- 960化工网
- 上海联迈生物工程有限公司
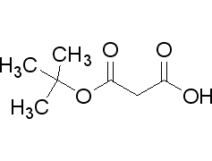
- 40052-13-9/丙二酸单叔丁酯
¥1680 - 4270
联迈生物
上海
2021-06-08 10:19
我要认领上海联迈生物工程有限公司
周经理
shlmai@163.com
产品属性
| 英文名 | mono-tert-Butyl malonate |
产品说明
40052-13-9/丙二酸单叔丁酯- 英文名:
- mono-tert-Butyl malonate
- MDL:
- MFCD00191886

- 熔点: 19-20℃
- 沸点: 90℃/2mmHg
- 外观: 透明液体
- 储存条件: 2-8℃
- 注意:部分产品我司仅能提供部分信息,我司不保证所提供信息的权威性,仅供客户参考交流研究之用。