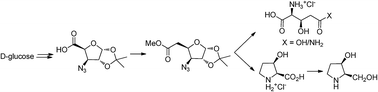
The β-hydroxy derivatives of L-glutamic acid, L-glutamine and L-proline, useful for peptide/protein studies, were synthesized starting from D-glucose. The C2 carbon in D-glucose provided the carboxylic acid functionality, while the amino and β-hydroxy groups of the amino acids were amenable from the C3 and C4 hydroxy groups of the sugar, respectively. The key intermediate with appropriate carbon framework of the target molecules was constructed by homologation of a suitable azido-D-glucofuranose derivative using the Arndt–Eistert reaction.
