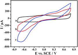
Reduced graphene oxide (RGO) was prepared via electrochemical reduction of graphene oxide (GO), and it can effectively catalyze the polymerization of 2,6-diaminopyridine. Poly(2,6-diaminopyridine) (PDAP) deposited on RGO (PDAP-RGO) has good electroactivity in a wide pH range until pH 11.0. Due to the electrocatalytic reduction of H2O2 at the PDAP-RGO, a platform for glucose sensing was constructed by immobilizing glucose oxidase (GOD) into the PDAP-RGO. The proposed glucose sensor exhibited a wide linear range from 0.05 to 6.65 mM, a low detection limit of 0.142 μM, a good reproducibility and stability. The apparent Michaelis–Menten constant of GOD was also calculated based on the relationship between steady-state current and glucose concentration.
