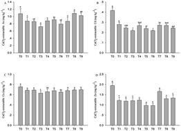
This study aims to assess the effect of green waste compost (GWC), biochar (BC) and humic acid (HA) amendments of an alkaline heavy metal-contaminated soil. In this study, amendments with GWC, GWC + BC and GWC + HA were applied to the heavy metal-contaminated soil in four application rates (0, 1, 2 and 5%), and was aimed at substantially mitigating the bioavailability of heavy metals for pakchoi cabbage from the sewage irrigation soils. The addition of different ratios of amendments can increase the pH of the soil by 0.11–0.30 units and also increase the organic matter content by 3.1–35.1%. The concentration of available arsenic (As), cadmium (Cd), zinc (Zn) and copper (Cu) in the CaCl2 extract was decreased effectively by all the amendments, except for the increase in the available concentration of As by compost–humic acid (T8) in the soil. Compared with the control, the CaCl2 extractable Cd was decreased by 33–48% after the addition of different ratios of amendments in the soil. Moreover, by increasing the content of compost and compost–biochar in combinations, easily exchangeable fractions of As, Cd, Zn and Cu were decreased, while the oxidation fraction and residual fractions were increased. When the soil amendments were applied, fresh weight of the root and shoot increased by 29–63% and 39–85%, respectively. Cd concentration in the roots and shoots of the pakchoi cabbage decreased by 21–44% and 26–53%, respectively, after adding different ratios of amendments. All the amendments were effective in reducing the Cd, Zn and Cu uptake by the roots and shoots of the pakchoi cabbage, and simultaneously reduce the absorption of As in the roots of pakchoi cabbage. As soil amendments, GWC alone or GWC + BC/GWC + HA application can significantly reduce the heavy metal levels in pakchoi cabbage while increasing the biomass production and higher application rate is more effective than the lower application rate.
