960化工网
Effects of calcium ion and pH on the adsorption/regeneration process by activated carbon permeable reactive barriers
Wenpeng Li,Honghan Chen,Fei Liu,Xiulan Yin,Yuejun Zheng,Boyang Liu
RSC Advances Pub Date : 05/08/2018 00:00:00 , DOI:10.1039/C8RA01961D
Abstract

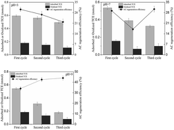
Activated carbon (AC) is widely used in groundwater remediation, more specifically, for the activated carbon permeable barriers (AC-PRBs). However, the long-term use of AC-PRBs is limited by the AC's adsorption capacity. In this work, a Fenton-combined persulfate system (Fe2+/H2O2/S2O82−) was used to treat activated carbon that was saturated with organic compounds, such as trichloroethylene (TCE), to promote the oxidation of the adsorbed contaminants and the regeneration of AC. The effect of pH and the calcium ion (Ca2+) were investigated during AC's adsorption/regeneration. The results showed that under certain reaction conditions (TCE/Fe2+/H2O2/S2O82− molar ratio of 1.00/9.00/56.63/76.25), acidic pH conditions (pH = 3) favored the adsorption/regeneration process of AC, yielding a regeneration efficiency of 26.28% on average in three regeneration cycles. The presence of Ca2+, even in relatively low concentrations, seemed to decrease HO˙ generation and AC's adsorption capacity.

Graphical abstract: Effects of calcium ion and pH on the adsorption/regeneration process by activated carbon permeable reactive barriers
平台客服
平台客服
平台在线客服