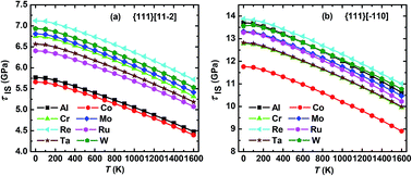
The temperature-dependent ideal shear strength (τIS) of γ′-Ni3Al and the effects of alloying (Re, Ru, Mo, Cr, Co, W, and Ta) were studied in terms of first-principles calculations within the {111} slip plane along the [11−2] and [−110] directions. Based on the predicted volume versus temperature relations, the temperature dependence of τIS was obtained using the quasistatic approach, where it was found that τIS gradually decreased with increasing temperature. For the {111}[11−2] slip systems, all of the alloying elements except for Co were found to improve the τIS of γ′-Ni3Al at the considered temperature. Among these elements, Re was the most effective element, and doping a small amount of Re (∼3 at%) was found to increase τIS by ∼23.5% at 0 K. Next, W and Mo increased the τIS by 20.2 and 18.1%, respectively. For the {111}[−110] slip systems, only Re increased the τIS of γ′-Ni3Al while the other dopants decreased the ideal shear strength of the system at 0 K. Interestingly, a high-temperature relative strengthening via W alloying was observed for the γ′-Ni3Al phase within the {111}[−110] slip system at temperatures T > 800 K. However, the sequence of the τIS of the γ′-Ni3Al phase doped with other alloying elements was not altered by increasing temperature. According to these calculations, Re and W at the Al sites can effectively improve the shear resistance of the γ′-Ni3Al phase, and especially at high temperature. Furthermore, the effect of alloying upon the shear strength is understood by the electronic structure analysis.
