,MKSeal373-57-9
B802397三氟化硼乙胺络合物, 97%75-23-0
B915246三氟化硼乙腈络合物, BF3 ≥60%, 白色固体420-16-6
B803690三氟化硼乙腈络合物 溶液, BF3:17.5 - 19.0 %420-16-6
B837269三氟化硼乙腈络合物 溶液, BF3 ≥19%420-16-6
B822334三氟化硼乙酸络合物, 98%(~36% BF3 basis)373-61-5
B822335三氟化硼二丁醚, BF3:30.0 - 35.0 %593-04-4
B802398三氟化硼甲醇络合物, 55-60 wt% BF32802-68-8
B822339三氟化硼甲醇络合物 溶液, 13-15% BF3 basis2802-68-8
D822345三氟甲磺酸二丁硼 溶液, 1.0 M in methylene chloride60669-69-4
B822342三氯化硼, 1.0 M solution in p-xylene, MkSeal10294-34-5
B822343三氯化硼甲硫醚络合物, 99%5523-19-3
I822347三氯化铁 溶液, 45% FeCl3 basis in H2O7705-08-0
D822346双环己基(三氟甲烷磺酰氧基)硼烷, 97%145412-54-0
S818286四氯化锡(IV) 五水合物, 99.995% metals basis10026-06-9
A822326无水氯化铝, 99.99% trace metals basis7446-70-0

【麦克林路易斯酸产品专题页】

麦克林是脱甲基、脱烷基反应试剂及其衍生产品大规模生产商,我们针对生产和生化技术客户提供定制配方制剂

访问麦克林官网:www.macklin.cn 了解更多产品信息