| 保存条件 | -20℃或见包装 |
| 保质期 | 见包装 |
| 英文名 | IDT Alt-R CRISPR-Cas9 genome editing |
| 数量 | 999 |
| 供应商 | 北京泽平 |
| CAS号 | 不适用 |
| 规格 | 询价 |
核糖核蛋白复合物RNP
——CRISPR-Cas9基因编辑系统
北京泽平代理的进口IDT(Integrated DNA Technologies)Alt-R® CRISPR-Cas9基因编辑系统,提供免费序列设计工具,提供化学合成CRISPR-Cas9中crRNA(CRISPR-derived RNA)、sgRNA(small guide RNA)的定制合成服务,并生产通用型tracrRNA(trans-activating crRNA)、化脓性链球菌S. pyogene来源并由E.coli大肠杆菌表达的重组Cas9核酸酶(Cas9 nuclease,限制性内切酶,基因组DNA双链剪切)、重组Cas9切口酶(Cas9 nickase,即缺口酶,对靶链、或非靶链进行DNA单链剪切)、重组dCas9蛋白(无剪切功能,靶点占位蛋白,用于CRISPRi),用于形成核糖核蛋白复合物RNP,并提供增强RNP(ribonucleoprotein,核糖核蛋白复合体)电转染效率的电穿孔Enhancer试剂、增强HDR(Homology directed repair,同源重组修复)概率的HDR Enhancer试剂、HDR供体DNA的化学合成服务,提供从设计到多基因敲除、基因敲入、CRISPR干扰等全套试剂的基因编辑工具平台。

IDT Alt-R® CRISPR-Cas9概述
IDT的Alt-R® CRISPR-Cas9系统,分别对crRNA、tracrRNA、sgRNA序列进行优化缩短、化学修饰,对化脓性链球菌S. pyogene Cas9内切酶结构域进行突变,获得了高精确性的单链、双链剪切功能,再通过电穿孔(如Lonza Nucleofector核转染系统)转染RNP,可进行精确地基因编辑操作。
传统构建CRISPR-Cas9质粒的方法,质粒大小高达6-10kb,很难转染,而如使用原代细胞等难转染的细胞,转染效率更低。且质粒不断产生CRISPR-Cas9,使脱靶率显著增加。IDT转染RNP蛋白复合体的方法,通过优化CRISPR-Cas9组件,在提升剪切精确性的基础上,提高转染效率、减少细胞毒性、降低脱靶率,进而提高了基因编辑效率。
IDT Alt-R® CRISPR-Cas9产品
1、Alt-R® crRNA:由19-20nt特异性序列(定制)和16nt通用序列融合形成,相比野生型,序列更短,中靶率更高。经化学修饰防止被细胞核糖核酸酶降解,必须与tracrRNA一起使用以形成gRNA。
| 类型 | 产品名称 | 规格 | 包装 |
| crRNA | Alt-R® CRISPR-Cas9 crRNA | 2 nmol | 管 |
| 10 nmol | 管 | ||
| 2 nmol | 板 | ||
| 10 nmol | 板 | ||
| 50 nmol | 管 | ||
| 100 nmol | 管 |
2、Alt-R® crRNA XT:相比Alt-R® crRNA,经其他化学修饰,用于高核酸酶条件或带有Cas9 mRNA的实验,可提高编辑的稳定性。必须与tracrRNA一起使用。
| 类型 | 产品名称 | 规格 | 包装 |
| crRNA XT | Alt-R® CRISPR-Cas9 crRNA XT | 2 nmol | 管 |
| 10 nmol | 管 | ||
| 2 nmol | 板 | ||
| 10 nmol | 板 |
3、Alt-R® sgRNA:由crRNA和tracrRNA序列融合组成的单个RNA,含有19-20nt的特异性序列(定制)和80nt通用序列,经化学修饰,稳定性更高,用于高核酸酶条件或带有Cas9 mRNA的实验。相比体外转录的sgRNA,减少细胞免疫反应,更小细胞毒性。
| 类型 | 产品名称 | 规格 |
| sgRNA | Alt-R® CRISPR-Cas9 sgRNA | 2 nmol |
| 10 nmol | ||
| 50 nmol | ||
| 100 nmol | ||
| Custom Alt-R® CRISPR sgRNA | 定制 |
4、Alt-R® tracrRNA:通用67nt序列,远远短于野生型的89nt,缩短后性能提高,经化学修饰,具有核酸酶抗性。可提供荧光标记,检测转染效率。必须与crRNA一起使用以形成gRNA。
| 类型 | 产品名称 | 特点 | 规格 | 货号 |
| tracrRNA | Alt-R® CRISPR-Cas9 tracrRNA | 无标记 | 5 nmol | 1072532 |
| 20 nmol | 1072533 | |||
| 100 nmol | 1072534 | |||
| Alt-R® CRISPR-Cas9 tracrRNA, ATTO 550 | 荧光标记 | 5 nmol | 1075927 | |
| 20 nmol | 1075928 |

图.稳定表达Cas9蛋白的HEK-293细胞,转染Alt-R® crRNA(未标记):tracrRNA(标记),转染后48小时,荧光显微镜下10倍放大。
5、Alt-R® Cas9核酸酶:S. pyogene来源Cas9,大肠杆菌表达纯化,添加核定位序列(Nuclear localization sequence,NLS)和C端6-His标签。Alt-R® HiFi Cas9高保真核酸酶,经序列优化,提高中靶率,降低脱靶率。以10μg/μL的溶液提供。100μg Cas9核酸酶=610pmol。
| 类型 | 产品名称 | 规格 | 货号 |
| cas9核酸酶 | Alt-R® S.p. Cas9 Nuclease V3 | 100 µg | 1081058 |
| 500 µg | 1081059 | ||
| Alt-R® S.p. HiFi Cas9 Nuclease V3 | 100 µg | 1081060 | |
| 500 µg | 1081061 |
6、Alt-R® Cas9切口酶:S. pyogene来源Cas9,大肠杆菌表达纯化,添加核定位序列NLS和C端6-His标签。其中Alt-R® Cas9 D10A切口酶中RuvC-like内切酶结构域功能失活,对DNA靶向链进行单链切割。Alt-R® Cas9 H840A切口酶,HNH结构域失活,对非靶向链单链切割。以10μg/μL的溶液提供。100μg Cas9切口酶=610pmol。
| 类型 | 产品名称 | 规格 | 货号 |
| cas9切口酶 | Alt-R® S.p. Cas9 D10A Nickase V3 | 100 µg | 1081062 |
| 500 ug | 1081063 | ||
| Alt-R® S.p. Cas9 H840A Nickase V3 | 100 µg | 1081064 | |
| 500 ug | 1081065 |
7、Alt-R® dCas9蛋白:S. pyogene来源Cas9,大肠杆菌表达纯化,丧失内切酶功能,添加核定位序列NLS和C端6-His标签。dCas9蛋白可用于CRISPRi,进行基因下调(knockdown)等,相比RNAi,由于CRISPRi需要在转录起始位点附近才能发挥功能,其脱靶率远低于RNAi。Alt-R® dCas9蛋白,以10μg/μL的溶液提供。100μg dCas9蛋白=610pmol。
| 类型 | 产品名称 | 规格 | 货号 |
| dCas9蛋白 | Alt-R® S.p. dCas9 Protein V3 | 100 µg | 1081066 |
| 500 µg | 1081067 |
8、Alt-R® Cas9电穿孔Enhancer:是Cas9特异性的载体DNA,当使用原代细胞或难转染细胞时,可提高Lonza(原Amaxa)Nucleofector核转染系统等电穿孔设备对RNP的转染效率,进而提高基因编辑效率。
| 类型 | 产品名称 | 规格 | 货号 |
| 电穿孔Enhancer | Alt-R® Cas9 Electroporation Enhancer | 2 nmol | 1075915 |
| 10 nmol | 1075916 |
9、Alt-R® HDR Enhancer:小分子化合物,可提高同源重组修复概率。在包括贴壁、悬浮的大量细胞系中均有活性,可用于Cas9核酸酶、Cas12a(Cpf1)核酸酶。
| 类型 | 产品名称 | 规格 | 货号 |
| HDR Enhancer | Alt-R® HDR Enhancer | 100 µL | 1081072 |
| 500 µL | 1081073 |
10、Alt-R® HDR供体寡核苷酸:专门为同源重组修复基因敲入开发,具有比标准寡核苷酸更高的稳定性和更高的掺入率,可同时用于Cas9核酸酶和Cas9切口酶。
IDT Alt-R® CRISPR-Cas9实验流程
【方法一】
1、(使用IDT序列设计工具)设计Alt-R® crRNA,使其间隔区(Spacer)序列与DNA靶序列互补,提交给IDT定制合成crRNA;
2、将Alt-R® crRNA与Alt-R® tracrRNA混合,通过crRNA的重复序列区(Repeats)与tracrRNA碱基配对, 形成向导RNA(guide RNA,简称gRNA);
3、将gRNA与Alt-R® Cas9蛋白混匀,形成核糖核蛋白体(ribonucleoprotein,简称RNP);
4、将RNP通过电转染等导入细胞或细胞核;
5、通过crRNA的Spacer识别DNA靶序列,通过Cas9蛋白识别PAM序列(前间区序列邻近基序,protospacer adjacent motif,简称PAM),对DNA进行剪切;
6、对DNA断裂处进行修复
①进行非同源末端连接修复(Non-homologous end-joining,简称NHEJ),实现基因敲除(knockout);
②(使用IDT序列设计工具)设计供体DNA模板,进行同源重组修复(Homology directed repair,简称HDR),实现基因敲入(knockoin)、基因敲除、基因沉默等。



【方法二】
1、(用IDT工具)设计sgRNA,使其Spacer与DNA靶序列互补,提交给IDT定制合成sgRNA;
2、将sgRNA与Cas9蛋白混匀,形成RNP;
3、将RNP通过电转染等导入细胞或细胞核;
4、通过sgRNA的Spacer识别DNA靶序列,通过Cas9蛋白识别PAM序列,对DNA进行剪切;
5、对DNA断裂处进行修复
①进行非同源末端连接修复,实现基因敲除;
②(用IDT工具)设计供体DNA模板,进行同源重组修复,实现基因敲入、敲除、沉默等。


IDT Alt-R® crRNA序列设计示意图
Alt-R® CRISPR-Cas9优势
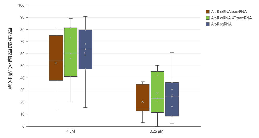
1、特别优化的crRNA/tracrRNA/sgRNA长度,提高编辑性能
以HPRT基因中的12个位点为靶点,分别使用Alt-R® crRNA:tracrRNA、Alt-R® crRNA XT:tracrRNA、Alt-R® sgRNA,与Alt-R® Cas9核酸酶组装成3种RNP,加入2μM Alt-R® Cas9电穿孔Enhancer,转染HEK-293细胞,培养48小时后,通过二代测序检测总的编辑效率,结果显示其具有很好的稳定性。
2、化学修饰RNA,增加核酸酶抗性,减少免疫应答和细胞毒性
以HPRT1的12个位点为靶点,分别用Alt-R® crRNA:tracrRNA、体外转录(IVT)RNA,转染可高效表达化脓性链球菌Cas9蛋白的HEK-293细胞,24小时后,测定常见应激反应基因IFIT1(A)和OAS2(B)的表达水平。(A)qPCR显示IVT RNA强烈诱导IFIT1,而Alt-R® RNA无影响。(B)qPCR显示IVT RNA对OAS2的诱导可测,而Alt-R® RNA处于基线。同时IFITM1、RIGI、OAS1等3个应激反应相关基因均得到相似结果,说明Alt-R® RNA不会激活细胞先天免疫反应。
3、优化的Cas9蛋白和高保真HiFi Cas9蛋白,提供更高的特异性切割
4、电穿孔Enhancer,提高转染效率,尤其是原代细胞等较难转染的细胞
用0.125μM-4μM RNP(Alt-R® crRNA:tracrRNA:Cas9复合体),通过Lonza Nucleofector 核转染K562细胞(A)、Jurkat细胞(B)、HEK-293细胞(C)时,使用电穿孔Enhancer(深蓝色)、不使用(浅蓝色)的编辑效率。
5、HDR Enhancer,提高同源重组修复效率
①提高多种细胞HDR
以人HPRT为靶点,使用Lonza Nucleofector核转染系统,将4μM RNP(由Alt-R® crRNA、Alt-R® tracrRNA、Alt-R® Cas9组装),加入4μM Alt-R® Cas9电穿孔Enhancer,以3μM IDT Ultramer寡核苷酸作为同源重组修复DNA模板,转染人多种细胞系。电转后,细胞培养在含30μM Alt-R® HDR Enhancer的培养基中(绿色),或培养在含有DMSO的培养基中作为阴性对照(棕色),HEK-293、HeLa培养48小时,Jurkat、K562培养72小时,通过限制性片段长度多态性(RFLP)、靶序列PCR进行HDR分析,显示Alt-R® HDR Enhancer可提高多种细胞类型的同源重组修复效率。
②提高多种基因HDR
以人基因组多个位点为靶点,将4μM Alt-R® Cas9 RNP,加入4μM Alt-R® Cas9电穿孔Enhancer、3μM IDT Ultramer单链DNA模板,通过电穿孔转染。电转后,细胞分别培养在含30μM Alt-R® HDR Enhancer的培养基(蓝色)、含有DMSO的培养基(绿色)、未处理的培养基(棕色),48-72小时后,通过RFLP、PCR进行HDR分析,显示Alt-R® HDR Enhancer可提高不同基因的HDR效率。
6、在线CRISPR序列设计工具,方便地设计高质量的crRNA/sgRNA/同源重组修复DNA模板/引物等
如物种的基因组富含A、T,或Alt-R® CRISPR-Cas9的位点不适合,IDT同时提供CRISPR-Cas12a系统,尽可能满足编辑需求。
Cas9和Cas12a系统区别和应用
| IDT Alt-R® CRISPR | Alt-R® CRISPR-Cas9系统 | Alt-R® CRISPR-Cas12a(Cpf1)系统 | |||||
| Alt-R® Cas9核酸酶 | Alt-R® HiFi Cas9高保真核酸酶 | Alt-R® Cas9 D10A切口酶 | Alt-R® Cas9 H840A切口酶 | Alt-R® dCas9蛋白 | Alt-R® Cas12a核酸酶 | ||
| 特点 | 通用Cas9酶,易于使用且经济实惠 | 经序列优化的Cas9酶,提高中靶率,降低脱靶率,高性价比 | 突变的Cas9酶,在RuvC-like结构域中发生突变,使其缺失在非靶向链的切割能力 | 突变的Cas9酶,在HNH结构域中发生突变,使其缺失在靶向链的切割能力 | 突变的Cas9酶,仅结合靶向DNA,缺失核酸酶切割能力 | 通用Cas12a酶,富含AT的物种,或使用CRISPR-Cas9有限制 | |
| PAM识别 | NGG | TTTV或TTTN | |||||
| DNA切割 | 双链 | 双链 | 靶向链 | 非靶向链 | \ | 双链 | |
| 末端 | 平末端 | 5’突出 | 3’突出 | \ | 5’突出 | ||
| 建议用途 | 一般基因编辑实验 | 满足大多数CRISPR基因编辑需求,兼顾效率和成本 | 适用于同时使用2种crRNA,各自识别并切割2条链中一条,通过将spacer由20nt提高到40nt,实现更高特异性 | 基因沉默,CRISPR干扰CRISPRi | 无法使用Cas9的基因编辑实验 | ||
| 规格 | 100 μg或500 μg | ||||||
| Cas9 + gRNA | crRNA | 19-20nt特异性序列(推荐使用20nt),16nt通用序列 | \ | ||||
| tracrRNA | 67nt通用序列 | \ | |||||
| Cas9 + sgRNA | sgRNA | 19-20nt特异性序列(推荐使用20nt),80nt通用序列,经过序列修饰,不会引起细胞免疫反应,不会激活无关的基因 | \ | ||||
| Cas12a + crRNA | crRNA | \ | 20-24nt特异性序列(推荐使用21nt),20nt通用序列 | ||||