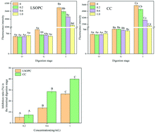
This study explored the effects of lotus seedpod oligomeric procyanidins (LSOPC) and their main monomer catechin (CC) on the formation of advanced glycation end products (AGEs) and Caco-2 cytotoxicity during gastrointestinal digestion. Studies have found that LSOPC and CC inhibited the AGEs formation effectively in simulated gastrointestinal digestion and protected Caco-2 cells from AGEs attack. The effect of CC on the inhibition of AGEs formation was significantly better than that of LSOPC. Further, they could effectively inhibit the digestive enzyme activity, reactive oxygen species, RAGE-p38MAPK-NF-κB signaling pathway, inflammatory factors (tumor necrosis factor alpha, interleukin 6), and adhesion factors (intercellular cell adhesion molecule-1, vascular cell adhesion molecule-1) to protect Caco-2 cells.
