

近期文献

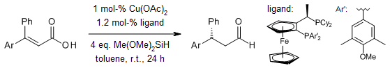
当你使用一种特殊的还原型铜作为催化剂来还原一种叫做α,β-不饱和羧酸的酸时,它可以产生大量的不同类型的饱和β-手性醛。这些醛非常特殊,因为它们具有高度的对映选择性,并且能够耐受多种官能团。这就像它们更加挑剔且功能多样。科学家还认为,在这个过程中有一个步骤涉及到一种叫做酮烯中间体的物质。
Y. Zhou, J. S. Bandar, R. Y. Liu, S. L. Buchwald, J. Am. Chem. Soc., 2018, 140, 606-609.
DOI: 10.1021/jacs.7b12260

使用还原型铜催化剂,我们可以将一种特殊的酸——α,β-不饱和羧酸还原,以获得不同种类的饱和β-手性醛。这些醛的产量相当可观,并且它们具有高对映选择性,这意味着它们非常具有特异性。此外,它们能够耐受多种官能团。科学家还指出,在这个过程中有一个步骤会形成酮烯中间体。
Y. Zhou, J. S. Bandar, R. Y. Liu, S. L. Buchwald, J. Am. Chem. Soc., 2018, 140, 606-609.
DOI: 10.1021/jacs.7b12260

使用还原型铜(CuH)催化剂,我们可以在简单的反应条件下直接从α,β-不饱和羧酸和仲胺制得β-手性酰胺。此过程可以处理β-位置上的许多不同的官能团,包括一些称为杂芳烃的特殊类型的环。之后,我们可以在同一容器中使用铱催化剂将β-手性酰胺还原为γ-手性胺。
A. Link, Y. Zhou, S. L. Buchwald, Org. Lett., 2020, 22, 5666-5670.
DOI: 10.1021/acs.orglett.0c02064

使用一种特殊的还原型铜(CuH)催化剂,我们可以直接将α,β-不饱和羧酸与芳基烯烃连接起来,生成手性α-芳基二烷基酮。该反应可以处理原料上的许多不同类型的取代基、敏感官能团,甚至包括被称为杂环的特殊环。
Y. Zhou, J. S. Bandar, S. L. Buchwald, J. Am. Chem. Soc., 2017, 139, 8126-8129.
DOI: 10.1021/jacs.7b04937

通过将丙二烯气体与廉价且环保的氢硅烷混合,我们可以在不使用大量烯丙基金属试剂的情况下进行特殊的对映选择性酮烯丙基化反应。这一过程是通过铜盐和容易获得的配体来实现的。它不需要特殊的设备或高压,并且可以处理许多不同种类的官能团。
R. Y. Liu, Y. Zhou, Y. Yang, S. L. Buchwald, J. Am. Chem. Soc., 2019, 141, 2251-2256.
DOI: 10.1021/jacs.8b13907

使用一种特殊的铜,称为(R,R)-Ph-BPE配位的铜,我们可以进行一种特殊的反应,称为酮与1,3-二烯的烯丙基化反应。这个反应需要氢硅烷,并在温和的条件下进行。它非常擅长处理不同种类的官能团。我们没有使用大量的烯丙基金属试剂,而是使用了像隐藏的烯丙基亲核试剂一样的1,3-二烯。这有助于我们制备手性高烯丙基三级醇。
B. Fu, X. Yuan, Y. Li, Y. Wang, Q. Zhang, T. Xiong, Q. Zhang, Org. Lett., 2019, 21, 3576-3580.
DOI: 10.1021/acs.orglett.9b00979

使用一种非常特殊的铜催化剂,我们可以以特殊的方式将1,3-二烯与二氧化碳结合,以形成手性全碳无环四级立体中心。这些是特殊类型的碳中心,它们连接着四个不同的基团。该反应与许多不同类型的1,3-二烯都能很好地反应,即使是那些在同一个碳原子上连接有两个不同基团的二烯,甚至是被称为1,3,5-三烯的特殊类型。它在选择正确的反应途径方面非常出色,并且能够处理许多不同类型的官能团。
X.-W. Chen, L. Zhu, Y.-Y. Gui, K. Jing, Y.-X. Jiang, Z.-Y. Bo, Y. Lan, J. Li, D.-G. Yu, J. Am. Chem. Soc., 2019, 141, 18825-18835.
DOI: 10.1021/jacs.9b09721

使用二茂锆氢化物,我们可以进行温和的反应,将仲酰胺和叔酰胺部分还原为亚胺。当我们使用仲酰胺时,我们可以以非常高的产率和良好的化学选择性获得大量不同的亚胺。如果我们有叔酰胺并加入伯胺,我们还可以在室温下进行还原性转氨反应以获得亚胺。
R. A. Kehner, G. Zhang, L. Bayeh-Romero, J. Am. Chem. Soc., 2023, 145, 4921-4927.
DOI: 10.1021/jacs.2c11786

二茂锆氢化物是一种特殊的化学物质,它有助于我们进行温和的反应,将酰胺部分还原为亚胺。我们可以使用这种方法来处理仲酰胺和叔酰胺。当我们使用仲酰胺时,我们可以以良好的产率获得大量不同的亚胺,并且能够很好地控制我们得到的亚胺种类。如果我们有叔酰胺并加入一种特殊的胺,称为伯胺,我们还可以进行一种称为还原性转氨的特殊反应来得到亚胺,而这一切都可以在室温下进行。
R. A. Kehner, G. Zhang, L. Bayeh-Romero, J. Am. Chem. Soc., 2023, 145, 4921-4927.
DOI: 10.1021/jacs.2c11786

使用还原型铜催化剂与伯酰胺进行特殊的脱水反应是一种成本效益高的制备腈的方法。该反应跳过了称为1,2-硅氧烷消除的困难步骤,并且可以在室温下进行。此外,它还可以处理许多对金属、酸或碱敏感的官能团。
R. Y. Liu, M. Bae, S. L. Buchwald, J. Am. Chem. Soc., 2018, 140, 1627-1631.
DOI: 10.1021/jacs.8b00643

我们有一个直接从简单原料制备烷基取代的手性氮杂环丙烷的方法。我们使用容易获得的烯丙基羟胺酯,并在还原型铜作为催化剂的条件下进行一种特殊的反应,称为分子内氢胺化反应。这个反应能够以良好到优异的产率提供氮杂环丙烷产物,并且能够高度控制分子的形状和排列。最终产物在一种手性类型上非常丰富。
H. Wang, J. C. Yang, S. L. Buchwald, J. Am. Chem. Soc., 2017, 139, 8428-8431.
DOI: 10.1021/jacs.7b04816

利用1,2-苯并异噁唑作为亲电伯胺的有用来源,我们可以进行一种温和且普遍的反应,称为烯烃和炔烃的氢胺化反应,其中还原型铜作为催化剂来制备伯胺。这种方法使我们能够制备各种手性α-支链伯胺和线性伯胺。
S. Guo, J. C. Yang, S. L. Buchwald, J. Am. Chem. Soc., 2018, 140, 15976-15984.
DOI: 10.1021/jacs.8b10564

使用一种特殊的镍催化剂,我们可以在易于获得的烯烃上进行一种高度选择性的反应,称为氢胺化反应,这些烯烃具有弱配位的天然酰胺或酯。无论烯烃位于分子的末端还是中间,该反应都会给我们提供β-或γ-氨基酸衍生物以及1,2-或1,3-二胺。此外,它还可以与多种胺偶联伙伴一起使用。这种温和的反应非常适合在分子合成的最后阶段向分子中添加官能团。
C. Lee, H.-J. Kang, H. Seo, S. Hong, J. Am. Chem. Soc., 2022, 144, 9091-9100.
DOI: 10.1021/jacs.2c02343

使用NiH催化剂,我们可以进行一种称为炔烃与二噁唑酮的氢酰胺化反应,从而轻松制备仲烯胺。我们可以选择产物为(E)-反马氏或马氏选择性。该反应对端炔和内炔均有效,并且可以处理多种官能团。为了使催化剂有效工作,重要的是要有水存在。
X. Lyu, J. Zhang, D. Kim, S. Seo, S. Chang, J. Am. Chem. Soc., 2021, 143, 5867-5877.
DOI: 10.1021/jacs.1c01138

使用还原型铜催化剂,我们可以在带有卤素的苯乙烯上进行一种称为分子内氢烷基化的对映选择性反应。这使我们能够制备出富含一种手性的环丁烷、环戊烷、茚烷和六元N-和O-杂环。
Y.-M. Wang, N. C. Bruno, A. L. Placeres, S. Zhu, S. L. Buchwald, J. Am. Chem. Soc., 2015, 137, 10524-10527.
DOI: 10.1021/jacs.5b07061

我们可以使用特殊催化剂在容易获得的3-吡咯啉上进行高效且选择性的反应,称为氢烷基化反应。使用钴催化剂,我们可以获得手性C2-烷基化吡咯烷。使用镍催化剂,我们可以获得C3-烷基化吡咯烷。这些方法易于使用,因为它们所需的催化剂、手性BOX配体和试剂都很容易获得。
X. Wang, J. Xue, Z.-Q. Rong, J. Am. Chem. Soc., 2023, 145, 15456-15464.
DOI: 10.1021/jacs.3c03900

利用高效的催化剂,我们可以选择性地修饰容易获得的3-吡咯啉,使用钴催化剂生成手性C2-烷基化吡咯烷,使用镍催化剂生成C3-烷基化吡咯烷。这些方法的优点在于它们所需的催化剂、手性BOX配体和试剂都很容易获得。
X. Wang, J. Xue, Z.-Q. Rong, J. Am. Chem. Soc., 2023, 145, 15456-15464.
DOI: 10.1021/jacs.3c03900

使用高效的还原型铜(CuH)催化剂,我们可以进行一种反应,将烯炔和腈结合起来,生成多取代的N-H吡咯。这些吡咯具有广泛的功能基团,并且以高产率和高选择性生成。基于铜的催化剂有助于初始的偶联步骤和随后的环化步骤。
Y. Zhou, L. Zhou, L. T. Jesikiewicz, P. Liu, S. L. Buchwald, J. Am. Chem. Soc., 2020, 142, 9908-9914.
DOI: 10.1021/jacs.0c03859
如需了解更多信息,请访问我们的网站:http://www.aladdin-e.com。