找化学品上960化工网!
《“清朗网络空间 共筑禁毒防线”全国化工行业净网倡议》
登录
注册
全球贸易
广告
化学产品
化学产品
生物产品
功能化工材料
企业名录
搜索
热搜:
Lactoyl-CoA
全氟丁基戊烷
白叶藤碱
全氟己基辛烷
新白叶藤碱
壳寡糖
特色专题-生物多肽
批量搜索
结构搜索
我要询单
Toggle navigation
所有分类
化学产品
催化及无机化学品
溶剂及有机化学品
医药生物化学品
农药化学品
天然产物及提取物
材料化学品
其他
催化剂
均相催化剂
多相催化剂
无机化合物
酸
碱
盐
氧化物
均质非金属化合物
混合金属/非金属化合物
均相金属化合物
无机盐
各种无机化合物
广告
广告
广告
广告
广告
有机溶剂
有机化合物
烃类
醛/酮类
醇/醚类
酸/酯类
胺/磺胺类
氰/腈化物
杂环类
有机卤代物
Hydrocarbons
苯环化合物
有机杂环化合物
有机氧化合物
脂质和类脂质分子
有机氮化合物
有机酸及其衍生物
生物碱及其衍生物
有机硫化合物
苯丙素类化合物和聚酮类化合物
有机金属化合物
有机卤化物
有机1,3-二极性化合物
有机聚合物
核苷、核苷酸及其类似物
乙炔
有机盐
烃类衍生物
有机磷化合物
木脂素、新木脂素及相关化合物
碳化物
阿伦斯
广告
广告
广告
广告
广告
医药原料药
标准品
对照品
其他
医药杂质/同位素
特色专题-新药研究数据库
医药中间体
医药API
医药小分子砌块
特色专题-小分子抑制剂数据库
杂环砌块
含氟砌块
小分子抑制剂
医药
疾病类
靶点类
其他
生物多肽
特色专题-生物多肽数据库
ACE抑制剂
GTP结合蛋白片段
TAT蛋白
促黑激素
淀粉及关联肽
黑色素浓集激素
抗氧化肽
内啡肽
脑啡肽
广告
广告
广告
广告
广告
农药原料药
标准品
对照品
其他
农药中间体
农药
杀虫
杀菌
抗病毒
其他
肥料
有机肥料
复合肥料
广告
广告
广告
广告
广告
植物提取物
特色专题-天然产物植提数据库
植物源
疾病类
护肤类
化合物类型
靶点类
疾病类
动物提取物
动物源
疾病类
护肤类
其他
植物原料药
天然色素
植物组织提取
动物组织提取
微生物(培养)提取
天然毒素
香料与香精
香料
香精
香料与香精中间体
广告
广告
广告
广告
广告
高分子材料
碳链高分子
杂链高聚物
元素有机高聚物
染料及颜料
染料
颜料
涂料及油漆
涂料
油漆
电子材料
纳米电子材料
生物电子材料
广告
广告
广告
广告
广告
化学试剂
有机金属试剂
衍生化试剂
化学助剂
过程助剂
功能助剂
单质
金属
非金属
广告
广告
广告
广告
广告
生物产品
抗体
细胞库/细胞培养
试剂盒
试剂
抗体
肿瘤抑制/凋亡抗体
结构蛋白抗体
类固醇受体抗体
亚细胞标记抗体
激酶和磷酸化抗体
淋巴细胞信号抗体
离子通道抗体
神经生物抗体
细胞粘附因子抗体
神经纤维丝轻链抗体
雌二醇抗原抗体
载脂蛋白C2抗体
SHISA4蛋白抗体
丝氨酸脱水酶SDS抗体
硒蛋白V抗体
广告
广告
广告
广告
广告
ATCC细胞
普通细胞
肿瘤细胞
原代细胞
端粒酶永生化细胞株
ATCC细胞
atcc细胞株
atcc细胞库
atcc细胞培养
肝窦内皮细胞
胰腺星状细胞
小胶质细胞
脑膜细胞
心肌细胞
脂肪细胞
视网膜色素上皮细胞
干细胞
神经干细胞
造血干细胞(HSC)
间质干细胞(MSC)
干细胞培养基
干细胞分化
干细胞扩增
干细胞鉴定
干细胞培养质控
干细胞/祖细胞
胚胎干细胞
小鼠脂肪干细胞
脐带间充质干细胞
干细胞无血清培养基
牛脂肪干细胞(原代细胞)
兔牙髓干细胞(原代细胞)
细胞库 / 细胞培养
细胞株
蛋白胨
细胞培养添加物
细胞培养基
培养基/琼脂混合物
细胞分散试剂
氨基酸混合物
细胞扩增
血清
Vero 细胞株
小鼠原B细胞株
急性早幼粒细胞株
小鼠脑微血管内皮细胞株
原代细胞培养
细胞培养液
广告
广告
广告
广告
广告
ELISA 试剂
人ELISA试剂盒
小鼠ELISA试剂盒
激素ELISA试剂盒
活性多肽ELISA试剂盒
细胞因子ELISA试剂盒
肿瘤标志物检测ELISA试剂盒
骨代谢ELISA试剂盒
细胞调亡ELISA试剂盒
自身免疫检测ELISA试剂盒
猪血栓调节蛋白(TM)ELISA试剂盒
小鼠单克隆抗体Ig类/亚类鉴定ELISA试剂盒
豚鼠脂联素(ADP)ELISA试剂盒
GAG ELISA试剂盒
人载脂蛋白A5(APOA5)ELISA检测试剂盒
人D-乳酸(D-LA)ELISA试剂盒
广告
广告
广告
广告
广告
生物化学
螯合剂/变性剂
抗生素/抗真菌素
药理活性化合物
荧光染料和淬灭剂
细胞生物学探针
血管生成因子
肿瘤标记物
指示剂/显色剂/染色剂
代谢物
重金属螯合剂
两性离子非变 去垢剂
白僵菌素
染料木素
固定剂
铜萃取剂
蛋白质/抗原/多肽
免疫球蛋白
植物蛋白和抗原
封闭肽
病毒蛋白和抗原
总蛋白
细胞裂解和提取物
小鼠蛋白和抗原
核蛋白
重组蛋白
癌胚抗原
梅毒抗原
多肽抗原
赖氨酸多肽
杆菌肽
胸腺肽
蛋白分析/检测
Western Blot
蛋白酶抑制剂
蛋白互作检测
蛋白结构分析
蛋白电泳试剂
蛋白ladder
蛋白凝胶染色
PAGE凝胶制备
报告基因检测
蛋白序列分析
蛋白质谱分析
蛋白浓度测定
核酸蛋白分析
蛋白电泳分析
蛋白定量检测
蛋白纯化/修饰
蛋白提取
蛋白浓缩
细胞裂解
组织提取
蛋白标记
载体蛋白结合
糖基化
融合标记移除
磁珠及相关
GST融合蛋白纯化磁珠
糖蛋白纯化
多肽修饰
peg修饰
受体活性修饰蛋白
组蛋白修饰
标准品/对照品
AAS
EP标准品
ICP
USP标准品
ASTM
生化标准品
IRMM
标准物质
对照品
呕吐毒素标准品
细菌内毒素标准品
果聚糖系列混合标准品
分析标准品
黄曲霉毒素混合对照品
防风(分析标准品)
酶
限制性内切酶
连接酶
蛋白酶
反转录酶
拓扑异构酶
糖酵解酶
酯酶
激酶
氧化酶
青霉素酰化酶
过氧化氢酶
活化酶
胰酶
外切酶
裂解酶
核酸/蛋白合成
Oligo纯化
核酸合成柱
核酸合成试剂
合成用引物
多肽合成柱
多肽合成试剂
核酸及其衍生物
核酸合成
嘧啶合成
lna锁核酸探针合成
细胞壁合成蛋白
蛋白体外合成
肌动蛋白合成
底物肽合成
神经肽合成
核酸分析
AFLP分析
SNP基因分型
线粒体DNA分型
DNA指纹试剂盒
DNA测序试剂
核酸电泳凝胶
核酸ladder
核酸染色
RNA定量
核酸片段分析
核酸定量分析
蛋白-核酸互作分析
腺苷酸分析
基因核酸序列分析
核酸扩增
核酸检测
核酸蛋白互作检测
RNA检测
胞内核酸定位
原位杂交
生物素印迹检测
核酸定量检测
其它探针标记/检测
DIG印剂检测
N/S印迹分析试剂盒
病原体核酸检测
核酸探针检测
核酸残留检测
血液核酸检测
核酸测序
荧光定量法核酸检测
核酸纯化
DNA凝胶回收纯化
DNA提取纯化
PCR产物纯化
质粒提取纯化
BAC纯化
RNA提取纯化
RNA和蛋白分离
Rnase检测/去除
病毒核酸纯化
游离核酸纯化
磁珠法核酸纯化
基因组DNA纯化
柱层析法核酸纯化
核酸纯化柱
PEG纯化
cDNA及合成纯化
cDNA成品
RNA成品
cDNA合成
cDNA纯化
RACE试剂盒
SAGE试剂盒
其它cDNA相关
SMART cDNA 合成
链特异性 cDNA 合成
cDNA 末端快速扩增
cDNA 合成酶
cDNA 合成引物
乙醇沉淀法cDNA
qPCR 检测
cDNA凝胶电泳
RNAi技术
siRNA
反义寡核苷酸
RNAi定量
miRNA抑制物
miRNA分离
siRNA酶
siRNA载体
siRNA转录
siRNA标记
RNAi通路
shRNA表达载体
piRNA测序
RNAi 疗法
miRNA制备
RNAi干扰
PCR/RT-PCR
PCR引物
PCR试剂
PCR内参
特异性PCR试剂盒
PCR克隆试剂盒
RT-PCR试剂
定量PCR试剂
PCR聚合酶
Taq DNA 聚合酶
PCR 缓冲液
实时荧光定量 PCR
巢式 PCR
反向 PCR
多重 PCR
一步法 RT-PCR
细胞生物学检测
细胞凋亡
细胞分离
细胞增殖
细胞转染
细胞分选
信号传导检测
细胞因子检测
血清/组织/血液产品
组织学/免疫组织学检测
细胞形态观察
细胞活力检测
细胞周期分析
细胞功能测定
细胞坏死
细胞迁移
药物筛选
细胞活力/增殖/毒性检测
细胞标记/跟踪
吞噬作用检测
端粒酶和TRAP检测
细胞衰老检测
抗肿瘤试剂
酶抑制剂筛选
卵母细胞筛选
受体结合检测
高通量筛选
虚拟筛选
表型筛选
靶向筛选
先导化合物优化
基因编辑筛选
动物/植物
菌种
转基因动物
小鼠
大鼠
植物免疫学
植物分子生物学
植物蛋白质组学
植物组织培养
动物模型
脊椎动物
无脊椎动物
原生动物
节肢动物
草本植物
木本植物
微生物
微生物培养
微生物研究相关试剂
大肠杆菌菌株
农杆菌
动物病毒
植物病毒
真菌
海生微生物
酵母细胞培养
原核生物
真核微生物
非细胞生物
放线菌
霉菌
噬菌体
文库及构建
cDNA文库
基因组文库
噬菌体展示文库
双杂交cDNA文库
基因组DNA扩增
RNA扩增
Lambda载体切除
肽展示系统
文库构建试剂
差减文库
CRISPR 文库
文库扩增
测序文库
单细胞文库
空间转录组文库
克隆与表达
克隆试剂盒
克隆筛选
突变
转染
转化
体外转录/翻译
感受态细胞
表达诱导
Northern Blot
目的基因获取
载体构建
TA 克隆
Gateway 克隆
原核表达
真核表达
检验试剂
食品安全检测
药品安全检测
动物安全检测
植物安全检测
抗生素检测
转基因动物安全
辐射安全检测
电气安全检测
实验室动物安全
免疫检测试剂
核酸提取试剂
酶联免疫吸附测定(ELISA)试剂
化学发光免疫分析(CLIA)试剂
胶体金检测试剂
比色法试剂
广告
广告
广告
广告
广告
耗材
常用耗材
PCR耗材
分子类
色谱相关
实验类
个人防护
吸头
滤芯吸头(灭菌)
滤芯吸头(未灭菌)
普通吸头(灭菌)
普通吸头(未灭菌)
多道移液器吸头
液体工作站吸头
连续分液吸头
加长吸头
移液吸头
普通聚丙烯(PP)吸头
低吸附吸头
宽口吸头
微量吸头
无酶吸头
质谱专用吸头
瓶
离心瓶
称量瓶
存储瓶
比重瓶
血清瓶
滴瓶
烧瓶
细胞培养瓶
培养基瓶
试剂瓶
锥形瓶
圆底烧瓶
BOD 瓶
杂交瓶
滚瓶
管
试管
冷凝管
离心管
样品储存管
冻存管
反应管
聚乙烯保存管
细胞培养管
吸管
PCR 管
磁珠法核酸提取管
流式管
固相萃取管
比色管
超滤管
微孔板
微孔板(96孔)
微孔板(384孔)
微孔板(包被)
不透明微孔板
微孔板盖
微孔板封口
标准微孔板
透明微孔板
聚丙烯微孔板
玻璃微孔板
平底微孔板
圆底微孔板
过滤微孔板
存储板
检测板
过滤
过滤膜
过滤板
纯水纯化柱
透析袋/膜
滤纸
超滤
过滤瓶
透析杯
过滤嘴
定性滤纸
聚丙烯(PP)滤膜
聚醚砜(PES)滤膜
陶瓷滤芯
针头式滤器
布氏漏斗
培养
蓝盖瓶
细胞培养皿
多孔组织培养板
组织培养池
培养瓶
细胞培养板
立体培养皿/板
12K培养瓶
聚苯乙烯培养板
微载体
低吸附板
3D 培养板
生根培养管
载玻片
运输培养箱
广告
广告
广告
广告
广告
PCR耗材
PCR管
PCR条板
PCR板
实时定量PCR毛细管
半裙边PCR板
透明PCR板
无裙边PCR板
PCR联管
PCR薄壁管
全裙边PCR板
PCR 封板膜
低吸附 PCR 耗材
热封膜
粘性膜
压盖
广告
广告
广告
广告
广告
分子生物学膜
硝酸纤维素膜
尼龙膜
PVDF 膜
胶片
印迹膜/滤纸三明治
微滤膜
核孔膜
硝酸纤维素 NC膜
核酸纯化膜
超滤膜
半干转印膜
脂质体膜
透析膜
亲和层析膜
纳米孔膜
广告
广告
广告
广告
广告
色谱柱
毛细管柱
固相萃取柱
液相色谱柱
制备/半制备柱
填充柱
手性色谱柱
保护柱
离子色谱柱
凝胶色谱柱
分配色谱柱
吸附色谱柱
尺寸排阻色谱柱
亲和色谱柱
反相色谱柱
正相色谱柱
色谱介质
离子交换色谱介
分子筛色谱介质
亲和色谱介质
疏水作用色谱介质
羟基磷灰石色谱介质
吸附色谱介质
陶瓷化氟代磷灰石介质
质活化色谱介质
手性色谱填料
无机色谱介质
复合色谱介质
凝胶渗透色谱介质
硅胶色谱介质
琼脂糖色谱介质
色谱介质
色谱配件/耗材
毛细管电泳高压电源
进样针进样器
进样阀
调节阀
色谱密封垫/圈
色谱衬管
色谱过滤配件
色谱PEEK管柱
气体净化器
柱温箱
保护柱
进样瓶
过滤器
溶剂瓶
色谱柱加热器
光谱配件/耗材
空心阴极灯
氘灯、钨灯、氙灯
光电倍增管
高压电源
ICP矩管
比色皿、样品池
雾化器
石墨管/石墨锥
光谱标准物/光谱标样
滤光片
压片模具
液体池
气体池
样品池
干燥剂
广告
广告
广告
广告
广告
仪器配套
比色皿/比色杯
电击杯
电泳设备配件
酶标板
显微镜用耗材
生物芯片专用耗材
无菌换热器
培养皿显微镜架
加样尖枪头
转子
染色缸
喷雾针
离子传输毛细管
电解池
喷嘴
常用耗材
坩埚烧
杯漏
斗量筒
广口罐
研钵和研杵
移液管
滴定管
试纸
一次性注射器
真空采血管
电泳槽
洗瓶
镊子
pH 试纸
称量纸
生物芯片
基因芯片
蛋白芯片
组织芯片
抗体芯片
固相芯片
糖肽芯片
单腔膜式芯片
双腔膜式芯片
分叉血管芯片
cDNA 芯片
表达谱芯片
测序芯片
甲基化芯片
器官芯片
肿瘤组织芯片
广告
广告
广告
广告
广告
个人防护
手套
口罩
面罩
护目镜
实验室用服
鞋帽
灭菌袋
隔离服
呼吸袋
安全帽
防护头罩
正压式呼吸器
防砸安全鞋
应急洗眼器
耐酸碱手套
广告
广告
广告
广告
广告
仪器/设备
设备
仪器
合成设备
干燥机
粉碎机
烘箱
净化设备
混合设备
反应釜
提取罐
水处理设备
浓缩设备
DNA/RNA 合成仪
多肽合成仪
无细胞蛋白质合成系统
有机合成仪
流动化学合成仪
离心设备
低温制冷
恒温保存箱
超低温冰箱
实验冷柜
液氮容器
程序降温系统
冻存系统
低温冰箱
低温恒温设备
制冰机
低温恒温反应浴
冷阱
冻干机
低温循环水浴 / 油浴
低温制冷机组
低温离心机
常用设备
清洗器
真空泵
搅拌器
蒸馏设备
均质器
纯水装置
气体发生器
红外测温仪
旋涡振荡
离心机
匀浆器
研磨仪
生物反应器
微波合成反应仪
恒温振荡器
广告
广告
广告
广告
广告
光谱
LIBS光谱仪
比色计
原子吸收光谱仪
紫外/可见光光谱仪
红外光谱仪
激光拉曼光谱仪
荧光光谱仪
火焰光度计
傅里叶变换红外光谱仪
核磁共振波谱仪
圆二色光谱仪
光声光谱仪
表面等离子体共振仪
SPR技术
NMR技术
色谱
液相色谱系统
毛细管LC系统
气相色谱系统
薄层色谱系统
凝胶色谱
超临界流体色谱
制备/半制备色谱
联用色谱系统
离子色谱系统
高效液相色谱仪
超高效液相色谱仪
凝胶渗透色谱仪
气相色谱 - 质谱联用仪
参数监控色谱仪
逆流色谱仪
质谱
等离子质谱
傅立叶离子回旋变换质谱
四极杆质谱
离子阱质谱
波谱
毛细管电泳/质谱联用系统
NMR/X射线/能谱
同位素质谱仪(Isotope-MASS)
质谱标准品
电喷雾电离质谱仪
基质辅助激光解吸电离质谱仪
飞行时间质谱仪
液相色谱 - 质谱联用仪
二次离子质谱仪
电感耦合等离子体质谱仪
移液器
单道手动移液器
单道电动移液器
多道手动移液器
多道电动移液器
正置换移液器
瓶口分液器
连续分配移液器
移液器
分液注射器
微量移液器
大容量移液器
反向移液器
重复移液器
防爆移液器
灭菌移液器
药物检测仪
硬度仪
硬度计外形测定仪
性状测定仪
澄明度检测仪
药物稳定性试验箱
热解析仪
溶出度仪
抑菌圈测量仪
筛分仪
伏安仪
离子选择性电极仪
酶联免疫吸附测定仪
化学发光免疫分析仪
生物传感器
粒度分析仪
显微镜
倒置显微镜
实体显微镜
生物显微镜
电子显微镜
解剖显微镜
体视显微镜
扫描探针显微镜
激光共聚焦显微镜
原子力显微镜
明视野显微镜
暗视野显微镜
荧光显微镜
相差显微镜
偏光显微镜
微分干涉差显微镜
环境检测
TOC测定仪
BOD测定仪
COD测定仪
溶解氧测定仪
其它水质检测仪器
CO2分析仪
甲醛检测仪
测氨仪
臭氧分析仪
大气采样器
粉尘浓度检测仪
重金属检测仪
振动检测仪
噪声频谱分析仪
辐射剂量率仪
物理特性测定
水分测定仪
卡氏/库仑水分测定仪
场流分离系统粒子形状分析仪
表面物性测试仪
物理光学仪器
燃烧测定仪
流变仪
熔点仪
热分析器
万能材料试验机
粘度计
张力仪
差示扫描量热仪
折射率仪
声速测定仪
分子生物学
生物大分子相互作用仪
电泳设备
紫外设备
普通PCR仪
定量PCR仪
转基因仪
杂交/转印仪器
杂交炉
核酸提取仪
凝胶成像系统
基因测序仪
流式细胞仪
生物芯片扫描仪
电穿孔仪
粒子轰击仪
广告
广告
广告
广告
广告
企业定制ERP
企业定制ERP
企业定制ERP
产品管理
智能进销存管理
扫码出入库
财务软件对接
供应商数据对接
试剂采购平台对接
生产项目管理
高校库存管理
广告
企业定制网站
企业定制网站
企业定制网站
商城网站建设
展示网站建设
外贸网站建设
小程序定制
库价SEO优化
广告
企业产品推广
企业产品推广
企业产品推广
产品推广
品牌推广
外贸推广
定制专题
数据分析
广告
广告
产品中心
优选厂家
化工百科
行业资讯
化工问答
科研文献
推广服务
库价ERP
专业定制网站
×
请输入正确格式的CAS号(一行一个)
960化工网
山东绿都生物科技有限公司
抗睾酮单克隆抗体
抗睾酮单克隆抗体
价 格:
询价
品 牌:
LD
产 地:
山东滨州
最新更新日期:
2022-03-25 13:25
我要询单
QQ交流
山东绿都生物科技有限公司
我要认领
公司:
山东绿都生物科技有限公司
联系人:
武经理
联系电话:
18266598399
0543-3202800
联系邮箱:
524402845@qq.com
QQ:
524402845
产品属性
英文名
Anti-Testosterone monoclonal antibody
保存条件
-20°
产品说明
抗睾酮单克隆抗体说明书
【中文名称】抗睾酮单克隆抗体
【英文名称】Anti-Testosterone monoclonal antibody
【货 号】LD-JS-1004-2
【来 源】Balb/c 小鼠
【亚 型】IgG
【物理性状】液体,避免反复冻融
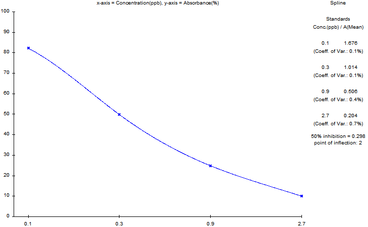
【ELISA 效价】 0.005M PBS 体系下1:400000 以上
【IC50】0.2ppb
【胶体金灵敏度】10ppb,完全消线
【蛋白浓度】6mg/ml
【缓冲液】0.01M PBS PH7.4
【储存条件】-20℃以下
【有效期】3 年,避免反复冻融
【有效期】5 年,-70℃以下保存
【相关产品】抗地塞米松单克隆抗体;抗降钙素单克隆抗体;抗皮质醇单克隆抗体;抗睾酮单克隆抗体;抗前列腺素单克隆抗体;抗促红细胞生成素单克隆抗体;抗孕酮单克隆抗体;抗黄体生成素 、催乳素单克隆抗体;抗雌酮单克隆抗体;抗雌二醇/雌三醇单克隆抗体;抗生长激素单克隆抗体;抗人绒毛膜促性腺激素单克隆抗体;抗己烯雌酚/己烷雌酚单克隆抗体;抗双酚A单克隆抗体;抗甲状腺素T4,T3单克隆抗体
相关产品
睾酮单克隆抗体
鼠抗人睾酮抗体
抗单克隆抗体
抗ab单克隆抗体
抗 MBP 单克隆抗体
抗疟疾单克隆抗体
抗 α-微管蛋白单克隆抗体 小鼠抗
抗A抗B血型定型试剂(单克隆抗体)
抗β-actin鼠单克隆抗体
小鼠抗β-actin单克隆抗体
抗人igm单克隆抗体
抗人vegf单克隆抗体
大鼠抗兔单克隆抗体
鼠抗人单克隆抗体
兔抗鼠单克隆抗体
兔抗人单克隆抗体
重组抗egfr单克隆抗体
鼠抗疟疾单克隆抗体
抗羊布鲁氏菌单克隆抗体
抗牛钙调素单克隆抗体
平台客服
平台在线客服
企业付费推广咨询
咨询电话
9145908
已复制到剪贴板
产品采购撮合咨询
咨询电话
13401937299
(微信同号)
商铺操作使用咨询
咨询电话
025-86368114
扫码联系客服