960化工网
Effects of the alkyl-chain length on the mixing state of imidazolium-based ionic liquid–methanol solutions
Takuya Shimomura,Kenta Fujii,Toshiyuki Takamuku
Physical Chemistry Chemical Physics Pub Date : 08/19/2010 00:00:00 , DOI:10.1039/C0CP00614A
Abstract

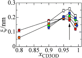
Effects of the alkyl-chain length of the imidazolium cation on the mixing state of imidazolium-based ionic liquids, 1-alkyl-3-methylimidazolium (Cnmim+, the alkyl-chain lengths n of 4, 6, 8, 10, and 12) bis(trifluoromethanesulfonyl)amide (TFSA), and methanol were investigated using small-angle neutron scattering (SANS), attenuated total reflectance infrared (ATR-IR), and NMR techniques. SANS measurements revealed that Cnmim+TFSA is heterogeneously mixed with methanol in the methanol mole fraction range of 0.8 ≤ xCD3OD ≤ 0.995. The heterogeneity of the Cnmim+TFSAmethanol solutions, except for C4mim+TFSA, is most enhanced at xCD3OD ≈ 0.97 over the entire mole fraction range. Thus, the mole fraction at the maximum heterogeneity of the solutions is independent of the alkyl-chain length. In contrast, the magnitude of the maximum heterogeneity of the solutions is larger in the order of the alkyl-chain length from n = 4 to 12. ATR-IR and NMR measurements showed that methanol molecules gradually form hydrogen bonds among them in the solutions with increasing xCH3OH. In particular, the hydrogen-bonds among methanol molecules are conspicuously evolved in the solutions above xCH3OH ≈ 0.8. The increase in the concentration of the hydrogen-bonded methanol with increasing xCH3OH does not significantly depend on the alkyl-chain length. According to these results, we concluded that the heterogeneity of Cnmim+TFSAmethanol solutions arises from polar domains composed of the imidazolium rings, TFSA, and methanol clusters and nonpolar domains formed by interaction among the alkyl chains of the imidazolium cations.

Graphical abstract: Effects of the alkyl-chain length on the mixing state of imidazolium-based ionic liquid–methanol solutions
平台客服
平台客服
平台在线客服