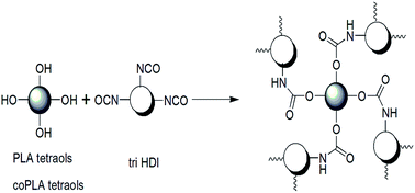
The present work reports novel bio-based, amorphous, biodegradable and biocompatible polymer networks which were synthesized from polylactide (PLA)-based tetraols and hexamethylene diisocyanate trimer. These bio-based polymer networks exhibit a glass transition temperature (Tg) in the range of 13.4–32.9 °C, which can be adjusted between room temperature and body temperature by variation of the molecular weight of macrotetrols and incorporation of caprolactone (CL) units. Tensile strength and elongation of the resulting polymer networks could be tuned in a wide range from 14 MPa to 43 MPa and 10% to 176%, respectively. A series of shape memory tests indicate that the obtained polymer networks show excellent shape memory behavior at body temperature with a shape recovery rate higher than 90%. Alamar blue assay was used to evaluate the potential biocompatibility of the synthesized polymer networks, and the results demonstrated that all the obtained networks had no cytotoxicity, making them suitable for biomedical applications.
